Citation: Zhi FANG, Liang SUN, Mingze ZHENG, Wenhao SHENG, Hongliang HUANG, Chongli ZHONG. An aluminum-based metal-organic framework with slit pores for the efficient separation and recovery of electronic specialty gas C3F8[J]. Chinese Journal of Inorganic Chemistry, ;2025, 41(10): 2054-2062. doi: 10.11862/CJIC.20250096 shu

An aluminum-based metal-organic framework with slit pores for the efficient separation and recovery of electronic specialty gas C3F8

Figures(6)

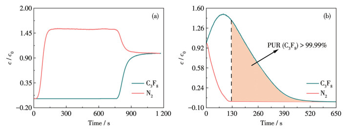
  • In this study, an aluminium-based porphyrin metal-organic framework (Al-TCPP) with slit-shaped pores was prepared by a solvothermal method, and its adsorptive separation and recovery properties of electronic specialty gas C3F8 were investigated. The synthesized Al-TCPP has a narrow slit pore structure with a pore size of 0.6 nm×1.1 nm, which is slightly larger than the molecular size of C3F8 (0.57 nm×0.52 nm). Meanwhile, the densely packed C—H bonds and μ-OH groups in the Al-TCPP pores can form multiple hydrogen bonding sites with the F atoms of C3F8, which further enhances the affinity for C3F8. Adsorption experiments showed that the adsorption amount of C3F8 in Al-TCPP was up to 96.1 cm3·g-1 at 298 K and 100 kPa, while the N2 adsorption amount was only 6.1 cm3·g-1, affording a record C3F8/N2 selectivity of 244.8, which exceeded that of all the adsorbents reported so far. Meanwhile, the heat of adsorption of C3F8 in the low-pressure region was 50.6 kJ·mol-1, which was much higher than that of N2 (16.5 kJ·mol-1). Density functional theory (DFT) calculations also showed that multiple H atoms in the adjacent porphyrin units of Al-TCPP can form strong interactions with the F atoms of C3F8 by hydrogen bonding. Breakthrough experiments confirmed that Al-TCPP could achieve the effective separation of C3F8/N2 mixtures, and high-purity C3F8 could be recovered by the desorption process.
  • 加载中
    1. [1]

      LEMAL D M. Perspective on fluorocarbon chemistry[J]. J. Org. Chem., 2004, 69(1): 1-11

    2. [2]

      TSAI W T, CHEN H P, HSIEN W Y. A review of uses, environmental hazards and recovery/recycle technologies of perfluorocarbons (PFCs) emissions from the semiconductor manufacturing processes[J]. J. Loss Prev. Process Ind., 2002, 15(2): 65-75

    3. [3]

      KIM J, FRASER P J, LI S, MÜHLE J, GANESAN A, KRUMMEL P B, STEELE L P, PARK S, KIM S K, PARK M K, ARNOLD T, HARTH C M, SALAMEH P K, PRINN R G, WEISS R F, KIM K R. Quantifying aluminum and semiconductor industry perfluorocarbon emissions from atmospheric measurements[J]. Geophys. Res. Lett., 2014, 41(13): 4787-4794

    4. [4]

      XIA W, ZHOU Z J, SHENG L Z, CHEN L, ZHENG F, ZHANG Z G, YANG Q W, REN Q L, BAO Z B. Deep purification of perfluorinated electronic specialty gas with a scalable metal-organic framework featuring tailored positive potential traps[J]. Sci. Bull., 2025, 70(2): 232-240

    5. [5]

      ZHENG M Z, XUE W J, YAN T A, JIANG Z F, FANG Z, HUANG H L, ZHONG C L. Fluorinated MOF-based hexafluoropropylene nanotrap for highly efficient purification of octafluoropropane electronic specialty gas[J]. Angew. Chem. ‒Int. Edit., 2024, 63(15): e202401770

    6. [6]

      XIA W, ZHOU Z J, SHENG L Z, CHEN L, SHEN F X, ZHENG F, ZHANG Z G, YANG Q W, REN Q L, BAO Z B. Bioinspired recognition in metal-organic frameworks enabling precise sieving separation of fluorinated propylene and propane mixtures[J]. Nat. Commun., 2024, 15(1): 8716

    7. [7]

      WANG S M, DUAN P G, YANG Q Y. Advances in porous adsorbents for perfluorocarbon greenhouse gas sorption and separation[J]. Coord. Chem. Rev., 2025, 525: 216339

    8. [8]

      AN M, PRINN R G, WESTERN L M, YAO B, ZHAO X, KIM J, MÜHLE J, CHI W, HARTH C M, HU J, GANESAN A L, RIGBY M. Substantial increase in perfluorocarbons CF4 (PFC-14) and C2F6 (PFC-116) emissions in China[J]. Proc. Natl. Acad. Sci. U. S. A., 2024, 121(30): e2400168121

    9. [9]

      WORTON D R, STURGES W T, GOHAR L K, SHINE K P, MARTINERIE P, ORAM D E, HUMPHREY S P, BEGLEY P, GUNN L, BARNOLA J M, SCHWANDER J, MULVANEY R. Atmospheric trends and radiative forcings of CF4 and C2F6 inferred from firn air[J]. Environ. Sci. Technol., 2007, 41(7): 2184-2189

    10. [10]

      CAO X P, LIU R J, LU Y, JIA S K, YUAN X G. Application of the thermally coupled extractive distillation for recycling octafluoropropane based on thermoeconomic analysis[J]. Sep. Purif. Technol., 2021, 279: 119813

    11. [11]

      WU Y, WANG S S, ZHANG W X, CHEN S H, ZHANG Z H, YANG B L, LI S P, MA H P. Enhancing perfluorinated electron specialty gases separation selectivity in ultra-microporous metal organic framework[J]. Sep. Purif. Technol., 2022, 289: 120739  doi: 10.1016/j.seppur.2022.120739

    12. [12]

      KUNDU T, WAHIDUZZAMAN M, SHAH B B, MAURIN G, ZHAO D. Solvent-induced control over breathing behavior in flexible metal-organic frameworks for natural-gas delivery[J]. Angew. Chem. ‒Int. Edit., 2019, 58(24): 8073-8077  doi: 10.1002/anie.201902738

    13. [13]

      WANG S B, WANG X C. Imidazolium ionic liquids, imidazolylidene heterocyclic carbenes, and zeolitic imidazolate frameworks for CO2 capture and photochemical reduction[J]. Angew. Chem. ‒Int. Edit., 2016, 55(7): 2308-2320  doi: 10.1002/anie.201507145

    14. [14]

      PENG Y, KRUNGLEVICIUTE V, ERYAZICI I, HUPP J T, FARHA O K, YILDIRIM T. Methane storage in metal-organic frameworks: Current records, surprise findings, and challenges[J]. J. Am. Chem. Soc., 2013, 135(32): 11887-11894  doi: 10.1021/ja4045289

    15. [15]

      WANG J, FU W X, WANG L M, LI Y L, LI Y P, SUI Z Y, XU X F. Modulation of pore structure in a microporous carbon for enhanced adsorption of perfluorinated electron specialty gases with efficient separation[J]. Chem. Eng. J., 2023, 477: 147128  doi: 10.1016/j.cej.2023.147128

    16. [16]

      SHIFLETT M B, CORBIN D R, ELLIOTT B A, SUBRAMONEY S, KANEKO K, YOKOZEKI A. Sorption of trifluoromethane in activated carbon[J]. Adsorption, 2014, 20(4): 565-575  doi: 10.1007/s10450-014-9601-4

    17. [17]

      DUNNE J A, RAO M, SIRCAR S, GORTE R J, MYERS A L. Calorimetric heats of adsorption and adsorption isotherms. 2. O2, N2, Ar, CO2, CH4, C2H6, and SF6 on NaX, H-ZSM-5, and Na-ZSM-5 zeolites[J]. Langmuir, 1996, 12(24): 5896-5904  doi: 10.1021/la960496r

    18. [18]

      ZHAO R C, XIE L H, LIU X M, LIU Z, LI X Y, LI J R. Removal of trace benzene from cyclohexane using a MOF molecular sieve[J]. J. Am. Chem. Soc., 2025, 147(3): 2467-2475  doi: 10.1021/jacs.4c13208

    19. [19]

      FURUKAWA H, CORDOVA K E, O′KEEFFE M, YAGHI O M. The chemistry and applications of metal-organic frameworks[J]. Science, 2013, 341(6149): 1230444  doi: 10.1126/science.1230444

    20. [20]

      JIAO L, SEOW J Y R, SKINNER W S, WANG Z U, JIANG H L. Metal-organic frameworks: Structures and functional applications[J]. Mater. Today, 2019, 27: 43-68  doi: 10.1016/j.mattod.2018.10.038

    21. [21]

      JIANG M Z, WANG Q, BAI J F. Research progress on low-cost ligand-based metal-organic frameworks for carbon dioxide capture from industrial flue gas[J]. Chinese J. Inorg. Chem., 2025, 41(1): 1-13

    22. [22]

      ZHAO X, WANG Y X, LI D S, BU X H, FENG P Y. Metal-organic frameworks for separation[J]. Adv. Mater., 2018, 30(37): 1705189  doi: 10.1002/adma.201705189

    23. [23]

      JI Q Y, WANG Q, LI H X, XUE D X, BAL J F. An eea topological metal-organic framework with high methane uptake[J]. Chinese J. Inorg. Chem., 2017, 33(11): 2031-2037

    24. [24]

      YUSUF M, KUMAR R, ALI K M, AHMED M J, OTERO M, MUTHU P S, SON M, HWANG J H, HYOUNG L W, JEON B H. Metal-organic framework-based composites for biogas and natural gas uptake: An overview of adsorption and storage mechanisms of gaseous fuels[J]. Chem. Eng. J., 2023, 478: 147302  doi: 10.1016/j.cej.2023.147302

    25. [25]

      LI H, LI L B, LIN R B, ZHOU W, ZHANG Z J, XIANG S C, CHEN B L. Porous metal-organic frameworks for gas storage and separation: Status and challenges[J]. EnergyChem, 2019, 1(1): 100006  doi: 10.1016/j.enchem.2019.100006

    26. [26]

      LI H, WANG K C, SUN Y J, LOLLAR C T, LI J L, ZHOU H C. Recent advances in gas storage and separation using metal-organic frameworks[J]. Mater. Today, 2018, 21(2): 108-121  doi: 10.1016/j.mattod.2017.07.006

    27. [27]

      LIN R B, XIANG S C, XING H B, ZHOU W, CHEN B L. Exploration of porous metal-organic frameworks for gas separation and purification[J]. Coord. Chem. Rev., 2019, 378: 87-103  doi: 10.1016/j.ccr.2017.09.027

    28. [28]

      ZHANG X, LI Y, LI J R. Metal-organic frameworks for multicomponent gas separation[J]. Trends Chem., 2024, 6(1): 22-36  doi: 10.1016/j.trechm.2023.11.001

    29. [29]

      DHAKSHINAMOORTHY A, ASIRI A M, GARCIA H. 2D metal- organic frameworks as multifunctional materials in heterogeneous catalysis and electro/photocatalysis[J]. Adv. Mater., 2019, 31(41): 1900617  doi: 10.1002/adma.201900617

    30. [30]

      BASUMATARY S, PATIR K, DAS B, SAIKIA P, BRAHMA S, BASUMATARY B, NATH B, BASUMATARY B, BASUMATARY S. Production of renewable biodiesel using metal organic frameworks based materials as efficient heterogeneous catalysts[J]. J. Clean. Prod., 2022, 358: 131955  doi: 10.1016/j.jclepro.2022.131955

    31. [31]

      DAI T L, ZHANG Y M, CHU G, ZHANG J. Core-shell magnetic microsphere Fe3O4@UiO-66-NH2: Characterization and application as heterogeneous catalyst[J]. Chinese J. Inorg. Chem., 2016, 32(4): 609-616

    32. [32]

      KEMPAHANUMAKKAGARI S, VELLINGIRI K, DEEP A, KWON E E, BOLAN N, KIM K H. Metal-organic framework composites as electrocatalysts for electrochemical sensing applications[J]. Coord. Chem. Rev., 2018, 357: 105-129  doi: 10.1016/j.ccr.2017.11.028

    33. [33]

      HAMMAD S F, ABDALLAH I A, BEDAIR A, ABDELHAMEED R M, LOCATELLI M, MANSOUR F R. Metal organic framework‑ derived carbon nanomaterials and MOF hybrids for chemical sensing[J]. Trac-Trends Anal. Chem., 2024, 170: 117425  doi: 10.1016/j.trac.2023.117425

    34. [34]

      CHOWDHURY S, NUGRAHA A S, O′MAY R, WANG X H, CHENG P, XIN R J, OSMAN S M, HOSSAIN M S, YAMAUCHI Y, MASUD M K, KANETI Y V. Bimetallic metal-organic framework- derived porous one-dimensional carbon materials for electrochemical sensing of dopamine[J]. Chem. Eng. J., 2024, 492: 152124  doi: 10.1016/j.cej.2024.152124

    35. [35]

      DUAN W J, QIAO S, ZHUO M J, SUN J X, GUO M L, XU F, LIU J J, WANG T, GUO X X, ZHANG Y, GAO J, HUANG Y Y, ZHANG Z J, CHENG P, MA S Q, CHEN Y. Multifunctional platforms: Metal-organic frameworks for cutaneous and cosmetic treatment[J]. Chem, 2021, 7(2): 450-462  doi: 10.1016/j.chempr.2020.11.018

    36. [36]

      LIU J C, XU D J, XU G C, LI X N, DONG J T, LUAN X K, DU X Z. Smart controlled-release avermectin nanopesticides based on metal-organic frameworks with large pores for enhanced insecticidal efficacy[J]. Chem. Eng. J., 2023, 475: 146312  doi: 10.1016/j.cej.2023.146312

    37. [37]

      ZHANG M H, LIU L, LI Q H, GONG H, CHEN Y F. Theoretical design of MOFs and PSA process for efficient separation of CF4/NF3[J]. Ind. Eng. Chem. Res., 2023, 62(18): 7103-7113  doi: 10.1021/acs.iecr.2c04592

    38. [38]

      BRANKEN D J, KRIEG H M, LE R J P, LACHMANN G. Separation of NF3 and CF4 using amorphous glassy perfluoropolymer Teflon AF and Hyflon AD60 membranes[J]. J. Membr. Sci., 2014, 462: 75- 87  doi: 10.1016/j.memsci.2014.03.033

    39. [39]

      WANG S M, LAN H L, GUAN G W, YANG Q Y. Amino‑ functionalized microporous MOFs for capturing greenhouse gases CF4 and NF3 with record selectivity[J]. ACS Appl. Mater. Interfaces, 2022, 14(35): 40072-40081  doi: 10.1021/acsami.2c12164

    40. [40]

      WANG S M, ZHANG Q, LI Y T, LIU S C, YANG Q Y. Destructive adsorption of nitrogen trifluoride (NF3) using M-MOF-74 with open metal sites[J]. Chem & Bio Engineering, 2024, 1(6): 535-540

    41. [41]

      ZHAO C Y, JIA C Y, WEN Z, WEN H Y, JIAN Y G, LI L, HONG X. The preparation and adsorption performance of Co-doped MIL-101(Cr) for low-concentration C3F8[J]. Chem. Eng. Sci., 2023, 282: 119302  doi: 10.1016/j.ces.2023.119302

    42. [42]

      TIAN K, ELBERT S M, HU X Y, KIRSCHBAUM T, ZHANG W S, ROMINGER F, SCHRÖDER R R, MASTALERZ M. Highly selective adsorption of perfluorinated greenhouse gases by porous organic cages[J]. Adv. Mater., 2022, 34(31): 2202290  doi: 10.1002/adma.202202290

    43. [43]

      WANG L, XUE W J, ZHU H J, GUO X Y, HUANG H L, ZHONG C L. Stepwise engineering the pore aperture of a cage-like MOF for the efficient separation of isomeric C4 paraffins under humid conditions[J]. Angew. Chem. ‒Int. Edit., 2023, 62(11): e202218596  doi: 10.1002/anie.202218596

    44. [44]

      LI X Y, JIANG G P, JIAN M P, ZHAO C, HOU J, THORNTON A W, ZHANG X Y, LIU J Z, FREEMAN B D, WANG H T, JIANG L, ZHANG H C. Construction of angstrom-scale ion channels with versatile pore configurations and sizes by metal-organic frameworks[J]. Nat. Commun., 2023, 14(1): 286  doi: 10.1038/s41467-023-35970-x

    45. [45]

      LI G, YAN T A, ZHAO H F, LIU D H. Effective removal of nitroimidazole antibiotics in aqueous solution by an aluminum-based metal-organic framework: Performance and mechanistic studies[J]. J. Solid State Chem., 2023, 317: 123659  doi: 10.1016/j.jssc.2022.123659

    46. [46]

      FENG D W, GU Z Y, LI J R, JIANG H L, WEI Z W, ZHOU H C. Zirconium-metalloporphyrin PCN-222: Mesoporous metal-organic frameworks with ultrahigh stability as biomimetic catalysts[J]. Angew. Chem. ‒Int. Edit., 2012, 51(41): 10307-10310  doi: 10.1002/anie.201204475

    47. [47]

      VANDEVONDELE J, KRACK M, MOHAMED F, PARRINELLO M, CHASSAING T, HUTTER J. Quickstep: Fast and accurate density functional calculations using a mixed Gaussian and plane waves approach[J]. Comput. Phys. Commun., 2005, 167(2): 103-128  doi: 10.1016/j.cpc.2004.12.014

    48. [48]

      KRACK M, PARRINELLO M. All‑electron abinitio molecular dynamics[J]. Phys. Chem. Chem. Phys., 2000, 2(10): 2105-2112  doi: 10.1039/b001167n

    49. [49]

      GRIMME S, ANTONY J, EHRLICH S, KRIEG H. A consistent and accurate ab initio parametrization of density functional dispersion correction (DFT-D) for the 94 elements H-Pu[J]. J. Chem. Phys., 2010, 132(15): 154104  doi: 10.1063/1.3382344

    50. [50]

      FATEEVA ALEXANDRA, CHATER P A, IRELAND C P, TAHIR A A, KHIMYAK Y Z, WIPER P V, DARWENT J R, ROSSEINSKY M J. A water-stable porphyrin-based metal-organic framework active for visible-light photocatalysis[J]. Angew. Chem. ‒Int. Edit., 2012, 51(30): 7440-7444  doi: 10.1002/anie.201202471

    51. [51]

      ZHANG W X, LI Y H, WU Y, HUANG W B, WANG S S, FU Y, MA W J, LI X Y, MA H P. Polypyrene porous organic framework for efficiently capturing electron specialty gases[J]. ACS Appl. Mater. Interfaces, 2023, 15(24): 29468-29477  doi: 10.1021/acsami.3c05398

    52. [52]

      LI X X, YANG C T, DU S J, WU Y, HUANG B L, TAN A D, LIANG Z X, XIAO J. Dynamic adsorption separation of c-C4F8/C3F8 for effective purification of perfluoropropane electronic gas[J]. Chem. Eng. Sci., 2023, 273: 118656  doi: 10.1016/j.ces.2023.118656

    53. [53]

      BASKAR A V, BOLAN N, HOANG S A, SOORIYAKUMAR P, KUMAR M, SINGH L, JASEMIZAD T, PADHYE L P, SINGH G, VINU A, SARKAR B, KIRKHAM M B, RINKLEBE J, WANG S, WANG H, BALASUBRAMANIAN R, SIDDIQUE K H M. Recovery, regeneration and sustainable management of spent adsorbents from wastewater treatment streams: A review[J]. Sci. Total. Environ., 2022, 822: 153555  doi: 10.1016/j.scitotenv.2022.153555

    54. [54]

      JAHANDAR L M, KHIAVI S, SAYARI A. Stability of amine-functionalized CO2 adsorbents: A multifaceted puzzle[J]. Chem. Soc. Rev., 2019, 48(12): 3320-3405  doi: 10.1039/C8CS00877A

  • 加载中
    1. [1]

      Jiali CHENGuoxiang ZHAOYayu YANWanting XIAQiaohong LIJian ZHANG . Machine learning exploring the adsorption of electronic gases on zeolite molecular sieves. Chinese Journal of Inorganic Chemistry, 2025, 41(1): 155-164. doi: 10.11862/CJIC.20240408

    2. [2]

      Youlin SIShuquan SUNJunsong YANGZijun BIEYan CHENLi LUO . Synthesis and adsorption properties of Zn(Ⅱ) metal-organic framework based on 3, 3', 5, 5'-tetraimidazolyl biphenyl ligands. Chinese Journal of Inorganic Chemistry, 2024, 40(9): 1755-1762. doi: 10.11862/CJIC.20240061

    3. [3]

      Peiran ZHAOYuqian LIUCheng HEChunying DUAN . A functionalized Eu3+ metal-organic framework for selective fluorescent detection of pyrene. Chinese Journal of Inorganic Chemistry, 2024, 40(4): 713-724. doi: 10.11862/CJIC.20230355

    4. [4]

      Fugui XIDu LIZhourui YANHui WANGJunyu XIANGZhiyun DONG . Functionalized zirconium metal-organic frameworks for the removal of tetracycline from water. Chinese Journal of Inorganic Chemistry, 2025, 41(4): 683-694. doi: 10.11862/CJIC.20240291

    5. [5]

      Lu XUChengyu ZHANGWenjuan JIHaiying YANGYunlong FU . Zinc metal-organic framework with high-density free carboxyl oxygen functionalized pore walls for targeted electrochemical sensing of paracetamol. Chinese Journal of Inorganic Chemistry, 2024, 40(5): 907-918. doi: 10.11862/CJIC.20230431

    6. [6]

      Xiaoling LUOPintian ZOUXiaoyan WANGZheng LIUXiangfei KONGQun TANGSheng WANG . Synthesis, crystal structures, and properties of lanthanide metal-organic frameworks based on 2, 5-dibromoterephthalic acid ligand. Chinese Journal of Inorganic Chemistry, 2024, 40(6): 1143-1150. doi: 10.11862/CJIC.20230271

    7. [7]

      Jun LUOBaoshu LIUYunchang ZHANGBingkai WANGBeibei GUOLan SHETianheng CHEN . Europium(Ⅲ) metal-organic framework as a fluorescent probe for selectively and sensitively sensing Pb2+ in aqueous solution. Chinese Journal of Inorganic Chemistry, 2024, 40(12): 2438-2444. doi: 10.11862/CJIC.20240240

    8. [8]

      Mengzhen JIANGQian WANGJunfeng BAI . Research progress on low-cost ligand-based metal-organic frameworks for carbon dioxide capture from industrial flue gas. Chinese Journal of Inorganic Chemistry, 2025, 41(1): 1-13. doi: 10.11862/CJIC.20240355

    9. [9]

      Yongzhi LIHan ZHANGGangding WANGYanwei SUILei HOUYaoyu WANG . A two-dimensional metal-organic framework for the determination of nitrofurantoin and nitrofurazone in aqueous solution. Chinese Journal of Inorganic Chemistry, 2025, 41(2): 245-253. doi: 10.11862/CJIC.20240307

    10. [10]

      Xiaoqi LANWei LILong JINGMengyu SUXiaoling LUOZheng LIUQun TANG . Synthesis, crystal structure, and spectral properties of transition-metal-organic frameworks based on thiophene carboxylic acid ligands. Chinese Journal of Inorganic Chemistry, 2026, 42(2): 309-316. doi: 10.11862/CJIC.20250212

    11. [11]

      Tiantian MASumei LIChengyu ZHANGLu XUYiyan BAIYunlong FUWenjuan JIHaiying YANG . Methyl-functionalized Cd-based metal-organic framework for highly sensitive electrochemical sensing of dopamine. Chinese Journal of Inorganic Chemistry, 2024, 40(4): 725-735. doi: 10.11862/CJIC.20230351

    12. [12]

      Ruolin CHENGHaoran WANGJing RENYingying MAHuagen LIANG . Efficient photocatalytic CO2 cycloaddition over W18O49/NH2-UiO-66 composite catalyst. Chinese Journal of Inorganic Chemistry, 2024, 40(3): 523-532. doi: 10.11862/CJIC.20230349

    13. [13]

      Jiahong ZHENGJingyun YANG . Preparation and electrochemical properties of hollow dodecahedral CoNi2S4 supported by MnO2 nanowires. Chinese Journal of Inorganic Chemistry, 2024, 40(10): 1881-1891. doi: 10.11862/CJIC.20240170

    14. [14]

      Jie ZHAOSen LIUQikang YINXiaoqing LUZhaojie WANG . Theoretical calculation of selective adsorption and separation of CO2 by alkali metal modified naphthalene/naphthalenediyne. Chinese Journal of Inorganic Chemistry, 2024, 40(3): 515-522. doi: 10.11862/CJIC.20230385

    15. [15]

      Wendian XIEYuehua LONGJianyang XIELiqun XINGShixiong SHEYan YANGZhihao HUANG . Preparation and ion separation performance of oligoether chains enriched covalent organic framework membrane. Chinese Journal of Inorganic Chemistry, 2024, 40(8): 1528-1536. doi: 10.11862/CJIC.20240050

    16. [16]

      Lin′an CAODengyue MAGang XU . Research advances in electrically conductive metal-organic frameworks-based electrochemical sensors. Chinese Journal of Inorganic Chemistry, 2025, 41(10): 1953-1972. doi: 10.11862/CJIC.20250160

    17. [17]

      Aiai WANGLu ZHAOYunfeng BAIFeng FENG . Research progress of bimetallic organic framework in tumor diagnosis and treatment. Chinese Journal of Inorganic Chemistry, 2024, 40(10): 1825-1839. doi: 10.11862/CJIC.20240225

    18. [18]

      Ran HUOZhaohui ZHANGXi SULong CHEN . Research progress on multivariate two dimensional conjugated metal organic frameworks. Chinese Journal of Inorganic Chemistry, 2024, 40(11): 2063-2074. doi: 10.11862/CJIC.20240195

    19. [19]

      Bin HEHao ZHANGLin XUYanghe LIUFeifan LANGJiandong PANG . Recent progress in multicomponent zirconium?based metal-organic frameworks. Chinese Journal of Inorganic Chemistry, 2024, 40(11): 2041-2062. doi: 10.11862/CJIC.20240161

    20. [20]

      . Synthesis and properties of metal‐organic frameworks. Chinese Journal of Inorganic Chemistry, 2025, 41(10): 1-2.

Metrics
  • PDF Downloads(4)
  • Abstract views(1477)
  • HTML views(200)

通讯作者: 陈斌, bchen63@163.com
  • 1. 

    沈阳化工大学材料科学与工程学院 沈阳 110142

  1. 本站搜索
  2. 百度学术搜索
  3. 万方数据库搜索
  4. CNKI搜索
Address:Zhongguancun North First Street 2,100190 Beijing, PR China Tel: +86-010-82449177-888
Powered By info@rhhz.net

/

DownLoad:  Full-Size Img  PowerPoint
Return