Citation: Nian LIU, Biao ZHENG, Kun WANG, Chunbao ZHENG, Qingyan HAN, Enjie HE, Saidong XUE. Synthesis and spectroscopic performance of double perovskite Li0.5La0.5MgSrWO6∶Mn4+ phosphors for plant growth lighting[J]. Chinese Journal of Inorganic Chemistry, ;2026, 42(1): 129-140. doi: 10.11862/CJIC.20250069 shu

Synthesis and spectroscopic performance of double perovskite Li0.5La0.5MgSrWO6∶Mn4+ phosphors for plant growth lighting

  • Corresponding author: Enjie HE, heej@ahstu.edu.cn
  • Received Date: 2 March 2025
    Revised Date: 6 November 2025

Figures(9)

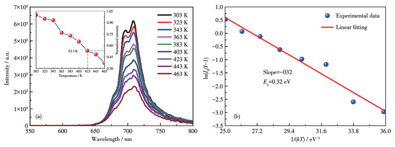
  • A series of Mn4+ doped Li0.5La0.5MgSrWO6xMn4+ (LLMSW∶xMn4+) phosphors based on the A-site cation substitution strategy were synthesized by the high-temperature solid-state reaction method, and their structure and properties were investigated systematically. The results showed that the prepared LLSMW∶xMn4+ phosphors had an octahedral structure. In this structure, Mn4+ occupied the center of the octahedron. And the co-doped Li+ coupled with La3+ formed a cation-pair, which not only balances charges but also changes the local symmetry of the Mn4+ site. Meanwhile, the introduction of cation pairs may break the reversal symmetry of the luminescence center and facilitate the luminescence enhancement of the 2Eg4A2g transition. The LLSMW∶xMn4+ phosphors had a broad excitation band in the range of 270-600 nm, attributed to the Mn→O charge transfer band (318 nm), 4A2g4T1g (342 nm), 4A2g2T2g (361 nm), and 4A2g4T2g (484 nm) spin-allowed transitions of Mn4+ ions, respectively. Excited by 332 nm light, the photoluminescence (PL) spectrum with the peak at 708 nm had a broad band between 650 and 800 nm due to the 2Eg4A2g transition of Mn4+. The optimal doping concentration of Mn4+ was 0.012, with a 1.528 ms decay lifetime, and its quantum yield was 65.74%. When the temperature rose to 423 K, the fluorescence intensity decreased to 53.1% of that at room temperature, and the activation energy was 0.32 eV. A deep red-emitting LED device with a 365 nm near ultraviolet (NUV) chip was fabricated. The color coordinates of the LED were located at (0.724 0, 0.269 6), and the color purity was determined to be 98.1% under excitation at a current of 40 mA. Furthermore, its electroluminescence (EL) spectrum could effectively match the absorption spectrum of phytochrome (Pfr).
  • 加载中
    1. [1]

      HU J X, HUANG T H, ZHANG Y P, LU B, YE H Q, CHEN B J, XIA H P, JI C Y. Enhanced deep-red emission from Mn4+/Mg2+ co-doped CaGdAlO4 phosphors for plant cultivation[J]. Dalton Trans., 2019, 48(7): 2455-2466  doi: 10.1039/C8DT04955F

    2. [2]

      HE F, SONG E H, CHANG H, ZHOU Y Y, XIA Z G, ZHANG Q Y. Interstitial Li+ occupancy enabling radiative/nonradiative transition control toward highly efficient Cr3+-based near-infrared luminescence[J]. ACS Appl. Mater. Interfaces., 2022, 14(27): 31035-31043  doi: 10.1021/acsami.2c07495

    3. [3]

      SHI L, LI J X, HAN Y J, LI W L, ZHANG Z W. Highly efficient and thermally stable of a novel red phosphor Sr3NaSbO6∶Mn4+ for indoor plant growth[J]. J. Lumin., 2019, 208: 201-207  doi: 10.1016/j.jlumin.2018.12.039

    4. [4]

      CAO R P, LIU X, BAI K L, CHEN T, GUO S L, HU Z F, XIAO F, LUO Z Y. Photoluminescence properties of red-emitting Li2ZnSn2O6∶Mn4+ phosphor for solid-state lighting[J]. J. Lumin., 2018, 197: 169-174  doi: 10.1016/j.jlumin.2018.01.023

    5. [5]

      LI X S, CHEN Z K, WANG B, LIANG R Z, LI Y T. Effects of impurity doping on the luminescence performance of Mn4+-doped aluminates with the magnetoplumbite-type structure for plant cultivation[J]. Materials, 2018, 12(1): 86  doi: 10.3390/ma12010086

    6. [6]

      SHAO Y M, LI C L, ZOU Z Q, WANG J F, SUN H Y, QIN R K. A high-efficiency double perovskite phosphor SrLaNaTeO6∶Mn4+: Potential applications in w-LEDs and indoor plant growth lighting[J]. Ceram. Int., 2024, 50: 4433-4445  doi: 10.1016/j.ceramint.2023.11.161

    7. [7]

      WANG Y F, DING F, WU J Y, KE J B, YUAN X Z, WANG X F, QIU Z X, ZHOU W L, ZHANG J L, LIAN S X. Site preference-driven Mn4+ stabilization in double perovskite phosphor regulating quantum efficiency from zero to champion[J]. Inorg. Chem., 2022, 61(8): 3631-3640  doi: 10.1021/acs.inorgchem.1c03756

    8. [8]

      BRIK M G, CAMARDELLO S J, SRIVASTAVA A M, AVRAM N M, SUCHOCHI A. Spin-forbidden transitions in the spectra of transition metal ions and nephelauxetic effect[J]. ECS J. Solid State Sci. Technol., 2015, 5(1): R3067-R3077

    9. [9]

      KUMARI C, MANAM J, SHARMA S K. Strong red emission in double perovskite Sr3LiSbO6: Eu3+phosphor with high color purity for solid-state lighting applications[J]. Mater. Sci. Semicond Process., 2023, 158: 107385  doi: 10.1016/j.mssp.2023.107385

    10. [10]

      PATNAM H, HUSSAIN S K, YU J S. Rare-earth-free Mn4+ ions activated Ba2YSbO6 phosphors for solid-state lighting, flexible display, and anti-counterfeiting applications[J]. Ceram. Int., 2023, 49(2): 2967-2977  doi: 10.1016/j.ceramint.2022.09.281

    11. [11]

      BRIK M G, MA C G, PIASECKI M, SRIVASTAVA A M. Mn4+ ions for solid state lighting[J]. Chin. J. Lumin., 2020, 41(9): 1011-1029  doi: 10.37188/fgxb20204109.1011

    12. [12]

      CHEN H, LIN H, HUANG Q M, HUANG F, XU J, WANG B, LIN Z B, ZHOU J C, WANG Y S. A novel double-perovskite Gd2ZnTiO6∶Mn4+ red phosphor for UV-based w-LEDs: Structure and luminescence properties[J]. J. Mater. Chem. C, 2016, 4(12): 2374-2381  doi: 10.1039/C6TC00313C

    13. [13]

      ZHANG S A, HU Y H, DUAN H, FU Y R, HE M. An efficient broad-band red-emitting Li2MgTi3O8∶Mn4+ phosphor for blue-converted white LEDs[J]. J. Alloy. Compd., 2017, 693: 315-325  doi: 10.1016/j.jallcom.2016.09.203

    14. [14]

      CHEN Z L, TIAN Z B, ZHANG J, LI F, DU S M, ZHANG S J, ZHU K M, CUI W, YUAN X Y, CHEN K X, LIU G H. Novel deep‑red-emitting double-perovskite type Ca2ScNbO6∶Mn4+ phosphor: Structure, spectral study, and improvement by NaF flux[J]. J. Am Ceram. Soc., 2022, 105(6): 4230-4241  doi: 10.1111/jace.18424

    15. [15]

      FU A J, ZHOU C Y, CHEN Q, LU Z Z, HUANG T J, WANG H, ZHOU L Y. Preparation and optical properties of a novel double-perovskite phosphor, Ba2GdNbO6∶Mn4+, for light-emitting diodes[J]. Ceram. Int., 2017, 43(8): 6353-6362  doi: 10.1016/j.ceramint.2017.02.044

    16. [16]

      CHEN W, CHENG Y Z, SHEN L L, SHEN C Y, LIANG X J, XIANG W D. Red-emitting Sr2MgGe2O7∶Mn4+ phosphors: Structure, luminescence properties, and application in warm white light emitting diodes[J]. J. Alloy. Compd., 2018, 762: 688-696  doi: 10.1016/j.jallcom.2018.05.264

    17. [17]

      GU S M, XIA M, ZHOU C, KONG Z H, MOLOKEEV M S, LIU L, WONG W Y, ZHOU Z. Red shift properties, crystal field theory and nephelauxetic effect on Mn4+-doped SrMgAl10-yGayO17 red phosphor for plant growth LED light[J]. Chem. Eng. J., 2020, 396: 125208  doi: 10.1016/j.cej.2020.125208

    18. [18]

      HONG F, XU H P, PANG G, LIU G X, DONG X T, YU W S. Optical characteristics, morphology evolution and thermal stability of novel red-emitting Mn4+-activated K2LiAl1-yGayF6 solid solution phosphors for high-performance warm WLED[J]. J. Alloy. Compd., 2020, 824: 153818  doi: 10.1016/j.jallcom.2020.153818

    19. [19]

      WANG Z X, LIN H, ZHANG D W, SHEN Y M, LI Y, HONG R J, TAO C X, HAN Z X, CHEN L, ZHOU S M. Deep-red emitting Mg2TiO4∶Mn4+ phosphor ceramics for plant lighting[J]. J. Adv. Ceram., 2021, 10: 88-97  doi: 10.1007/s40145-020-0421-6

    20. [20]

      WANG H, LIU X Y, HONG F, DONG Y K, LI Y N, LIU G X, WANG J X, LI D, YU W S, DONG X T. Luminescence properties, crystal field and nephelauxetic effect on (NH4)2NaMF6∶Mn4+ (M=Al, Ga and In) red phosphors for warm white light-emitting diodes[J]. J. Lumin., 2022, 251: 119242  doi: 10.1016/j.jlumin.2022.119242

    21. [21]

      LIU Y M, WANG T M, ZHANG X Z, CAO C C, YANG L, HUANG Y H, LIAO S, ZHANG H X. Synthesis, luminescence properties and nephelauxetic effect of nano stick phosphors K3AlF6∶Mn4+ for warm white LED[J]. J. Mater. Sci. -Mater. Electron., 2019, 30: 1870-1877  doi: 10.1007/s10854-018-0459-1

    22. [22]

      LIU Y M, WANG T M, TAN Z R, MENG J M, HUANG W J, HUANG Y H, LIAO S, ZHANG H X. Novel emission bands of Na2TiF6∶Mn4+ phosphors induced by the cation exchange method[J]. Ceram. Int., 2019, 45(5): 6243-6249  doi: 10.1016/j.ceramint.2018.12.104

    23. [23]

      HUMAYOUN U B, KWON S B, SAMI S K, YOON D H. (NH4)3AlF6∶Mn4+ a novel red phosphor—Facile synthesis, structure and luminescence characteristics[J]. J. Alloy. Compd., 2019, 776: 594-598  doi: 10.1016/j.jallcom.2018.10.117

    24. [24]

      JANSEN T, FUNKE L M, GOROBEZ J, BÖHNISH D, HOFFMANN R D, HELETTA L, PÖTTGEN R, HANSEN M R, JÜSTEL T, ECKERT H. Red-emitting K3HF2WO2F4∶Mn4+ for application in warm‑white phosphor‑converted LEDs—Optical properties and magnetic resonance characterization[J]. Dalton Trans., 2019, 48(16): 5361-5371  doi: 10.1039/C9DT00091G

    25. [25]

      LI K, LIAN H Z, VAN DEUN R, BRIK M G. A far-red-emitting NaMgLaTeO6∶Mn4+ phosphor with perovskite structure for indoor plant growth[J]. Dyes Pigment., 2019, 162: 214-221  doi: 10.1016/j.dyepig.2018.09.084

    26. [26]

      SHI L, HAN Y J, ZHANG Z G, JI Z X, SHI D C, GENG X Y, ZHANG H, LI M, ZHANG Z W. Synthesis and photoluminescence properties of novel Ca2LaSbO6∶Mn4+ double perovskite phosphor for plant growth LEDs[J]. Ceram. Int., 2019, 45(4): 4739-4746  doi: 10.1016/j.ceramint.2018.11.166

    27. [27]

      SHI L, WANG S, HAN Y J, JI Z X, MA D, MU Z F, MAO Z Y, WANG D J, ZHANG Z W, LIU L. Sr2LaSbO6∶Mn4+ far-red phosphor for plant cultivation: Synthesis, luminescence properties and emission enhancement by Al3+ ions[J]. J. Lumin., 2020, 221: 117091  doi: 10.1016/j.jlumin.2020.117091

  • 加载中
    1. [1]

      Cuiping HEZhuxuan LIYuqing SUNJie LIUShicheng XUZhanchao WU . Ca2+ doping induced crystal phase transition and spectral regulation of Ba3P4O13: Eu2+ phosphor. Chinese Journal of Inorganic Chemistry, 2025, 41(11): 2299-2306. doi: 10.11862/CJIC.20250074

    2. [2]

      Lin Song Dourong Wang Biao Zhang . Innovative Experimental Design and Research on Preparing Flexible Perovskite Fluorescent Gels Using 3D Printing. University Chemistry, 2024, 39(7): 337-344. doi: 10.3866/PKU.DXHX202310107

    3. [3]

      Xuewei BACheng CHENGHuaikang ZHANGDeqing ZHANGShuhua LI . Preparation and luminescent performance of Sr1-xZrSi2O7xDy3+ phosphor with high thermal stability. Chinese Journal of Inorganic Chemistry, 2025, 41(2): 357-364. doi: 10.11862/CJIC.20240096

    4. [4]

      Wenwei Zeng Qingyu Sun Mengxiang Liang Lirong Lin LaiYing Zhang . Unveiling Anti-Counterfeiting Secrets: Excitation-Dependent Luminescence in Sb3+-Doped Perovskite Materials. University Chemistry, 2026, 41(2): 375-384. doi: 10.12461/PKU.DXHX202502049

    5. [5]

      Lixing ZHANGYaowen WANGXu HANJunhong ZHOUJinghui WANGLiping LIGuangshe LI . Research progress in the synthesis of fluorine-containing perovskites and their derivatives. Chinese Journal of Inorganic Chemistry, 2025, 41(9): 1689-1701. doi: 10.11862/CJIC.20250007

    6. [6]

      Yao MaXin ZhaoHongxu ChenWei WeiLiang Shen . Progress and Perspective of Perovskite Thin Single Crystal Photodetectors. Acta Physico-Chimica Sinica, 2025, 41(4): 100030-0. doi: 10.3866/PKU.WHXB202309045

    7. [7]

      Yixuan Gao Lingxing Zan Wenlin Zhang Qingbo Wei . Comprehensive Innovation Experiment: Preparation and Characterization of Carbon-based Perovskite Solar Cells. University Chemistry, 2024, 39(4): 178-183. doi: 10.3866/PKU.DXHX202311091

    8. [8]

      Cheng PENGJianwei WEIYating CHENNan HUHui ZENG . First principles investigation about interference effects of electronic and optical properties of inorganic and lead-free perovskite Cs3Bi2X9 (X=Cl, Br, I). Chinese Journal of Inorganic Chemistry, 2024, 40(3): 555-560. doi: 10.11862/CJIC.20230282

    9. [9]

      Yan ZHAOXiaokang JIANGZhonghui LIJiaxu WANGHengwei ZHOUHai GUO . Preparation and fluorescence properties of Eu3+-doped CaLaGaO4 red-emitting phosphors. Chinese Journal of Inorganic Chemistry, 2024, 40(10): 1861-1868. doi: 10.11862/CJIC.20240242

    10. [10]

      Fan JIAWenbao XUFangbin LIUHaihua ZHANGHongbing FU . Synthesis and electroluminescence properties of Mn2+ doped quasi-two-dimensional perovskites (PEA)2PbyMn1-yBr4. Chinese Journal of Inorganic Chemistry, 2024, 40(6): 1114-1122. doi: 10.11862/CJIC.20230473

    11. [11]

      Qilin YUYifei XUPengjun ZHANGShuwei HAOChongqiang ZHUChunhui YANG . Effect of regulating K+/Na+ ratio on the structure and optical properties of double perovskite Cs2NaBiCl6: Mn2+. Chinese Journal of Inorganic Chemistry, 2025, 41(6): 1058-1067. doi: 10.11862/CJIC.20240418

    12. [12]

      Zeyi Yan Ruitao Liu Xinyu Qi Yuxiang Zhang Lulu Sun Xiangyuan Li Anchao Feng . Exploration of Suspension Polymerization: Preparation and Fluorescence Stability of Perovskite Polystyrene Microbeads. University Chemistry, 2025, 40(4): 72-79. doi: 10.12461/PKU.DXHX202405110

    13. [13]

      Yingqi BAIHua ZHAOHuipeng LIXinran RENJun LI . Perovskite LaCoO3/g-C3N4 heterojunction: Construction and photocatalytic degradation properties. Chinese Journal of Inorganic Chemistry, 2025, 41(3): 480-490. doi: 10.11862/CJIC.20240259

    14. [14]

      Han ZHANGJianfeng SUNJinsheng LIANG . Hydrothermal synthesis and luminescent properties of broadband near-infrared Na3CrF6 phosphor. Chinese Journal of Inorganic Chemistry, 2025, 41(2): 349-356. doi: 10.11862/CJIC.20240098

    15. [15]

      Yan ZHAOJiaxu WANGZhonghu LIChangli LIUXingsheng ZHAOHengwei ZHOUXiaokang JIANG . Gd3+-doped Sc2W3O12: Eu3+ red phosphor: Preparation and luminescence performance. Chinese Journal of Inorganic Chemistry, 2025, 41(3): 461-468. doi: 10.11862/CJIC.20240316

    16. [16]

      Xinyuan Shi Chenyangjiang Changyu Zhai Xuemei Lu Jia Li Zhu Mao . Preparation and Photoelectric Performance Characterization of Perovskite CsPbBr3 Thin Films. University Chemistry, 2024, 39(6): 383-389. doi: 10.3866/PKU.DXHX202312019

    17. [17]

      Jian LiYu ZhangRongrong YanKaiyuan SunXiaoqing LiuZishang LiangYinan JiaoHui BuXin ChenJinjin ZhaoJianlin Shi . Highly Efficient, Targeted, and Traceable Perovskite Nanocrystals for Photoelectrocatalytic Oncotherapy. Acta Physico-Chimica Sinica, 2025, 41(5): 100042-0. doi: 10.1016/j.actphy.2024.100042

    18. [18]

      Weicheng FengJingcheng YuYilan YangYige GuoGeng ZouXiaoju LiuZhou ChenKun DongYuefeng SongGuoxiong WangXinhe Bao . Regulating the High Entropy Component of Double Perovskite for High-Temperature Oxygen Evolution Reaction. Acta Physico-Chimica Sinica, 2024, 40(6): 2306013-0. doi: 10.3866/PKU.WHXB202306013

    19. [19]

      Rui LiHuan LiuYinan JiaoShengjian QinJie MengJiayu SongRongrong YanHang SuHengbin ChenZixuan ShangJinjin Zhao . Emerging Irreversible and Reversible Ion Migrations in Perovskites. Acta Physico-Chimica Sinica, 2024, 40(11): 2311011-0. doi: 10.3866/PKU.WHXB202311011

    20. [20]

      Nengmin ZHUWenhao ZHUXiaoyao YINSongzhi ZHENGHao LIZeyuan WANGWenhao WEIXuanheng CHENWeihai SUN . Preparation of high-performance CsPbBr3 perovskite solar cells by the aqueous solution solvent method. Chinese Journal of Inorganic Chemistry, 2025, 41(6): 1131-1140. doi: 10.11862/CJIC.20240419

Metrics
  • PDF Downloads(0)
  • Abstract views(52)
  • HTML views(13)

通讯作者: 陈斌, bchen63@163.com
  • 1. 

    沈阳化工大学材料科学与工程学院 沈阳 110142

  1. 本站搜索
  2. 百度学术搜索
  3. 万方数据库搜索
  4. CNKI搜索
Address:Zhongguancun North First Street 2,100190 Beijing, PR China Tel: +86-010-82449177-888
Powered By info@rhhz.net

/

DownLoad:  Full-Size Img  PowerPoint
Return