Citation: Xiang-Jun MU, Qing-Yue FENG, Mei-Jin LI, Chang-Qing YI, Feng-Fu FU. Synthesis, Characterization and Imaging Analysis of Water-Soluble Iridium(Ⅲ) Complexes with Sugar Groups[J]. Chinese Journal of Inorganic Chemistry, ;2021, 37(12): 2125-2132. doi: 10.11862/CJIC.2021.250 shu

Synthesis, Characterization and Imaging Analysis of Water-Soluble Iridium(Ⅲ) Complexes with Sugar Groups

  • Corresponding author: Mei-Jin LI, mjli@fzu.edu.cn
  • Received Date: 8 May 2021
    Revised Date: 13 October 2021

Figures(5)

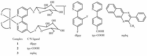
  • A series of cyclometalated iridium(Ⅲ) complexes, [(dfppy)2Ir(bpy-sugar)]Cl (1), [(tpy-COOH)2Ir(bpy-sugar)] Cl (2) and[(mpbq)2Ir(bpy-sugar)]Cl (3) (dfppy=2-(2, 4-difluorophenyl)pyridine, tpy-COOH=4-(2'-pyridyl)benzoic acid, mpbq=2-methyl-3-phenylbenzo[g]quinoxaline, bpy-sugar=4, 4'-bis(1-thio-β-D-glucosemethyl)-2, 2'-bipyridine), were designed and synthesized with cyclometalated C^N ligand and bpy-sugar assistant ligands. Their structures were characterized by NMR, MS, IR spectroscopy and elemental analysis. Their photophysical properties and applications in cell imaging were studied. Through the regulation of auxiliary cyclometalated ligands, the photoluminescence of the complexes can be tuned from yellow to near-infrared light. In aqueous solution, complexes 1 and 2 displayed yellow emissions with the maximum wavelengths at about 546 and 584 nm, respectively. While complex 3 displayed near infrared emission with wavelength at about 780 nm in a mixed solution of H2O and dimethyl sulfoxide (39:1, V/V). The quantum efficiencies of complexes 1 and 2 were 16.9% and 3.1%, respectively. The quantum yield of complex 1 was significantly higher than that of ruthenium(Ⅱ) tris(2, 2'-bipyridine). The photoluminescence of complex 3 was weak, and the integrating sphere cannot obtain accurate quantum yield. However, its photoluminescence in the near-infrared region was expected to be used as a near-infrared probe for biological analysis. The lifetimes of complexes 1 and 2 were 0.22 and 0.10 μs, respectively. Modifying different groups on the ligand can increase the cell penetration and water solubility of the complexes, and realize the imaging analysis of the complex in the cell. The iridium(Ⅲ) complexes could penetrate the cell membrane and enter the cell, and overlap with the part of the nucleus stained by 4, 6-bialamidine-2-phenylindole (DAPI), indicating that it had entered the nucleus. The photoluminescence of the iridium(Ⅲ) complexes was good in living cells, showing that the iridium(Ⅲ) complexes was still stable in the biological environment.
  • 加载中
    1. [1]

      Yang M, Yarnell J E, Roz K E, Castellano F N. A Robust Visible-Light-Harvesting Cyclometalated Ir(Ⅲ) Diimine Sensitizer for Homogeneous Photocatalytic Hydrogen Production[J]. ACS Appl. Energy Mater., 2020,3:1842-1853. doi: 10.1021/acsaem.9b02269

    2. [2]

      Bodedla G B, Tritton D N, Chen X, Zhao J Z, Guo Z L, Leung K C F, Wong W Y, Zhu X J. Cocatalyst-Free Photocatalytic Hydrogen Evolution with Simple Heteroleptic Iridium(Ⅲ) Complexes[J]. ACS Appl. Energy Mater., 2021,4:3945-3951. doi: 10.1021/acsaem.1c00318

    3. [3]

      Li Y Y, Wu Y Q, Wu J, Lun W C, Zeng H, Fan X L. A Near-Infrared Phosphorescent Iridium (Ⅲ) Complex for Fast and Time-Resolved Detection of Cysteine and Homocysteine[J]. Analyst, 2020,145:2238-2244. doi: 10.1039/C9AN02469G

    4. [4]

      Ma Q H, Dong W Y, Ma Z H, Lv X L, Li Y W, Duan Q. Synthesis of Phosphorescent Iridium (Ⅲ) Complex Containing Carbazole and Its Sensing Property Towards Nitro-aromatic Compounds[J]. Mater. Lett., 2019,249:120-123. doi: 10.1016/j.matlet.2019.04.071

    5. [5]

      WANG F F, TAO Y T, HUANG W. Recent Progress of Host Materials for Highly Efficient Blue Phosphorescent OLEDs[J]. Acta Chim. Sinica, 2015,73:9-22.  

    6. [6]

      TONG B H, MEI Q B, LI Z W, DONG Y P, ZHANG Q F. Investigation on the Electrochemiluminescence Properties of a Series of Cyclometalated Iridium(Ⅲ) Complexes Based on 2-Phenylquinoline Derivatives[J]. Acta Chim. Sinica, 2012,70:2451-2456.  

    7. [7]

      YE R R, TAN C P, JI L N, MAO Z W. Progress in Applications of Phosphorescent Transition Metal Complexes in Bioimaging and Cancer Therapy[J]. Prog. Pharm. Sci., 2017,41(1):4-16.  

    8. [8]

      OUYANG A, LUO Y H, LU N, HU R T, ZHANG P Y, ZHANG Q L. Viscosity Responsive and Mitochondria Targeted Iridium(Ⅲ) Complexes for Photodynamic Therapy of Tumors[J]. Chinese J. Inorg. Chem., 2021,37(3):401-411.  

    9. [9]

      Yuan H, Han Z, Chen Y C, Qi F, Fang H B, Guo Z J, Zhang S R, He W J. Ferroptosis Photoinduced by New Cyclometalated Iridium (Ⅲ) Complexes and Its Synergism with Apoptosis in Tumor Cell Inhibition[J]. Angew. Chem. Int. Ed., 2021,60:8174-8181. doi: 10.1002/anie.202014959

    10. [10]

      Huang C, Liang C, Sadhukhan T, Banerjee S, Fan Z X, Li T X, Zhu Z L, Zhang P Y, Raghavachari K, Huang H Y. In-Vitro and In-Vivo Photocatalytic Cancer Therapy with Biocompatible Iridium(Ⅲ) Photocatalysts[J]. Angew. Chem. Int. Ed., 2021,60:9474-9479. doi: 10.1002/anie.202015671

    11. [11]

      Han Z, Wang Y J, Chen Y C, Fang H B, Yuan H, Shi X C, Yang B, Chen Z Y, He W J, Guo Z J. A Novel Luminescent Ir(Ⅲ) Complex for Dual Mode Imaging: Synergistic Response to Hypoxia and Acidity of the Tumor Microenvironment[J]. Chem. Commun., 2020,56:8055-8058. doi: 10.1039/D0CC02328K

    12. [12]

      Huang H Y, Banerjee S, Qiu K Q, Zhang P Y, Blacque O, Malcomson T, Paterson M J, Clarkson G J, Staniforth M, Stavros V G, Gasser G, Chao H, Sadler P J. Targeted Photoredox Catalysis in Cancer Cells[J]. Nat. Chem., 2019,11:1041-1048. doi: 10.1038/s41557-019-0328-4

    13. [13]

      Gottschaldt M, Schubert U S. Prospects of Metal Complexes Peripherally Substituted with Sugars in Biomedicinal Applications[J]. Chem. Eur. J., 2009,15(7):1548-1557. doi: 10.1002/chem.200802013

    14. [14]

      Gottschaldt M, Schubert U S, Rau S, Yano S, Vos J G, Kroll T, Clement J, Hilger I. Sugar-Selective Enrichment of a D-Glucose-Substituted Ruthenium Bipyridyl Complex Inside HepG2 Cancer Cells[J]. ChemBioChem, 2010,11(5):649-652. doi: 10.1002/cbic.200900769

    15. [15]

      Gould S, Strouse G F, Meyer T J, Sullivan B P. Formation of Thin Polymeric Films by Electropolymerization. Reduction of Metal Complexes Containing Bromomethyl-Substituted Derivatives of 2, 2'-Bipyridine[J]. Inorg. Chem., 1991,30(14):2942-2949.  

    16. [16]

      Gottschaldt M, Koth D, Müller D, Klette I, Rau S, Görls H, Schäfer B, Baum R P, Yano S. Synthesis and Structure of Novel Sugar-Substituted Bipyridine Complexes of Rhenium and 99m-Technetium[J]. Chem. Eur. J., 2007,13(36):10273-10280. doi: 10.1002/chem.200700296

    17. [17]

      Tang H J, Li Y H, Wei C H, Chen B, Yang W, Wu H B, Cao Y. Novel Yellow Phosphorescent Iridium Complexes Containing a Carbazole-Oxadiazole Unit Used in Polymeric Light-Emitting Diodes[J]. Dyes Pigm., 2011,91(3):413-421. doi: 10.1016/j.dyepig.2011.04.005

    18. [18]

      Tao R, Qiao J, Zhang G L, Duan L, Wang L D, Qiu Y. Efficient Near-Infrared-Emitting Cationic Iridium Complexes as Dopants for OLEDs with Small Efficiency Roll-Off[J]. J. Phys. Chem. C, 2012,116(21):11658-11664. doi: 10.1021/jp301740c

    19. [19]

      Jin G X, Lu L G, Gao X Y, Li M J, Qiu B, Lin Z Y, Yang H H, Chen G N. Magnetic Graphene Oxide-Based Electrochemiluminescent Aptasensor for Thrombin[J]. Electrochim. Acta, 2013,89:13-17. doi: 10.1016/j.electacta.2012.10.155

    20. [20]

      Wang H L, Mu X J, Chen W D, Yi C Q, Fu F F, Li M J. An Ir (Ⅲ) Complex Capable of Discriminating Homocysteine from Cysteine and Glutathione with Luminescent Signal and Imaging Studies[J]. Talanta, 2021,221:121428-121433. doi: 10.1016/j.talanta.2020.121428

    21. [21]

      Waern J B, Desmarets C, Chamoreau L M, Amouri H, Barbieri A, Sabatini C, Ventura B, Barigelletti F. Luminescent Cyclometalated Rh(Ⅲ), Ir(Ⅲ), and (DIP)2Ru(Ⅱ) Complexes with Carboxylated Bipyridyl Ligands: Synthesis, X-ray Molecular Structure, and Photophysical Properties[J]. Inorg. Chem., 2008,47(8):3340-3348. doi: 10.1021/ic702327z

    22. [22]

      Lowry M S, Hudson W R, Pascal R A, Bernhard S. Accelerated Luminophore Discovery through Combinatorial Synthesis[J]. J. Am. Chem. Soc., 2004,126(43):14129-14135. doi: 10.1021/ja047156+

    23. [23]

      Tamayo A B, Garon S, Sajoto T, Djurovich P I, Tsyba I M, Bau R, Thompson M E. Cationic Bis-cyclometalated Iridium (Ⅲ) Diimine Complexes and Their Use in Efficient Blue, Green, and Red Electroluminescent Devices[J]. Inorg. Chem., 2005,44(24):8723-8732. doi: 10.1021/ic050970t

    24. [24]

      Maestri M, Balzani V, Deuschel-Cornioley C, Zelewsky A V. Photochemistry and Luminescence of Cyclometallated Complexes[J]. Adv. Photochem., 1992,17:1-68.

    25. [25]

      Griffiths P M, Loiseau F, Puntoriero F, Serroni S, Campagna S. New Luminescent and Redox-Active Homometallic Dinuclear Iridium(Ⅲ), Ruthenium (Ⅱ) and Osmium (Ⅱ) Complexes Prepared by Metal-Catalyzed Coupling Reactions[J]. Chem. Commun., 2000,23(23):2297-2298.  

    26. [26]

      Calogero G, Giuffrida G, Serroni S, Ricevuto V, Campagna S. Luminescence Properties, and Electrochemical Behavior of Cyclometalated Iridium(Ⅲ) and Rhodium(Ⅲ) Complexes with a Bis(pyridyl)triazole Ligand[J]. Inorg. Chem., 1995,34(3):541-545. doi: 10.1021/ic00107a004

    27. [27]

      Wilde A P, Watts R J. Solvent Effects on Metal-to-Ligand Charge-Transfer Bands in Ortho-metalated Complexes of Iridium (Ⅲ): Estimates of Transition Dipole Moments[J]. J. Phys. Chem., 1991,95(2):622-629. doi: 10.1021/j100155a025

    28. [28]

      Lo K W, Chan S W, Chung C K, Tsang V W H, Zhu N Y. Synthesis, Photophysical and Electrochemical Properties, and Biological Labelling Studies of Luminescent Cyclometallated Iridium (Ⅲ) Bipyridine-Aldehyde Complexes[J]. Inorg. Chim. Acta, 2004,357(10):3109-3118. doi: 10.1016/j.ica.2004.01.029

    29. [29]

      Caspar J V, Meyer T J. Photochemistry of Ru(bpy)32+: Solvent Effects[J]. J. Am. Chem. Soc., 1983,105:5583-5590. doi: 10.1021/ja00355a009

    30. [30]

      Puckett C A, Barton J K. Mechanism of Cellular Uptake of a Ruthenium Polypyridyl Complex[J]. Biochemistry, 2008,47(45):11711-11716. doi: 10.1021/bi800856t

    31. [31]

      Chen Y, Qiao L P, Ji L N, Chao H. Phosphorescent Iridium (Ⅲ) Complexes as Multicolor Probes for Specific Mitochondrial Imaging and Tracking[J]. Biomaterials, 2013,35(1):2-13.  

    32. [32]

      Li M J, Jiao P C, He W W, Yi C Q, Li C W, Chen X, Chen G N, Yang M S. Water-Soluble and Biocompatible Cyclometalated Iridium (Ⅲ) Complexes: Synthesis, Luminescence and Sensing Applicatio[J]. Eur. J. Inorg. Chem., 2011(2):5109-5118.  

  • 加载中
    1. [1]

      Xiaxue Chen Yuxuan Yang Ruolin Yang Yizhu Wang Hongyun Liu . Adjustable Polychromatic Fluorescence: Investigating the Photoluminescent Properties of Copper Nanoclusters. University Chemistry, 2024, 39(9): 328-337. doi: 10.3866/PKU.DXHX202308019

    2. [2]

      Ming ZHENGYixiao ZHANGJian YANGPengfei GUANXiudong LI . Energy storage and photoluminescence properties of Sm3+-doped Ba0.85Ca0.15Ti0.90Zr0.10O3 lead-free multifunctional ferroelectric ceramics. Chinese Journal of Inorganic Chemistry, 2024, 40(4): 686-692. doi: 10.11862/CJIC.20230388

    3. [3]

      Lin Song Dourong Wang Biao Zhang . Innovative Experimental Design and Research on Preparing Flexible Perovskite Fluorescent Gels Using 3D Printing. University Chemistry, 2024, 39(7): 337-344. doi: 10.3866/PKU.DXHX202310107

    4. [4]

      Yanting HUANGHua XIANGMei PAN . Construction and application of multi-component systems based on luminous copper nanoclusters. Chinese Journal of Inorganic Chemistry, 2024, 40(11): 2075-2090. doi: 10.11862/CJIC.20240196

    5. [5]

      Xinyuan Shi Chenyangjiang Changyu Zhai Xuemei Lu Jia Li Zhu Mao . Preparation and Photoelectric Performance Characterization of Perovskite CsPbBr3 Thin Films. University Chemistry, 2024, 39(6): 383-389. doi: 10.3866/PKU.DXHX202312019

    6. [6]

      Yue Wu Jun Li Bo Zhang Yan Yang Haibo Li Xian-Xi Zhang . Research on Kinetic and Thermodynamic Transformations of Organic-Inorganic Hybrid Materials for Fluorescent Anti-Counterfeiting Application information: Introducing a Comprehensive Chemistry Experiment. University Chemistry, 2024, 39(6): 390-399. doi: 10.3866/PKU.DXHX202403028

    7. [7]

      Jianjun Liu Xue Yang Chi Zhang Xueyu Zhao Zhiwei Zhang Yongmei Chen Qinghong Xu Shao Jin . Preparation and Fluorescence Characterization of CdTe Semiconductor Quantum Dots. University Chemistry, 2024, 39(7): 307-315. doi: 10.3866/PKU.DXHX202311031

    8. [8]

      Dongheng WANGSi LIShuangquan ZANG . Construction of chiral alkynyl silver chains and modulation of chiral optical properties. Chinese Journal of Inorganic Chemistry, 2025, 41(1): 131-140. doi: 10.11862/CJIC.20240379

    9. [9]

      Tianyun Chen Ruilin Xiao Xinsheng Gu Yunyi Shao Qiujun Lu . Synthesis, Crystal Structure, and Mechanoluminescence Properties of Lanthanide-Based Organometallic Complexes. University Chemistry, 2024, 39(5): 363-370. doi: 10.3866/PKU.DXHX202312017

    10. [10]

      Cheng Zheng Shiying Zheng Yanping Zhang Shoutian Zheng Qiaohua Wei . Synthesis, Copper Content Analysis, and Luminescent Performance Study of Binuclear Copper (I) Complexes with Isomeric Luminescence Shift: A Comprehensive Chemical Experiment Recommendation. University Chemistry, 2024, 39(7): 322-329. doi: 10.3866/PKU.DXHX202310131

    11. [11]

      Jiaxun Wu Mingde Li Li Dang . The R eaction of Metal Selenium Complexes with Olefins as a Tutorial Case Study for Analyzing Molecular Orbital Interaction Modes. University Chemistry, 2025, 40(3): 108-115. doi: 10.12461/PKU.DXHX202405098

    12. [12]

      Liang TANGJingfei NIKang XIAOXiangmei LIU . Synthesis and X-ray imaging application of lanthanide-organic complex-based scintillators. Chinese Journal of Inorganic Chemistry, 2024, 40(10): 1892-1902. doi: 10.11862/CJIC.20240139

    13. [13]

      Pengli GUANRenhu BAIXiuling SUNBin LIU . Trianiline-derived aggregation-induced emission luminogen probe for lipase detection and cell imaging. Chinese Journal of Inorganic Chemistry, 2025, 41(9): 1817-1826. doi: 10.11862/CJIC.20250058

    14. [14]

      Ke QIAOYanlin LIShengli HUANGGuoyu YANG . Advancements in asymmetric catalysis employing chiral iridium (ruthenium) complexes. Chinese Journal of Inorganic Chemistry, 2024, 40(11): 2091-2104. doi: 10.11862/CJIC.20240265

    15. [15]

      Qiaowen CHANGKe ZHANGGuangying HUANGNuonan LIWeiping LIUFuquan BAICaixian YANYangyang FENGChuan ZUO . Syntheses, structures, and photo-physical properties of iridium phosphorescent complexes with phenylpyridine derivatives bearing different substituting groups. Chinese Journal of Inorganic Chemistry, 2025, 41(2): 235-244. doi: 10.11862/CJIC.20240311

    16. [16]

      Cun WANGShaohan XUYuqian ZHANGYaoyao ZHANGTao GONGRong WENYuhang LIAOYanrong REN . Terbium complex electrochemiluminescent emitters: Synthesis and application in the detection of epinephrine. Chinese Journal of Inorganic Chemistry, 2025, 41(7): 1351-1360. doi: 10.11862/CJIC.20240427

    17. [17]

      Xuyu WANGXinran XIEDengke CAO . Photoreaction characteristics and luminescence modulation in phosphine-anthracene-based Au(Ⅰ) and Ir(Ⅲ) complexes. Chinese Journal of Inorganic Chemistry, 2025, 41(8): 1513-1522. doi: 10.11862/CJIC.20250113

    18. [18]

      Hanxue LIUShijie LIMeng RENXuling XUEHongke LIU . Design and antitumor properties of dehydroabietic acid functionalized cyclometalated iridium(Ⅲ) complex. Chinese Journal of Inorganic Chemistry, 2025, 41(8): 1483-1494. doi: 10.11862/CJIC.20250031

    19. [19]

      Renyi ShaoKhurram AbbasVladimir Yu. OsipovHaimei ZhuYuan LiUsamaHong Bi . Red-emitting carbon dots prepared from Epipremnum Aureum leaves extract for biological imaging. Acta Physico-Chimica Sinica, 2026, 42(2): 100134-0. doi: 10.1016/j.actphy.2025.100134

    20. [20]

      Wenjing ZHANGXiaoqing WANGZhipeng LIU . Recent developments of inorganic metal complex-based photothermal materials and their applications in photothermal therapy. Chinese Journal of Inorganic Chemistry, 2024, 40(12): 2356-2372. doi: 10.11862/CJIC.20240254

Metrics
  • PDF Downloads(7)
  • Abstract views(2633)
  • HTML views(426)

通讯作者: 陈斌, bchen63@163.com
  • 1. 

    沈阳化工大学材料科学与工程学院 沈阳 110142

  1. 本站搜索
  2. 百度学术搜索
  3. 万方数据库搜索
  4. CNKI搜索
Address:Zhongguancun North First Street 2,100190 Beijing, PR China Tel: +86-010-82449177-888
Powered By info@rhhz.net

/

DownLoad:  Full-Size Img  PowerPoint
Return