Citation: Huiying LIN, Xiang ZHAO, Banghao WEI, Bufeng WANG, Zhiyong LU, Junfeng BAI. Perfluroalkane functionalization on MOF-808 for acetylene purification[J]. Chinese Journal of Inorganic Chemistry, ;2025, 41(10): 2103-2114. doi: 10.11862/CJIC.20250110 shu

Perfluroalkane functionalization on MOF-808 for acetylene purification

Figures(8)

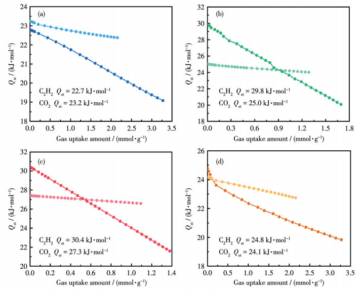
  • Perfluoroalkyl acids of different chain lengths, including trifluoroacetic acid, heptafluorobutyric acid, and nonafluoropentanoic acid, were used as second ligands to replace the formic acid on the Zr6 clusters in MOF-808. This led to the formation of a series of MOF-808-R materials (R=F3, F7, F9, corresponding to trifluoroacetic acid, heptafluorobutyric acid, and nonafluoropentanoic acid) with multiple ligands, and we investigated the impact of the second ligand modification on pore size and pore environment. The loading amount of the second ligand was determined using NMR and other methods. We conducted adsorption tests for acetylene and carbon dioxide at different temperatures on both MOF-808 and MOF-808-R to explore the effects of the ligand diversification on acetylene separation performance. It was found that MOF-808-F7 exhibited the best performance in acetylene-carbon dioxide separation.
  • 加载中
    1. [1]

      MOREAU F, SILVA I D, AL SMAIL N H, EASUN T L, SAVAGE M, GODFREY H G W, PARKER S F, MANUEL P, YANG S, SCHRÖDER M. Unravelling exceptional acetylene and carbon dioxide adsorption within a tetra-amide functionalized metal-organic framework[J]. Nat. Commun., 2017, 8(1): 14085  doi: 10.1038/ncomms14085

    2. [2]

      JIE C K, MADDEN D G, SOUMYA M, TONY P, FORREST K A, AMRIT K, BRIAN S, JIE K, YU Z Q, ZAWOROTKO M J. Synergistic sorbent separation for one-step ethylene purification from a four-component mixture[J]. Science, 2019, 366(6462): 241-246  doi: 10.1126/science.aax8666

    3. [3]

      CHEN T W, ZHANG Q, WANG J F, WANG T. Simulation of industrial-scale gas quenching process for partial oxidation of nature gas to acetylene[J]. Chem. Eng. J., 2017, 329: 238-249  doi: 10.1016/j.cej.2017.04.016

    4. [4]

      AMGHIZAR I, VANDEWALLE L A, VAN GEEM K M, MARIN G B. New trends in olefin production[J]. Engineering, 2017, 3(2): 171-178  doi: 10.1016/J.ENG.2017.02.006

    5. [5]

      CAI L Z, YU X Y, WANG M S, YUAN D Q, CHEN W F, WU M Y, GUO G C. In situ stimulus response study on the acetylene/ethylene purification process in MOFs[J]. Angew. Chem.-Int. Edit., 2024, 64(5): e202417072

    6. [6]

      QAZVINI O T, BABARAO R, TELFER S G. Multipurpose metal-organic framework for the adsorption of acetylene: Ethylene purification and carbon dioxide removal[J]. Chem. Mater., 2019, 31(13): 4919-4926  doi: 10.1021/acs.chemmater.9b01691

    7. [7]

      YANG J C, TONG M M, HAN G P, CHANG M, YAN T A, YING Y P, YANG Q Y, LIU D H. Solubility-boosted molecular sieving-based separation for purification of acetylene in core-shell IL@MOF composites[J]. Adv. Funct. Mater., 2023, 33(15): 2213743  doi: 10.1002/adfm.202213743

    8. [8]

      WANG J W, MU X B, FAN S C, XIAO Y, FAN G J, PAN D C, YUAN W, ZHAI Q G. Maximizing electrostatic interaction in ultramicroporous metal-organic frameworks for the one-step purification of acetylene from ternary mixture[J]. Inorg. Chem., 2024, 63(7): 3436-3443  doi: 10.1021/acs.inorgchem.3c04156

    9. [9]

      YAGHI O M, O′KEEFFE M, OCKWIG N W, CHAE H K, EDDAOUDI M, KIM J. Reticular synthesis and the design of new materials[J]. Nature, 2003, 423(6941): 705-714  doi: 10.1038/nature01650

    10. [10]

      LI H P, WANG J W, DOU Z D, WU L Z, WANG Y, LIANG Y C, ZHAI Q G. Flexible-rigid aluminum-organic frameworks with ultra-fine pore-environment regulation for benchmark acetylene storage and purification[J]. Chem. Eng. J., 2024, 492: 152125  doi: 10.1016/j.cej.2024.152125

    11. [11]

      LI L B, LIN R B, KRISHNA R, LI H, XIANG S C, WU H, LI J P, ZHOU W, CHEN B L. Ethane/ethylene separation in a metal-organic framework with iron-peroxo sites[J]. Science, 2018, 362(6413): 443-446  doi: 10.1126/science.aat0586

    12. [12]

      HU T L, WANG H L, LI B, KRISHNA R, WU H, ZHOU W, ZHAO Y F, HAN Y, WANG X, ZHU W D, YAO Z Z, XIANG S C, CHEN B L. Microporous metal-organic framework with dual functionalities for highly efficient removal of acetylene from ethylene/acetylene mixtures[J]. Nat. Commun., 2015, 6(1): 7328  doi: 10.1038/ncomms8328

    13. [13]

      SHEN J, HE X, KE T, KRISHNA R, VAN BATEN J M, CHEN R, BAO Z B, XING H B, DINCǍ M, ZHANG Z G, YANG Q W, REN Q L. Simultaneous interlayer and intralayer space control in two-dimensional metal-organic frameworks for acetylene/ethylene separation[J]. Nat. Commun., 2020, 11(1): 6259  doi: 10.1038/s41467-020-20101-7

    14. [14]

      LU Z Y, DUAN J X, TAN H, DU L T, ZHAO X, WANG R, KATO S, YANG S L, HUPP J T. Isomer of NU-1000 with a blocking c-pore exhibits high water-vapor uptake capacity and greatly enhanced cycle stability[J]. J. Am. Chem. Soc., 2023, 145(7): 4150-4157  doi: 10.1021/jacs.2c12362

    15. [15]

      SHI L, YANG Z N, SHA F R, CHEN Z J. Design, synthesis and applications of functional zirconium-based metal-organic frameworks[J]. Sci. China Chem., 2023, 66(12): 3383-3397  doi: 10.1007/s11426-023-1809-8

    16. [16]

      TADDEI M. When defects turn into virtues: The curious case of zirconium-based metal-organic frameworks[J]. Coord. Chem. Rev., 2017, 343(15): 1-24

    17. [17]

      LIU X Y, KIRLIKOVALI K O, CHEN Z J, MA K K, IDREES K B, CAO R, ZHANG X, ISLAMOGLU T, LIU Y L, FARHA O K. Small molecules, big effects: Tuning adsorption and catalytic properties of metal-organic frameworks[J]. Chem. Mater., 2021, 33(4): 1444-1454  doi: 10.1021/acs.chemmater.0c04675

    18. [18]

      BELMABKHOUT Y, ZHANG Z Q, ADIL K, BHATT P M, CADIAU A, SOLOVYEVA V, XING H B, EDDAOUDI M. Hydrocarbon recovery using ultra-microporous fluorinated MOF platform with and without uncoordinated metal sites: I- structure properties relationships for C2H2/C2H4 and CO2/C2H2 separation[J]. Chem. Eng. J., 2019, 359: 32-36  doi: 10.1016/j.cej.2018.11.113

    19. [19]

      LI H Y, XUE Z Z, HAN S D, WANG G M, HE T. A microporous fluorinated MOF for efficient separation of C2H2 from C2H2/CO2 and C2H2/C2H4 mixtures[J]. Sep. Purif. Technol., 2025, 357: 130094  doi: 10.1016/j.seppur.2024.130094

    20. [20]

      YANG S Q, KRISHNA R, CHEN H W, LI L B, ZHOU L, AN Y F, ZHANG F Y, ZHANG Q, ZHANG Y H, LI W, HU T L, BU X H. Immobilization of the polar group into an ultramicroporous metal-organic framework enabling benchmark inverse selective CO2/C2H2 separation with record C2H2 production[J]. J. Am. Chem. Soc., 2023, 145(25): 13901-13911  doi: 10.1021/jacs.3c03265

    21. [21]

      MOROI Y, YANO H, SHIBATA O, YONEMITSU T. Determination of acidity constants of perfluoroalkanoic acids[J]. Bull. Chem. Soc. Jpn., 2002, 74(4): 667-672

    22. [22]

      LU Z Y, DUAN J X, DU L T, LIU Q, SCHWEITZER N M, HUPP J T. Incorporation of free halide ions stabilizes metal-organic frameworks (MOFs) against pore collapse and renders large-pore Zr-MOFs functional for water harvesting[J]. J. Mater. Chem. A, 2022, 10(12): 6442-6447  doi: 10.1039/D1TA10217F

    23. [23]

      LY H G T, FU G, KONDINSKI A, BUEKEN B, DE VOS D, PARAC-VOGT T N. Superactivity of MOF-808 toward peptide bond hydrolysis[J]. J. Am. Chem. Soc., 2018, 140(20): 6325-6335  doi: 10.1021/jacs.8b01902

    24. [24]

      HU Z G, KUNDU T, WANG Y X, SUN Y, ZENG K Y, ZHAO D. Modulated hydrothermal synthesis of highly stable MOF-808(Hf) for methane storage[J]. ACS Sustain. Chem. Eng., 2020, 8(46): 17042-17053  doi: 10.1021/acssuschemeng.0c04486

    25. [25]

      SHARMA A, LIM J, JEONG S, WON S, SEONG J, LEE S, KIM Y S, BAEK S B, LAH M S. Superprotonic conductivity of MOF-808 achieved by controlling the binding mode of grafted sulfamate[J]. Angew. Chem.-Int. Edit., 2021, 60(26): 14334-14338  doi: 10.1002/anie.202103191

    26. [26]

      LU Z Y, LIU J, ZHANG X, LIAO Y J, WANG R, ZHANG K, LYU J F, FARHA O K, HUPP J T. Node-accessible zirconium MOFs[J]. J. Am. Chem. Soc., 2020, 142(50): 21110-21121  doi: 10.1021/jacs.0c09782

    27. [27]

      ZHAO Z W, LEI R C, ZHANG Y Z, CAI T T, HAN B. Defect controlled MOF-808 for seawater uranium capture with high capacity and selectivity[J]. J. Mol. Liq., 2022, 367: 120514  doi: 10.1016/j.molliq.2022.120514

    28. [28]

      SNYDER B E R, TURKIEWICZ A B, FURUKAWA H, PALEY M V, VELASQUEZ E O, DODS M N, LONG J R. A ligand insertion mechanism for cooperative NH3 capture in metal-organic frameworks[J]. Nature, 2023, 613(7943): 287-291  doi: 10.1038/s41586-022-05409-2

    29. [29]

      CUI X L, CHEN K J, XING H B, YANG Q W, KRISHNA R, BAO Z B, WU H, ZHOU W, DONG X L, HAN Y, LI B, REN Q L, ZAWOROTKO M J, CHEN B L. Pore chemistry and size control in hybrid porous materials for acetylene capture from ethylene[J]. Science, 2016, 353(6295): 141-144  doi: 10.1126/science.aaf2458

    30. [30]

      ZHANG X, LIN R B, WU H, HUANG Y H, YE Y X, DUAN J G, ZHOU W, LI J R, CHEN B L. Maximizing acetylene packing density for highly efficient C2H2/CO2 separation through immobilization of amine sites within a prototype MOF[J]. Chem. Eng. J., 2022, 431(2): 134184

    31. [31]

      KITAGAWA S, MATSUDA R. Chemistry of coordination space of porous coordination polymers[J]. Coord. Chem. Rev., 2007, 251(21/22/23/24): 2490-2509

    32. [32]

      KAN L, LI G H, LIU Y L. Highly selective separation of C3H8 and C2H2 from CH4 within two water-stable Zn5 cluster-based metal-organic frameworks[J]. ACS Appl. Mater. Interfaces, 2020, 12(16): 18642-18649  doi: 10.1021/acsami.0c04538

    33. [33]

      LIU X F, XU C Y, YANG X H, HE Y B, GUO Z Y, YAN D. An amine functionalized carbazolic porous organic framework for selective adsorption of CO2 and C2H2 over CH4[J]. Microporous Mesoporous Mat., 2019, 275: 95-101  doi: 10.1016/j.micromeso.2018.08.015

    34. [34]

      ZHANG Y, DENG X Y, LI X R, LIU X, ZHANG P X, CHEN L H, YAN Z H, WANG J, DENG S G. A stable metal-organic framework with oxygen site for efficiently trapping acetylene from acetylene-containing mixtures[J]. Sep. Purif. Technol., 2023, 316: 123751  doi: 10.1016/j.seppur.2023.123751

    35. [35]

      XIA Y P, WANG C X, YU M H, BU X H. A unique 3D microporous MOF constructed by cross-linking 1D coordination polymer chains for effectively selective separation of CO2/CH4 and C2H2/CH4[J]. Chin. Chem. Lett., 2021, 32(3): 1153-1156  doi: 10.1016/j.cclet.2020.09.014

    36. [36]

      CHEN K J, SCOTT H S, MADDEN D G, PHAM T, KUMAR A, BAJPAI A, LUSI M, FORREST K A, SPACE B, PERRY J J. Benchmark C2H2/CO2 and CO2/C2H2 separation by two closely related hybrid ultramicroporous materials[J]. Chem, 2016, 1(5): 753-765  doi: 10.1016/j.chempr.2016.10.009

    37. [37]

      ZHENG Y L, YONG J Y, ZHU Z W, CHEN J Z, SONG Z Y, GAO J K. Spin crossover in metal-organic framework for improved separation of C2H2/CH4 at room temperature[J]. J. Solid State Chem., 2021, 304: 122554  doi: 10.1016/j.jssc.2021.122554

    38. [38]

      DUAN X, ZHANG Q, CAI J F, YANG Y, CUI Y J, HE Y B, WU C D, KRISHNA R, CHEN B L, QIAN G D. A new metal-organic framework with potential for adsorptive separation of methane from carbon dioxide, acetylene, ethylene, and ethane established by simulated breakthrough experiments[J]. J. Mater. Chem. A, 2014, 2(8): 2628-2633  doi: 10.1039/c3ta14454b

    39. [39]

      XIE Y, SHI Y S, CEDEÑO MORALES E M, EL KARCH A, WANG B, ARMAN H, TAN K, CHEN B L. Optimal binding affinity for sieving separation of propylene from propane in an oxyfluoride anion-based metal-organic framework[J]. J. Am. Chem. Soc., 2023, 145(4): 2386-2394  doi: 10.1021/jacs.2c11365

  • 加载中
    1. [1]

      Muzi LiXin ZhangXiang-Jing KongQiancheng ChenXuefeng BaiTao HeJian-Rong Li . Ion exchange for enhancing MOF adsorbents performance in humid C2H2/CO2 separation. Chinese Chemical Letters, 2026, 37(3): 110709-. doi: 10.1016/j.cclet.2024.110709

    2. [2]

      Fahui XiangLu LiZhen YuanWuji WeiXiaoqing ZhengShimin ChenYisi YangLiangji ChenZizhu YaoJianwei FuZhangjing ZhangShengchang Xiang . Enhanced C2H2/CO2 separation in tetranuclear Cu(Ⅱ) cluster-based metal-organic frameworks by adjusting divider length of pore space partition. Chinese Chemical Letters, 2025, 36(3): 109672-. doi: 10.1016/j.cclet.2024.109672

    3. [3]

      Jianjun Fang Kunchen Xie Yongli Song Kangyi Zhang Fei Xu Xiaoze Shi Ming Ren Minzhi Zhan Hai Lin Luyi Yang Shunning Li Feng Pan . Break the capacity limit of Li4Ti5O12 anodes through oxygen vacancy engineering. Chinese Journal of Structural Chemistry, 2025, 44(2): 100504-100504. doi: 10.1016/j.cjsc.2024.100504

    4. [4]

      Huirong Chen Yingzhi He Yan Han Jianbo Hu Jiantang Li Yunjia Jiang Basem Keshta Lingyao Wang Yuanbin Zhang . A new SIFSIX anion pillared cage MOF with crs topological structure for efficient C2H2/CO2 separation. Chinese Journal of Structural Chemistry, 2025, 44(2): 100508-100508. doi: 10.1016/j.cjsc.2024.100508

    5. [5]

      Yongheng Ren Yang Chen Hongwei Chen Lu Zhang Jiangfeng Yang Qi Shi Lin-Bing Sun Jinping Li Libo Li . Electrostatically driven kinetic Inverse CO2/C2H2 separation in LTA-type zeolites. Chinese Journal of Structural Chemistry, 2024, 43(10): 100394-100394. doi: 10.1016/j.cjsc.2024.100394

    6. [6]

      Ziliang KANGJiamin ZHANGHong ANXiaohua LIUYang CHENJinping LILibo LI . Preparation and water adsorption properties of CaCl2@MOF-808 in-situ composite moulded particles. Chinese Journal of Inorganic Chemistry, 2024, 40(11): 2133-2140. doi: 10.11862/CJIC.20240282

    7. [7]

      Min ZhangWeimin WangJun LiXun ZhuQian Fu . Efficient large-current conversion of CO2 to C2H5OH via a *CO-*OCH2 coupling pathway on alkanethiol-modified Cu2O array electrode. Chinese Chemical Letters, 2026, 37(1): 111926-. doi: 10.1016/j.cclet.2025.111926

    8. [8]

      Yangyang SunTianyu HuangHouqiang JiTian TianXingwang ZhuWenlin XuHuan Pang . Efficient charge separation by Ti3C2 MXene modified nano MIL-125(Ti) Schottky photocatalysts for N2 reduction and tetracycline hydrochloride removal. Chinese Chemical Letters, 2026, 37(3): 111391-. doi: 10.1016/j.cclet.2025.111391

    9. [9]

      Xiang-Da ZhangJian-Mei HuangXiaorong ZhuChang LiuYue YinJia-Yi HuangYafei LiZhi-Yuan Gu . Auto-tandem CO2 reduction by reconstructed Cu imidazole framework isomers: Unveiling pristine MOF-mediated CO2 activation. Chinese Chemical Letters, 2025, 36(5): 109937-. doi: 10.1016/j.cclet.2024.109937

    10. [10]

      Hai-Bo Huang Fang-Long Sun Ze Luo Meng-Yu Sun Ben-Hao Liu Xu-Sheng Wang Hua Tang . MOF@MOF hierarchical heterotructures for enhanced photocatalytic H2O2 production and furfuryl alcohol oxidation. Chinese Journal of Structural Chemistry, 2025, 44(11): 100717-100717. doi: 10.1016/j.cjsc.2025.100717

    11. [11]

      Fangfang WANGJiaqi CHENWeiyin SUN . CuBi@Cu-MOF composite catalysts for electrocatalytic CO2 reduction to HCOOH. Chinese Journal of Inorganic Chemistry, 2025, 41(1): 97-104. doi: 10.11862/CJIC.20240350

    12. [12]

      Xiu-Mei XieHongyang ZhangShao-Xuan GongHong-Xia SunYu-Ting LiuXue-Ling ChenShuming ChenTian-Yu GaoWai-Yeung WongZhen ZhangDa-Gang Yu . Carbonylation of C(sp3)–H bonds with CO2: Facile synthesis of 2,4-quinolinediones and related luminescent materials. Chinese Chemical Letters, 2026, 37(3): 112003-. doi: 10.1016/j.cclet.2025.112003

    13. [13]

      Desheng Li Qin Li Peng Xu Xingyu Guo Heng Wu Rui Liu Fei Tan . MOF derived Co–Mo2C heterojunctions with interfacial electronic modulation for oxygen reduction reaction and zinc-air batteries. Chinese Journal of Structural Chemistry, 2026, 45(2): 100796-100796. doi: 10.1016/j.cjsc.2025.100796

    14. [14]

      Lihui OuZhancheng LiuDai-Huo LiuZhi Zhang . Cl-adsorbed Cu(111)/H2O interface selectively realizes electrochemical CO2 reduction towards C2H4 product: Mechanistic understanding. Chinese Chemical Letters, 2026, 37(2): 111920-. doi: 10.1016/j.cclet.2025.111920

    15. [15]

      Yang Yang Yan-Xin Chen Ao-Sheng She Hao-Yan Shi Wen Chen Wei Wang Hai-Long Wang Ke-Xian Li Yi-Hu Pu Wei-Hua Yang Xiu-Mei Lin Can-Zhong Lu . Nickel phosphide modified TiO2 nanotube arrays for efficient PEC water splitting H2 generation. Chinese Journal of Structural Chemistry, 2025, 44(7): 100623-100623. doi: 10.1016/j.cjsc.2025.100623

    16. [16]

      Xia JiangYan-Xin ChenRui ChenHao-Yan ShiKe-Xian LiWen-Ya ZhongJian-Feng LiCan-Zhong Lu . Thermo-photocatalytic CO2 conversion with H2O to C2 products in a continuous process by ZIF-67/biochar composites. Chinese Chemical Letters, 2026, 37(4): 111781-. doi: 10.1016/j.cclet.2025.111781

    17. [17]

      Yinglian LIChengcheng ZHANGXinyu ZHANGXinyi WANG . Spin crossover in [Co(pytpy)2]2+ complexes modified by organosulfonate anions. Chinese Journal of Inorganic Chemistry, 2024, 40(6): 1162-1172. doi: 10.11862/CJIC.20240087

    18. [18]

      Huarui Han Yangrui Xu Yu Cheng Liguang Tang Jie Jin Xinlin Liu Changchang Ma Ziyang Lu . Frustrated Lewis pairs in CO2 photoreduction: A review on synergistic activation and charge separation. Chinese Journal of Structural Chemistry, 2025, 44(10): 100728-100728. doi: 10.1016/j.cjsc.2025.100728

    19. [19]

      Yajun Gao Xinyu Yang Jian Su Zhizhong Li . A stable scandium(III) metal-organic framework with introduced nitrate ions for enhancing C2H6/C2H4 selectivity in the separation of MTO products. Chinese Journal of Structural Chemistry, 2025, 44(6): 100576-100576. doi: 10.1016/j.cjsc.2025.100576

    20. [20]

      Shuqi YuYu YangKeisuke KurodaJian PuRui GuoLi-An Hou . Selective removal of Cr(Ⅵ) using polyvinylpyrrolidone and polyacrylamide co-modified MoS2 composites by adsorption combined with reduction. Chinese Chemical Letters, 2024, 35(6): 109130-. doi: 10.1016/j.cclet.2023.109130

Metrics
  • PDF Downloads(7)
  • Abstract views(1221)
  • HTML views(150)

通讯作者: 陈斌, bchen63@163.com
  • 1. 

    沈阳化工大学材料科学与工程学院 沈阳 110142

  1. 本站搜索
  2. 百度学术搜索
  3. 万方数据库搜索
  4. CNKI搜索
Address:Zhongguancun North First Street 2,100190 Beijing, PR China Tel: +86-010-82449177-888
Powered By info@rhhz.net

/

DownLoad:  Full-Size Img  PowerPoint
Return