Citation: DUAN Hai-Chao, YI Ping-Gui, YU Xian-Yong, LI Xiao-Fang, LIU Wu, SU Jian. Synthesis, Crystal Structure and Density Functional Theoretical Study of 1, 3, 5, 7-Tetramethyl-4, 4-difluoro-4-bora-3a, 4a-diaza-s-indacene[J]. Chinese Journal of Inorganic Chemistry, ;2017, 33(12): 2201-2207. doi: 10.11862/CJIC.2017.271 shu

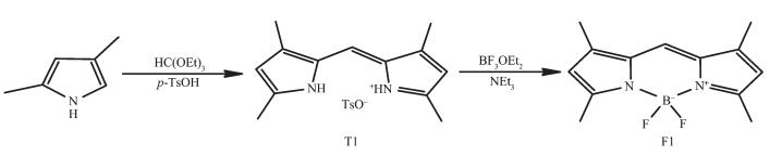
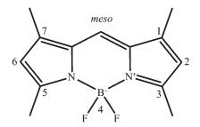
Synthesis, Crystal Structure and Density Functional Theoretical Study of 1, 3, 5, 7-Tetramethyl-4, 4-difluoro-4-bora-3a, 4a-diaza-s-indacene

  • Corresponding author: YI Ping-Gui, pgyi@hnust.edu.cn
  • Received Date: 15 May 2017
    Revised Date: 11 September 2017

Figures(11)

Metrics
  • PDF Downloads(5)
  • Abstract views(1085)
  • HTML views(235)

通讯作者: 陈斌, bchen63@163.com
  • 1. 

    沈阳化工大学材料科学与工程学院 沈阳 110142

  1. 本站搜索
  2. 百度学术搜索
  3. 万方数据库搜索
  4. CNKI搜索
Address:Zhongguancun North First Street 2,100190 Beijing, PR China Tel: +86-010-82449177-888
Powered By info@rhhz.net

/

DownLoad:  Full-Size Img  PowerPoint
Return