Citation: Chenyang WANG, Yiyan BAI, Wei ZHANG, Zhaorong LIU, Yuchun WANG. Performance of photo-assisted copper oxide catalyzed hydrolysis of ammonia borane to produce hydrogen[J]. Chinese Journal of Inorganic Chemistry, ;2026, 42(1): 97-110. doi: 10.11862/CJIC.20250116 shu

Performance of photo-assisted copper oxide catalyzed hydrolysis of ammonia borane to produce hydrogen

Figures(12)

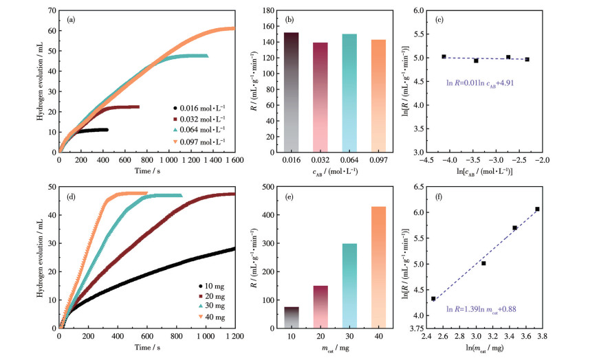
  • A series of Cu2O/CuO composite structures with adjustable valence states was successfully prepared by calcining nano-Cu2O prepared by the liquid phase reduction method. The composite conventional catalytic performances under dark conditions and photo-assisted catalytic performances for hydrogen production by hydrolysis of ammonia borane were tested, respectively. The catalysts were systematically characterized by X-ray diffraction, Fourier transform infrared spectroscopy, scanning electron microscopy, transmission electron microscopy, X-ray photoelectron spectroscopy, and a UV-visible spectrophotometer. The results show that the Cu2O/CuO composite formed a raspberry-like nano-hollow sphere, in which the CuO content increases with increasing calcination time, and the absorption and utilization of visible light were enhanced compared to single-phase Cu2O. Under visible light-assisted conditions, the rate of hydrogen production by catalytic hydrolysis of the composite structure could reach up to 150.09 mL·g-1·min-1, and the activation energy required for the reaction was only 37.1 kJ·mol-1, which was significantly better than that under dark conditions. The Cu2O/CuO catalyst underwent surface reconstruction to form Cu/Cu2O/CuO during the catalytic hydrolysis of ammonia borane. The composite structure of metal and oxide provides a more efficient active hydrogen production process under visible light, thereby enhancing the catalytic activity.
  • 加载中
    1. [1]

      REN G J, LI N, WU J, CHANG Q, XUE C R, YANG J L, HU S L. Hydrolysis of ammonia borane using a carbon dot-mediated Cu-Cu2O nanocatalyst enabled with photothermal and photocatalytic coupling[J]. ACS Appl. Nano Mater., 2024, 7(6): 6659-6668  doi: 10.1021/acsanm.4c00630

    2. [2]

      FANG M J, LIN Y C, JAN J Y, LAI T H, HSIEH P Y, KUO M Y, CHIU Y H, TSAO C W, CHEN Y A, WANG Y T, HONG Y J, WU J Y, WU Y C S, LIN Y G, CHANG T F M, CHEN C Y, SONE M, CHANG S M, CHANG C L, HSU Y J. Au@Cu2O core@shell nanocrystals as sustainable catalysts for efficient hydrogen production from ammonia borane[J]. Appl. Catal. B‒Environ., 2023, 324: 122198  doi: 10.1016/j.apcatb.2022.122198

    3. [3]

      BHASKAR M P, NAIR S, SANTHANAGOPALAN D. Cobalt-free CuO catalyst for hydrolytic dehydrogenation of sodium borohydride and ammonia borane[J]. Int. J. Hydrog. Energy, 2024, 51: 551-561  doi: 10.1016/j.ijhydene.2023.08.260

    4. [4]

      ZHOU S Q, YANG Q L, LIU Y, CHENG L R, TAYLOR ISIMJAN T, TIAN J N, YANG X L. Electronic metal-support interactions for defect-induced Ru/Co-Sm2O3 mesosphere to achieve efficient NaBH4 hydrolysis activity[J]. J. Catal., 2024, 433: 115491  doi: 10.1016/j.jcat.2024.115491

    5. [5]

      LIAO J Y, FENG Y F, ZHANG X B, HUANG L X, HUANG S Q, LIU M W, LIU Q B, LI H. CuO-Co3O4 composite nanoplatelets for hydrolyzing ammonia borane[J]. ACS Appl. Nano Mater., 2021, 4(8): 7640-7649  doi: 10.1021/acsanm.1c00713

    6. [6]

      ASIM M, ZHANG S, MARYAM B, XIAO J, SHI C, PAN L, ZOU J J. Pt loading to promote hydrogen evolution from ammonia-borane hydrolysis of Ni2P under visible light[J]. Appl. Surf. Sci., 2023, 620: 156787  doi: 10.1016/j.apsusc.2023.156787

    7. [7]

      GUO L T, CAI Y Y, GE J M, ZHANG Y N, GONG L H, LI X H, WANG K X, REN Q Z, SU J, CHEN J S. Multifunctional Au-Co@CN nanocatalyst for highly efficient hydrolysis of ammonia borane[J]. ACS Catal., 2014, 5(1): 388-392

    8. [8]

      FENG Y F, ZHANG X F, SHAO Y X, CHEN X D, WANG H Z, LI J H, WU M, DONG H F, LIU Q B, LI H. Modulating the acidic properties of mesoporous Mox-Ni0.8Cu0.2O nanowires for enhanced catalytic performance toward the methanolysis of ammonia borane for hydrogen production[J]. ACS Appl. Mater. Interfaces, 2022, 14(24): 27979-27993  doi: 10.1021/acsami.2c06234

    9. [9]

      LI X G, YAO Q L, SHI R W, HUANG M S, LU Z H. A step-growth strategy to grow vertical porous aromatic framework nanosheets on graphene oxide: Hybrid material-confined Co for ammonia borane methanolysis[J]. Carbon Energy, 2023, 5(10): e357  doi: 10.1002/cey2.357

    10. [10]

      SONG B, LI N, CHANG Q, XUE C R, YANG J L, HU S L. Water state-driven catalytic hydrolysis of ammonia borane on Cu3P-carbon dot-Cu composite[J]. ACS Appl. Mater. Interfaces, 2023, 15(18): 22123-22131  doi: 10.1021/acsami.3c01679

    11. [11]

      LIAO J Y, SHAO Y X, FENG Y F, ZHANG J, SONG C X, ZENG W, TANG J T, DONG H F, LIU Q B, LI H. Interfacial charge transfer induced dual-active-sites of heterostructured Cu0.8Ni0.2Wo4 nanoparticles in ammonia borane methanolysis for fast hydrogen production[J]. Appl. Catal. B‒Environ., 2023, 320: 121973  doi: 10.1016/j.apcatb.2022.121973

    12. [12]

      JIN Z K, WEI T, XU C, JIA H B, SONG J J, ZHU H L, DU X B W, PENG Z X, WANG G, LIU J, DING H Y, HE F, WANG M, LI R H. Synthesis of nanocrystalline cobalt boride for efficient catalytic hydrogen production via ammonia borane hydrolysis[J]. Chinese J. Inorg. Chem., 2022, 38(12): 2392-2400  doi: 10.11862/CJIC.2022.242

    13. [13]

      YAO Q L, ZHANG X L, LU Z H, XU Q. Metal-organic framework-based catalysts for hydrogen production from liquid-phase chemical hydrides[J]. Coord. Chem. Rev., 2023, 493: 215302  doi: 10.1016/j.ccr.2023.215302

    14. [14]

      FENG Y F, LI Y Z, LIAO Q Y, ZHANG W M, HUANG Z Q, CHEN X, SHAO Y X, DONG H F, LIU Q B, LI H. Modulation the electronic structure of hollow structured CuO-NiCo2O4 nanosphere for enhanced catalytic activity towards methanolysis of ammonia borane[J]. Fuel, 2023, 332: 126045  doi: 10.1016/j.fuel.2022.126045

    15. [15]

      FENG Y F, WANG H Z, CHEN X D, LV F, LI Y Z, ZHU Y M, XU C J, ZHANG X B, LIU H R, LI H. Simple synthesis of Cu2O-CoO nanoplates with enhanced catalytic activity for hydrogen production from ammonia borane hydrolysis[J]. Int. J. Hydrog. Energy, 2020, 45(35): 17164-17173  doi: 10.1016/j.ijhydene.2020.04.257

    16. [16]

      LI Y Z, LI L L, FENG Y F, WANG H Z, LIAO J Y, REN J W, ZHOU W Y, HE M Y, LI H. Rattle-structured CuO/Co3O4@C microspheres, a potent bifunctional catalyst for hydrogen production from ammonia borane hydrolysis and methanolysis[J]. Appl. Surf. Sci., 2023, 636: 157840  doi: 10.1016/j.apsusc.2023.157840

    17. [17]

      SHAO Y X, LI Y Z, LIAN X Q, CHE X T, LI Q Y, FENG Y F, WANG H Z, LIAO J Y, LIU Q B, LI H. Methanolysis of ammonia borane catalyzed by NiO-CuO heterostructured nanosheets: Cooperation of visible light and oxygen vacancy[J]. Rare Met., 2025, 44: 389-403  doi: 10.1007/s12598-024-02949-6

    18. [18]

      LIAO J Y, WU Y J, FENG Y F, HU H, ZHANG L X, QIU J C, LI J H, LIU Q B, LI H. Boosted catalytic activity toward the hydrolysis of ammonia borane by mixing Co- and Cu-based catalysts[J]. Catalysts, 2022, 12(4): 426  doi: 10.3390/catal12040426

    19. [19]

      BUTENKO V R, KOMOVA O V, SIMAGINA V I, LIPATNIKOVA I L, OZEROVA A M, DANILOVA N A, ROGOV V A, ODEGOVA G V, BULAVCHENKO O A, CHESALOV Y A, NETSKINA O V. Co and Co3O4 in the hydrolysis of boron-containing hydrides: H2O activation on the metal and oxide active centers[J]. Materials, 2024, 17(8): 1794  doi: 10.3390/ma17081794

    20. [20]

      XU B, YANG X S, CHEN C S, ZHOU L, ZHOU S B, ZHANG K M, LIU X Q, JIANG W D. Attractive tandem hydrogenation of nitroaromatics using ab as a hydrogen source over pomelo peel-templated bimetallic CuO-NiO/PP nanocomposites[J]. ACS Appl. Nano Mater., 2024, 7(13): 15557-15569  doi: 10.1021/acsanm.4c02456

    21. [21]

      ZHU Q H, DENG Z S, XIE H J, XING M Y, ZHANG J L. Investigation of concerted proton-electron donors for promoting the selective production of HCOOH in CO2 photoreduction[J]. ACS Catal., 2023, 13(5): 3254-3262  doi: 10.1021/acscatal.3c00101

    22. [22]

      GAWANDE M B, GOSWAMI A, FELPIN F X, ASEFA T, HUANG X X, SILVA R, ZOU X X, ZBORIL R, VARMA R S. Cu and Cu-based nanoparticles: Synthesis and applications in catalysis[J]. Chem. Rev., 2016, 116(6): 3722-3811  doi: 10.1021/acs.chemrev.5b00482

    23. [23]

      MA G J, TANG W X, WANG A Q, ZHANG L, GUAN J, HAN N, CHEN Y F. Heterojunctioned CuO/Cu2O catalyst for highly efficient ozone removal[J]. J. Environ. Sci., 2023, 125: 340-348  doi: 10.1016/j.jes.2022.01.032

    24. [24]

      LIU P P, DÖRFLER A, TABRIZI A A, SKOKAN L, RAWACH D, WANG P K, PENG Z Y, ZHANG J M, RUEDIGER A P, CLAVERIE J P. In operando photoswitching of Cu oxidation states in Cu-based plasmonic heterogeneous photocatalysis for efficient H2 evolution[J]. ACS Appl. Mater. Interfaces, 2023, 15(23): 27832-27844  doi: 10.1021/acsami.3c01219

    25. [25]

      YURDERI M, BULUT A, ERTAS İ E, ZAHMAKIRAN M, KAYA M. Supported copper-copper oxide nanoparticles as active, stable and low-cost catalyst in the methanolysis of ammonia-borane for chemical hydrogen storage[J]. Appl. Catal. B‒Environ., 2015, 165: 169-175  doi: 10.1016/j.apcatb.2014.10.011

    26. [26]

      THOKA S, LEE A T, HUANG M H. Scalable synthesis of size- tunable small Cu2O nanocubes and octahedra for facet-dependent optical characterization and pseudomorphic conversion to Cu nanocrystals[J]. ACS Sustainable Chem. Eng., 2019, 7(12): 10467-10476  doi: 10.1021/acssuschemeng.9b00844

    27. [27]

      DENG S, TJOA V, FAN H M, TAN H R, SAYLE D C, OLIVO M, MHAISALKAR S, WEI J, SOW C H. Reduced graphene oxide conjugated Cu2O nanowire mesocrystals for high-performance NO2 gas sensor[J]. J. Am. Chem. Soc., 2012, 134(10): 4905-4917  doi: 10.1021/ja211683m

    28. [28]

      HU J, ZOU C, SU Y J, LI M, HAN Y T, KONG E S W, YANG Z, ZHANG Y F. An ultrasensitive NO2 gas sensor based on a hierarchical Cu2O/CuO mesocrystal nanoflower[J]. J. Mater. Chem. A, 2018, 6(35): 17120-17131  doi: 10.1039/C8TA04404J

    29. [29]

      LI J W, GUO J S, ZHANG J X, SUN Z L, GAO J P. Surface etching and photodeposition nanostructures core-shell Cu2O@CuO-Ag with S-scheme heterojunction for high efficiency photocatalysis[J]. Surf. Interfaces, 2022, 34: 102308  doi: 10.1016/j.surfin.2022.102308

    30. [30]

      WANG N, TAO W, GONG X Q, ZHAO L P, WANG T S, ZHAO L J, LIU F M, LIU X M, SUN P, LU G Y. Highly sensitive and selective NO2 gas sensor fabricated from Cu2O-CuO microflowers[J]. Sens. Actuator B‒Chem., 2022, 362: 131803  doi: 10.1016/j.snb.2022.131803

    31. [31]

      ZHAO C, FU H T, HE P, BAI Y, CHEN F, SHI N, MAO L Y, YANG X H, XIONG S X, AN X Z. Room-temperature sensing performance of CuO/Cu2O nanocomposites towards n-butanol[J]. Sens. Actuator B‒Chem., 2022, 373: 132630  doi: 10.1016/j.snb.2022.132630

    32. [32]

      JIANG D H, ZHANG Y G, LI X H. Synergistic effects of CuO and Au nanodomains on Cu2O cubes for improving photocatalytic activity and stability[J]. Chin. J. Catal., 2019, 40(1): 105-113  doi: 10.1016/S1872-2067(18)63164-X

    33. [33]

      AKBAYRAK S, ÇAKMAK G, ÖZTÜRK T, ÖZKAR S. Oxide coated nickel powder as support for platinum(0) nanoparticles: Magnetically separable catalysts for hydrogen generation from the hydrolysis of ammonia borane[J]. J. Alloy. Compd., 2024, 1002: 175199

    34. [34]

      YANG Y W, LU Z H, CHEN X S. Cu-based nanocatalysts for hydrogen generation via hydrolysis and methanolysis of ammonia borane[J]. Mater. Technol., 2015, 30(sup2): A89-A93  doi: 10.1179/17535557A15Y.000000004

    35. [35]

      CHANG J P, WANG C Y, HSU Y J, WANG C Y. Cu2O/UiO-66-NH2 composite photocatalysts for efficient hydrogen production from ammonia borane hydrolysis[J]. Appl. Catal. A‒Gen., 2023, 650: 119005  doi: 10.1016/j.apcata.2022.119005

    36. [36]

      XU W J, ZHANG S L, SHEN R F, PENG Z K, LIU B Z, LI J, ZHANG Z Y, LI B J. A catalytic copper/cobalt oxide interface for efficient hydrogen generation[J]. Energy Environ. Mater., 2022, 6(2): e12279

    37. [37]

      GUAN S Y, LIU Y Y, ZHANG H H, WEI H J, LIU T, WU X L, WEN H, SHEN R F, MEHDI S, GE X H, WANG C M, LIU B Z, LIANG E J, FAN Y P, LI B J. Atomic interface-exciting catalysis on cobalt nitride-oxide for accelerating hydrogen generation[J]. Small, 2022, 18(22): 2107417  doi: 10.1002/smll.202107417

    38. [38]

      WANG C Y, REN Y Y, ZHAO J L, SUN S, DU X H, WANG M M, MA G, YU H R, LI L L, YU X F, ZHANG X H, LU Z M, YANG X J. Oxygen vacancy-attired dual-active-sites Cu/Cu0.76Co2.24O4 drives electron transfer for efficient ammonia borane dehydrogenation[J]. Appl. Catal. B‒Environ., 2022, 314: 121494  doi: 10.1016/j.apcatb.2022.121494

    39. [39]

      GUAN S Y, LIU Y Y, ZHANG H H, SHEN R F, WEN H, KANG N X, ZHOU J J, LIU B Z, FAN Y P, JIANG J C, LI B J. Recent advances and perspectives on supported catalysts for heterogeneous hydrogen production from ammonia borane[J]. Adv. Sci., 2023, 10(21): 2300726  doi: 10.1002/advs.202300726

    40. [40]

      CUI L, CAO X Y, SUN X P, YANG W R, LIU J Q. A bunch-like copper oxide nanowire array as an efficient, durable, and economical catalyst for the methanolysis of ammonia borane[J]. ChemCatChem, 2018, 10(4): 710-715  doi: 10.1002/cctc.201701317

  • 加载中
    1. [1]

      Peng YUELiyao SHIJinglei CUIHuirong ZHANGYanxia GUO . Effects of Ce and Mn promoters on the selective oxidation of ammonia over V2O5/TiO2 catalyst. Chinese Journal of Inorganic Chemistry, 2025, 41(2): 293-307. doi: 10.11862/CJIC.20240210

    2. [2]

      Wenruo NIHongpeng LIYun ZHANGYiran TIANJiehui RUIYingcheng TONGXiaolin PIZhenyan TANG . Research progress of ruthenium alloy catalysts in hydrogen evolution reaction. Chinese Journal of Inorganic Chemistry, 2026, 42(1): 23-44. doi: 10.11862/CJIC.20250188

    3. [3]

      Jiayi Yang Jianxiu Hao Huacong Zhou Quansheng Liu . “Gorgeous Transformation” of Carbon Dioxide into Cyclic Carbonates: Catalyst Types and Roles. University Chemistry, 2026, 41(2): 178-189. doi: 10.12461/PKU.DXHX202502105

    4. [4]

      Bing WEIJianfan ZHANGZhe CHEN . Research progress in fine tuning of bimetallic nanocatalysts for electrocatalytic carbon dioxide reduction. Chinese Journal of Inorganic Chemistry, 2025, 41(3): 425-439. doi: 10.11862/CJIC.20240201

    5. [5]

      Wentao XuXuyan MoYang ZhouZuxian WengKunling MoYanhua WuXinlin JiangDan LiTangqi LanHuan WenFuqin ZhengYoujun FanWei Chen . Bimetal Leaching Induced Reconstruction of Water Oxidation Electrocatalyst for Enhanced Activity and Stability. Acta Physico-Chimica Sinica, 2024, 40(8): 2308003-0. doi: 10.3866/PKU.WHXB202308003

    6. [6]

      Mei-Xia Yang Zhen-Hong He Long-Rui Wang You-Xing Yang . Route for Turning Waste CH4 and CO2 into Valuable Products: Reforming for Syngas. University Chemistry, 2026, 41(2): 197-207. doi: 10.12461/PKU.DXHX202503012

    7. [7]

      Yongwei ZHANGChuang ZHUWenbin WUYongyong MAHeng YANG . Efficient hydrogen evolution reaction activity induced by ZnSe@nitrogen doped porous carbon heterojunction. Chinese Journal of Inorganic Chemistry, 2025, 41(4): 650-660. doi: 10.11862/CJIC.20240386

    8. [8]

      Zhaoyu WenNa HanYanguang Li . Recent Progress towards the Production of H2O2 by Electrochemical Two-Electron Oxygen Reduction Reaction. Acta Physico-Chimica Sinica, 2024, 40(2): 2304001-0. doi: 10.3866/PKU.WHXB202304001

    9. [9]

      Shuting KONGFengshi ZHANGZhiyi LUYanling LIUMinglang YEZhengfang HULongsheng WANGBing HUHaiying WANG . Research advance of the preparation of tributyl citrate catalyzed by supported heteropolyacid catalysts. Chinese Journal of Inorganic Chemistry, 2026, 42(3): 441-452. doi: 10.11862/CJIC.20250303

    10. [10]

      Qingqing SHENXiangbowen DUKaicheng QIANZhikang JINZheng FANGTong WEIRenhong LI . Self-supporting Cu/α-FeOOH/foam nickel composite catalyst for efficient hydrogen production by coupling methanol oxidation and water electrolysis. Chinese Journal of Inorganic Chemistry, 2024, 40(10): 1953-1964. doi: 10.11862/CJIC.20240028

    11. [11]

      Jingkun YuXue YongAng CaoSiyu Lu . Bi-Layer Single Atom Catalysts Boosted Nitrate-to-Ammonia Electroreduction with High Activity and Selectivity. Acta Physico-Chimica Sinica, 2024, 40(6): 2307015-0. doi: 10.3866/PKU.WHXB202307015

    12. [12]

      Jiapei Zou Junyang Zhang Xuming Wu Cong Wei Simin Fang Yuxi Wang . A Comprehensive Experiment Based on Electrocatalytic Nitrate Reduction into Ammonia: Synthesis, Characterization, Performance Exploration, and Applicable Design of Copper-based Catalysts. University Chemistry, 2024, 39(6): 373-382. doi: 10.3866/PKU.DXHX202312081

    13. [13]

      Yuying JIANGJia LUOZhan GAO . Development status and prospects of solid oxide cell high entropy electrode catalysts. Chinese Journal of Inorganic Chemistry, 2025, 41(9): 1719-1730. doi: 10.11862/CJIC.20250124

    14. [14]

      Wang WangYucheng LiuShengli Chen . Use of NiFe Layered Double Hydroxide as Electrocatalyst in Oxygen Evolution Reaction: Catalytic Mechanisms, Electrode Design, and Durability. Acta Physico-Chimica Sinica, 2024, 40(2): 2303059-0. doi: 10.3866/PKU.WHXB202303059

    15. [15]

      Juan WANGZhongqiu WANGQin SHANGGuohong WANGJinmao LI . NiS and Pt as dual co-catalysts for the enhanced photocatalytic H2 production activity of BaTiO3 nanofibers. Chinese Journal of Inorganic Chemistry, 2024, 40(9): 1719-1730. doi: 10.11862/CJIC.20240102

    16. [16]

      Wenwen Ma Lian Kong Jinyang Chu Li Ma Ziqing Ma Heyu Cheng Xinyuan Li Zhan Yu Zhen Zhao . Digitalization-Driven Olefin Production: Digital Design of Catalysts for CO2-Assisted Oxidation Dehydrogenation of Ethane to Ethylene. University Chemistry, 2026, 41(1): 363-372. doi: 10.12461/PKU.DXHX202506055

    17. [17]

      Xue DongXiaofu SunShuaiqiang JiaShitao HanDawei ZhouTing YaoMin WangMinghui FangHaihong WuBuxing Han . Electrochemical CO2 Reduction to C2+ Products with Ampere-Level Current on Carbon-Modified Copper Catalysts. Acta Physico-Chimica Sinica, 2025, 41(3): 100024-0. doi: 10.3866/PKU.WHXB202404012

    18. [18]

      Jiali LeiJuan WangWenhui ZhangGuohong WangZihui LiangJinmao Li . TiO2/CdIn2S4 S-scheme heterojunction photocatalyst promotes photocatalytic hydrogen evolution coupled vanillyl alcohol oxidation. Acta Physico-Chimica Sinica, 2025, 41(12): 100174-0. doi: 10.1016/j.actphy.2025.100174

    19. [19]

      Shijie RenMingze GaoRui-Ting GaoLei Wang . Bimetallic Oxyhydroxide Cocatalyst Derived from CoFe MOF for Stable Solar Water Splitting. Acta Physico-Chimica Sinica, 2024, 40(7): 2307040-0. doi: 10.3866/PKU.WHXB202307040

    20. [20]

      Xue LiuLipeng WangLuling LiKai WangWenju LiuBiao HuDaofan CaoFenghao JiangJunguo LiKe Liu . Research on Cu-Based and Pt-Based Catalysts for Hydrogen Production through Methanol Steam Reforming. Acta Physico-Chimica Sinica, 2025, 41(5): 100049-0. doi: 10.1016/j.actphy.2025.100049

Metrics
  • PDF Downloads(7)
  • Abstract views(2167)
  • HTML views(474)

通讯作者: 陈斌, bchen63@163.com
  • 1. 

    沈阳化工大学材料科学与工程学院 沈阳 110142

  1. 本站搜索
  2. 百度学术搜索
  3. 万方数据库搜索
  4. CNKI搜索
Address:Zhongguancun North First Street 2,100190 Beijing, PR China Tel: +86-010-82449177-888
Powered By info@rhhz.net

/

DownLoad:  Full-Size Img  PowerPoint
Return