Citation: Jiahong WANG, Zekun XU, Tianjiao LU, Jinming HUANG. Performance of N, Mn doped semi-coke activated carbon catalyzed ozone oxidation for the degradation of tetracycline hydrochloride in water[J]. Chinese Journal of Inorganic Chemistry, ;2025, 41(12): 2549-2560. doi: 10.11862/CJIC.20250120 shu

Performance of N, Mn doped semi-coke activated carbon catalyzed ozone oxidation for the degradation of tetracycline hydrochloride in water

  • Corresponding author: Jiahong WANG, wangjiahong@sust.edu.cn
  • Received Date: 20 January 2025
    Revised Date: 22 October 2025

Figures(11)

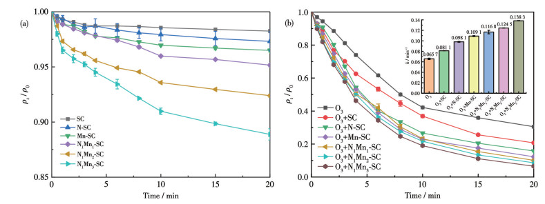
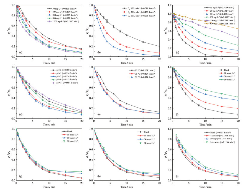
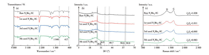
  • N and Mn modified semi-cake activated carbon (SC) catalysts (NxMny-SC, xy was the mass ratio of N and Mn) were synthesized via an impregnation method and applied in the catalytic ozonation of tetracycline hydrochloride (TC) in aqueous solution. The results demonstrated that the manganese loading amount was positively correlated with both surface Mn content and structural disorder. The catalyst N1Mn3-SC prepared with an N and Mn mass ratio of 1∶3 exhibited the optimal catalytic performance. The effects of reaction conditions on degradation efficiency were systematically investigated. Increasing catalyst dosage, ozone (O3) flow rate, and reaction temperature promoted TC degradation, whereas a high initial TC concentration inhibited the process. The influence of solution pH showed a promoting-inhibiting transition with increasing pH values, with the best performance achieved at pH 7. Under the optimal conditions (catalyst: 200 mg·L-1, TC: 30 mg·L-1, pH: 7, temperature: 25 ℃, O3 flow rate: 30 mL·min-1), N1Mn3-SC achieved 93.46% degradation rate of TC within 20 min, with a pseudo-first-order reaction rate constant of 0.138 2 min-1, significantly higher than that of pristine semi-coke (0.080 1 min-1). The presence of humic acid, HCO3-, and Cl- slightly suppressed degradation due to competitive consumption of hydroxyl radical (·OH). After five consecutive reaction cycles, the degradation efficiency remained at 84.13%, although the specific surface area decreased to 21 m2·g-1. A reduction in surface Mn, N, and oxygen-containing functional groups was observed, along with a decrease in the intensity ratio (ID/IG) of defect to graphitized Raman peaks intensity to 0.983, indicating increased structural ordering. Radical quenching experiments confirmed the involvement of ·OH, superoxide radical (·O2-), and singlet state oxygen (1O2) in the catalytic process. Intermediate analysis suggested that TC degradation primarily proceeded via dealkylation and deamidation pathways, leading to eventual mineralization into CO2 and H2O.
  • 加载中
    1. [1]

      YING M. Evaluation of water resources environment and regional agricultural economic development based on SAR imaging algorithm[J]. Mob. Inf. Syst., 2022: 9990603

    2. [2]

      FUENTES E A, ACHY J A, DA SILVA D F, GRABOSCHII A C G, BERNARDO J D O, JOAQUIM J G, FRAGA A B, ESCODRO P B. Ozone use in the treatment of subclinical mastitis in dairy cows[J]. J. Dairy Res., 2023, 90(4): 382-386  doi: 10.1017/S0022029923000808

    3. [3]

      HUANG L, ZHENG M F, YU D Q, YASEEN M, DUAN L J, JIANG W T, SHI L Y. In-situ fabrication and catalytic performance of Co-Mn@CuO core-shell nanowires on copper meshes/foams[J]. Mater. Des., 2018, 147: 182-190  doi: 10.1016/j.matdes.2018.03.046

    4. [4]

      CHENG Y Z, WANG B Y, YAN P W, SHEN J M, KANG J, ZHAO S X, ZHU X W, SHEN L L, WANG S Y, SHEN Y, CHEN Z L. In-situ formation of surface reactive oxygen species on defective sites over N-doped biochar in catalytic ozonation[J]. Chem. Eng. J., 2023, 454: 140232  doi: 10.1016/j.cej.2022.140232

    5. [5]

      CHAI C, XU L, JIN X, SHI X, WU C X, JIN P K. Characterization and mechanism of ozone degradation of ibuprofen catalyzed by nitrogen-doped biochar[J]. Environmental Science, 2022, 43(2): 896-906

    6. [6]

      EINAGA H, MAEDA N, NAGAI Y. Comparison of catalytic properties of supported metal oxides for benzene oxidation using ozone[J]. Catal. Sci. Technol., 2015, 5(6): 3147-3158  doi: 10.1039/C5CY00315F

    7. [7]

      YANG D J, MENG F B, ZHANG Z R, LIU X. Enhanced catalytic ozonation by Mn-Ce oxide-loaded Al2O3 catalyst for ciprofloxacin degradation[J]. ACS Omega, 2023, 8(24): 21823-21829  doi: 10.1021/acsomega.3c01302

    8. [8]

      GUO Z Y, ZHANG Y, WANG D. A core-shell Mn-C@Fe nanocatalyst under ozone activation for efficient organic degradation: Surface-mediated non-radical oxidation[J]. Chemosphere, 2021, 281: 119574

    9. [9]

      YAN W, ZOU H T, GONG W Q, PI D D, WANG L S, NIE F. Preparation and performance study of Mn-doped TiO2-loaded kapok-based activated carbon fibers[J]. J. Text. Inst., 2025, 116(4): 550-559  doi: 10.1080/00405000.2024.2346666

    10. [10]

      CHAO L, WANG Z X, HE J R. Photocatalytic oxidation of printing and dyeing wastewater by foam ceramics loaded with Cu and N-TiO2[J]. Catal. Lett., 2024, 154(7): 3937-3946  doi: 10.1007/s10562-024-04614-0

    11. [11]

      MIAO F M, CHENG T, WANG L X, LI K, BAO M F, MA C, NIE K G, LIU Y Z, JIAO W Z. Treatment of high-salt phenol wastewater by high-gravity technology intensified Co-Mn/γ-Al2O3 catalytic ozonation: Treatment efficiency, inhibition and catalytic mechanism[J]. Chem. Eng. Sci., 2024, 292: 120019  doi: 10.1016/j.ces.2024.120019

    12. [12]

      WANG D, HE Y N, CHEN Y, YANG F, HE Z Q, ZENG T, LU X H, WANG L Z, SONG S, MA J. Electron transfer enhancing the Mn(Ⅱ)/Mn(Ⅲ) cycle in MnO/CN towards catalytic ozonation of atrazine via a synergistic effect between MnO and CN[J]. Water Res., 2023, 230: 119574  doi: 10.1016/j.watres.2023.119574

    13. [13]

      WANG L Y, CHENG X X, WANG Z Q, MA C Y, QIN Y K. Investigation on Fe-Co binary metal oxides supported on activated semi-coke for NO reduction by CO[J]. Appl. Catal. B‒Environ., 2017, 201: 636-651  doi: 10.1016/j.apcatb.2016.08.021

    14. [14]

      ZHAO S H, XU W J, GU H M, BI X L, CHEN L H, ZHANG Y L. Density functional theory and experimental study on the chemisorption and catalytic decomposition of benzene over exposed bio-char surface: The influence of unsaturated carbon atoms and potassium[J]. Fuel, 2022, 326: 125032  doi: 10.1016/j.fuel.2022.125032

    15. [15]

      JOTHINATHAN L, CAI Q Q, ONG S L, HU J Y. Fe-Mn doped powdered activated carbon pellet as ozone catalyst for cost-effective phenolic wastewater treatment: Mechanism studies and phenol by-products elimination[J]. J. Hazard. Mater., 2022, 424: 127483  doi: 10.1016/j.jhazmat.2021.127483

    16. [16]

      BOKAREV D A, BRAGINA G O, KOLYADENKOV A R, KAZAKOV A V, STAKHEEV A Y. Tuning the performance of Mn/Beta in ozone catalytic oxidation of VOCs by variation of the Mn content and its localization in the zeolite structure[J]. Mendeleev Commun., 2024, 34(6): 837-839  doi: 10.1016/j.mencom.2024.10.022

    17. [17]

      ZHOU X Y, SHANG Y N, WEI W, LIN T, WANG J C, LAI X X, WANG J L, CHEN Y Q. Effect of a mixed precursor over monolith MnOx/La-Al2O3catalyst for toluene oxidation[J]. New J. Chem., 2020, 44(26): 10859-10869  doi: 10.1039/D0NJ01432J

    18. [18]

      LI Y H, LI H, ZHAO B G, MA Y M, LIANG P Y, SUN T J. Synthetic effect of supports in Cu-Mn-doped oxide catalysts for promoting ozone decomposition under humid environment[J]. Environ. Sci. Pollut. Res., 2023, 30(46): 102880-102893  doi: 10.1007/s11356-023-29642-y

    19. [19]

      MITROFANOVA A N, KHUDOSHIN A G, LUNIN V V. Mechanism of the catalytic ozonization of lignin in the presence of Mn(Ⅱ) ions[J]. Russ. J. Phys. Chem. A, 2013, 87(7): 1124-1128  doi: 10.1134/S0036024413070212

    20. [20]

      PEREZ-LARIOS A, HERNANDEZ-GORDILLO A, MORALES-MENDOZA G, LARTUNDO-ROJAS L, MANTILLA A, GOMEZ R. Enhancing the H2 evolution from water-methanol solution using Mn2+-Mn+3-Mn4+ redox species of Mn-doped TiO2 sol-gel photocatalysts[J]. Catal. Today, 2016, 266: 9-16  doi: 10.1016/j.cattod.2015.12.029

    21. [21]

      XIONG J, LI X B, HUANG J T, GAO X M, CHEN Z, LIU J Y, LI H, KANG B B, YAO W Q, ZHU Y F. CN/rGO@BPQDs high-low junctions with stretching spatial charge separation ability for photocatalytic degradation and H2O2 production[J]. Appl. Catal. B‒Environ., 2020, 266: 118602  doi: 10.1016/j.apcatb.2020.118602

    22. [22]

      JIANG L J, LIU Q C, RAN G J, KANG M, REN S, YANG J, LI J L. V2O5-modified Mn-Ce/AC catalyst with high SO2 tolerance for low-temperature NH3-SCR of NO[J]. Chem. Eng. J., 2019, 370: 810-821  doi: 10.1016/j.cej.2019.03.225

    23. [23]

      YANG L, YANG H, LIU Q, LIU F, CHEN N. Study on the reaction performance of Ce-and Co-modified Mn-based catalysts in C3H6-SCR[J]. J. Phys. Chem. C, 2023, 127(31): 15278-15289  doi: 10.1021/acs.jpcc.3c04279

    24. [24]

      ZIEKE U, HUTTINGER K J, HOFFMAN W P. Surface-oxidized carbon fibers: Ⅳ. Interaction with high-temperature thermoplastics[J]. Carbon, 1996, 34(8): 1015-1026  doi: 10.1016/0008-6223(96)00035-8

    25. [25]

      KAMATH P V, RAO C N R. Electron spectroscopic studies of oxygen and carbon dioxide adsorbed on metal surfaces[J]. J. Phys. Chem., 1984, 88(3): 464-469  doi: 10.1021/j150647a028

    26. [26]

      RONG L L, WU L G, ZHANG T, HU C, TANG H H, PAN H C, ZOU X M. Significant differences in the effects of nitrogen doping on pristine biochar and graphene-like biochar for the adsorption of tetracycline[J]. Molecules, 2024, 29(1): 173

    27. [27]

      QIAO H, WANG X X, LIAO P, ZHANG C, LIU C X. Enhanced sequestration of tetracycline by Mn(Ⅱ) encapsulated mesoporous silica nanoparticles: Synergistic sorption and mechanism[J]. Chemosphere, 2021, 284: 131334  doi: 10.1016/j.chemosphere.2021.131334

    28. [28]

      HE C, ZHANG Z G, WANG J B, ZHANG C H, WANG S Z, ZHANG K F, WANG L L, HAN J X, GONG C H, LI K X. Mn-Ce bicenter of a dual single-atom catalyst synergistically triggers reactive oxygen species generation for efficient ozonation of emerging contaminants[J]. ACS ES & T Eng., 2024, 4(8): 2002-2014

    29. [29]

      KIM J, KWON E E, LEE J E, JANG S H, JEON J K, SONG J, PARK Y K. Effect of zeolite acidity and structure on ozone oxidation of toluene using Ru-Mn loaded zeolites at ambient temperature[J]. J. Hazard. Mater., 2021, 403: 123934  doi: 10.1016/j.jhazmat.2020.123934

    30. [30]

      LI H, LI Y H, LIU M Y, WANG P H, ZHAO B G, SUN T J. Effect of different structure of Cu/Mn catalysts on ozone decomposition ability[J]. Res. Chem. Intermed., 2023, 49(10): 4461-4479  doi: 10.1007/s11164-023-05078-4

    31. [31]

      MYTAREVA A I, GILEV A S, MANSHKOVSKY I S, BOKAREV D A, BAEVA G N, KANAEV S A, KAZAKOV A, STAKHEEV A Y. Manganese catalysts for the ozone-assisted oxidation of volatile organic compounds: Effect of the Mn3+/Mn4+ active site ratio on catalytic properties[J]. Kinet. Catal., 2022, 63(5): 515-522  doi: 10.1134/S0023158422050081

    32. [32]

      JIANG C Y, WANG D Z, LI M, YANG L, LIU X Y, YANG G, XING B, WANG Y, ZHANG F P. High-efficiency catalytic ozonation degradation of Ni complex wastewater using Mn-N codoped active carbon catalyst[J]. Langmuir, 2025, 41(1): 292-300  doi: 10.1021/acs.langmuir.4c03502

    33. [33]

      GUO Y, LONG J F, HUANG J, YU G, WANG Y J. Can the commonly used quenching method really evaluate the role of reactive oxygen species in pollutant abatement during catalytic ozonation?[J]. Water Res., 2022, 215: 118275  doi: 10.1016/j.watres.2022.118275

  • 加载中
    1. [1]

      Ning CHENJingle CHENHongyuan ZHUHuali CHENLiguang WUTing WANG . Mechanism and performance regulation of Co/Zr-doped mesoporous TiO2 catalysts in activating sodium persulfate for tetracycline degradation. Chinese Journal of Inorganic Chemistry, 2026, 42(3): 507-518. doi: 10.11862/CJIC.20250275

    2. [2]

      Rui LIUXinjun ZHOUTao WANG . Photocatalytic degradation performance of tetracycline by MOF-74-Mn/g-C3N4 Z-type heterojunction. Chinese Journal of Inorganic Chemistry, 2025, 41(9): 1796-1804. doi: 10.11862/CJIC.20250033

    3. [3]

      Tengyue ZHANGJingjing FENGZili LIANGJia′nan DAIJing MA . Optimization of C-doped BiVO4 performance for tetracycline degradation using response surface methodology-assisted orthogonal experiments. Chinese Journal of Inorganic Chemistry, 2025, 41(12): 2561-2574. doi: 10.11862/CJIC.20250104

    4. [4]

      Jiahui YUJixian DONGYutong ZHAOFuping ZHAOBo GEXipeng PUDafeng ZHANG . The morphology control and full-spectrum photodegradation tetracycline performance of microwave-hydrothermal synthesized BiVO4:Yb3+,Er3+ photocatalyst. Journal of Fuel Chemistry and Technology, 2025, 53(3): 348-359. doi: 10.1016/S1872-5813(24)60514-1

    5. [5]

      Junjie Zhang Yue Wang Qiuhan Wu Ruquan Shen Han Liu Xinhua Duan . Preparation and Selective Separation of Lightweight Magnetic Molecularly Imprinted Polymers for Trace Tetracycline Detection in Milk. University Chemistry, 2024, 39(5): 251-257. doi: 10.3866/PKU.DXHX202311084

    6. [6]

      Fugui XIDu LIZhourui YANHui WANGJunyu XIANGZhiyun DONG . Functionalized zirconium metal-organic frameworks for the removal of tetracycline from water. Chinese Journal of Inorganic Chemistry, 2025, 41(4): 683-694. doi: 10.11862/CJIC.20240291

    7. [7]

      Ping ZHANGChenchen ZHAOXiaoyun CUIBing XIEYihan LIUHaiyu LINJiale ZHANGYu'nan CHEN . Preparation and adsorption-photocatalytic performance of ZnAl@layered double oxides. Chinese Journal of Inorganic Chemistry, 2024, 40(10): 1965-1974. doi: 10.11862/CJIC.20240014

    8. [8]

      Yaping ZHANGTongchen WUYun ZHENGBizhou LIN . Z-scheme heterojunction β-Bi2O3 pillared CoAl layered double hydroxide nanohybrid: Fabrication and photocatalytic degradation property. Chinese Journal of Inorganic Chemistry, 2025, 41(3): 531-539. doi: 10.11862/CJIC.20240256

    9. [9]

      Qiang ZHAOZhinan GUOShuying LIJunli WANGZuopeng LIZhifang JIAKewei WANGYong GUO . Cu2O/Bi2MoO6 Z-type heterojunction: Construction and photocatalytic degradation properties. Chinese Journal of Inorganic Chemistry, 2024, 40(5): 885-894. doi: 10.11862/CJIC.20230435

    10. [10]

      Ziyang LongQuanzheng LiChengliang ZhangHaifeng Shi . BiVO4/WO3-x S-scheme heterojunctions with amplified internal electric field for boosting photothermal-catalytic activity. Acta Physico-Chimica Sinica, 2025, 41(10): 100122-0. doi: 10.1016/j.actphy.2025.100122

    11. [11]

      Shiyi WANGChaolong CHENXiangjian KONGLansun ZHENGLasheng LONG . Polynuclear lanthanide compound [Ce4Ce6(μ3-O)4(μ4-O)4(acac)14(CH3O)6]·2CH3OH for the hydroboration of amides to amine. Chinese Journal of Inorganic Chemistry, 2025, 41(1): 88-96. doi: 10.11862/CJIC.20240342

    12. [12]

      Jinwang WuQijing XieChengliang ZhangHaifeng Shi . Rationally Designed ZnFe1.2Co0.8O4/BiVO4 S-Scheme Heterojunction with Spin-Polarization for the Elimination of Antibiotic. Acta Physico-Chimica Sinica, 2025, 41(5): 100050-0. doi: 10.1016/j.actphy.2025.100050

    13. [13]

      Jianjun LIMingjie RENLili ZHANGLingling ZENGHuiling WANGXiangwu MENG . UV-assisted degradation of tetracycline hydrochloride by MnFe2O4@activated carbon activated persulfate. Chinese Journal of Inorganic Chemistry, 2024, 40(10): 1869-1880. doi: 10.11862/CJIC.20240187

    14. [14]

      Shumin ZhangYaqi WangZelin WangLibo WangChangsheng AnDifa Xu . Ultrafast electron transfer at the ZIS1−x/UCN S-scheme interface enables efficient H2O2 photosynthesis coupled with tetracycline degradation. Acta Physico-Chimica Sinica, 2025, 41(11): 100136-0. doi: 10.1016/j.actphy.2025.100136

    15. [15]

      Mingjie LeiWenting HuKexin LinXiujuan SunHaoshen ZhangYe QianTongyue KangXiulin WuHailong LiaoYuan PanYuwei ZhangDiye WeiPing Gao . Accelerating the reconstruction of NiSe2 by Co/Mn/Mo doping for enhanced urea electrolysis. Acta Physico-Chimica Sinica, 2025, 41(8): 100083-0. doi: 10.1016/j.actphy.2025.100083

    16. [16]

      Huan ZHANGJijiang WANGGuang FANLong TANGErlin YUEChao BAIXiao WANGYuqi ZHANG . A highly stable cadmium(Ⅱ) metal-organic framework for detecting tetracycline and p-nitrophenol. Chinese Journal of Inorganic Chemistry, 2024, 40(3): 646-654. doi: 10.11862/CJIC.20230291

    17. [17]

      Zhinan GUOJunli WANGQiang ZHAOZhifang JIAZuopeng LIKewei WANGYong GUO . Cu2O/Bi2CrO6 Z-scheme heterojunction: Construction and photocatalytic degradation properties for tetracycline. Chinese Journal of Inorganic Chemistry, 2025, 41(4): 741-752. doi: 10.11862/CJIC.20240403

    18. [18]

      Min ZHUYuxin WANGXiao LIYaxu XUJunwen ZHUZihao WANGYu ZHUXiaochen HUANGDan XUMonsur Showkot Hossain Abul . Construction of AgVO3/ZIF-8 composites for enhanced degradation of tetracycline. Chinese Journal of Inorganic Chemistry, 2025, 41(5): 994-1006. doi: 10.11862/CJIC.20240392

    19. [19]

      Bangdi GEXiaowei SONGZhiqiang LIANG . A bifunctional three-dimensional Eu-MOF fluorescent probe for highly sensitive detection of 2, 4, 6-trinitrophenol and tetracycline. Chinese Journal of Inorganic Chemistry, 2025, 41(10): 2165-2174. doi: 10.11862/CJIC.20250190

    20. [20]

      Qi HUANGYouyi WANGZhujian MAOZhonghui YEWeihan CHENJui-yeh RAUJian HUANG . Enhanced photocatalytic tetracycline degradation via 2D CdS/Ti3AlC2 MAX heterostructure. Chinese Journal of Inorganic Chemistry, 2025, 41(11): 2385-2398. doi: 10.11862/CJIC.20250159

Metrics
  • PDF Downloads(1)
  • Abstract views(1328)
  • HTML views(134)

通讯作者: 陈斌, bchen63@163.com
  • 1. 

    沈阳化工大学材料科学与工程学院 沈阳 110142

  1. 本站搜索
  2. 百度学术搜索
  3. 万方数据库搜索
  4. CNKI搜索
Address:Zhongguancun North First Street 2,100190 Beijing, PR China Tel: +86-010-82449177-888
Powered By info@rhhz.net

/

DownLoad:  Full-Size Img  PowerPoint
Return