Citation: WU Jian-bing, ZHANG Xiao-yan, SUN Ze-ping, LI Hai-tao, ZHOU Wei, ZHAO Yong-xiang. Effect of NaOH content for the properties of HZSM-5 zeolites and its catalytic performance on gas phase carbonylation of dimethoxymethane[J]. Journal of Fuel Chemistry and Technology, ;2019, 47(10): 1226-1234. shu

Effect of NaOH content for the properties of HZSM-5 zeolites and its catalytic performance on gas phase carbonylation of dimethoxymethane

  • Corresponding author: WU Jian-bing, wujianbing@sxu.edu.cn ZHAO Yong-xiang, yxzhao@sxu.edu.cn
  • Received Date: 25 July 2019
    Revised Date: 28 August 2019

    Fund Project: the National Natural Science Foundation of China 21703127The project was supported by the National Natural Science Foundation of China (21703127)

Figures(9)

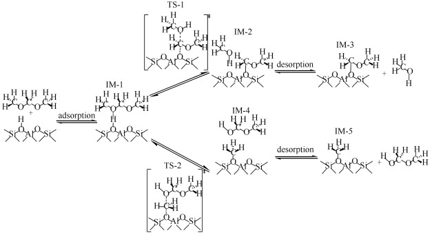
  • A series of ZSM-5 zeolites were prepared by changing the NaOH content, and their catalytic performance on the vapor-phase carbonylation of dimethoxymethane (DMM) to synthesize methyl methoxyacetate (MMAc) was investigated detailedly. The results indicate that the ZSM-5 zeolite prepared under the 0.81% NaOH content shows the best catalytic performance. Various characterization results, including BET, 27Al NMR, NH3-TPD and Py-FTIR, illustrate that medium-strong Brønsted acid sites and mesoporous volume are the chief factors in promoting carbonylation of DMM over ZSM-5 zeolite, which can be effectively regulated by changing NaOH content. The increase of medium-strong Brønsted acid sites can improve DMM conversion by providing more active acid sites; the introduction of mesoporous can increase MMAc selectivity by shortening the product diffusion path, weakening steric constraint of pore walls and suppressing parts of side reactions. Density functional theory was further carried out to study the interaction between DMM and ZSM-5 zeolite. The calculated results find that intermediate species ZOCH2OCH3 is formed firstly during DMM decomposition. Based on this, a possible formation mechanism of MMAc was then proposed.
  • 加载中
    1. [1]

      CELIK F E, KIM T J, MLINAR A N, BELL A T. An investigation into the mechanism and kinetics of dimethoxymethane carbonylation over FAU and MFI zeolites[J]. J Catal, 2010,274(2):150-162. doi: 10.1016/j.jcat.2010.06.015

    2. [2]

      SHI Lei, YAO Jie, ZHU Wen-liang, LIU Zhong-min. Efficient sulfonic acid resin catalysts for carbonylation of dimethoxymethane to value-added methyl methoxyacetate[J]. CIESC J, 2017,68(10):3739-3746.  

    3. [3]

      SHEN Xin-quan, LIU Hong-zhong, GAO Zhi-xian, WU Man-jiang Eli. Synthesis of methy methoxy acetate from methylal and formic acid[J]. Nat Gas Chem Ind, 2012,37(6):37-39. doi: 10.3969/j.issn.1001-9219.2012.06.009

    4. [4]

      DU Bi-lin, CHU Wei, YU Zuo-long. Synthesis of methyl glycolate by coupling of methyl formate with trioxane*Ⅱ. Effect of sulfuric acid and metal carbonyl compound on yield[J]. Nat Gas Chem Ind, 1998,23(3):34-36.

    5. [5]

      HE De-hua, HUANG Wei-guo, LIU Jing-yao. Method for simultaneously synthesizing glycolic acid methyl ester and methoxyacetic acid methyl ester: CN, 1180067A[P]. 2001-01-10.

    6. [6]

      HE D H, HUANG W G, LIU J Y. The activity of H4SiW12O40 for the coupling of formaldehyde and methyl formate to methyl glycolate and methyl methoxy acetate[J]. J Mol Catal A:Chem, 1999,145:335-338. doi: 10.1016/S1381-1169(99)00166-1

    7. [7]

      LIU S P, ZHU W L, SHI L, LIU H C, LIU Y, NI Y M, LI L N, ZHOU H, XU S T, HE Y L, LIU Z M. A highly efficient Nafion-H catalyst for vapour phase carbonylation of dimethoxymethane[J]. RSC, 2014,4(77):40999-41002.  

    8. [8]

      LIU S P, ZHU W L, SHI L, LIU H C, LIU Y, NI Y M, LI L N, ZHOU H, XU S T, HE Y L, LIU Z M. Activity enhancement of Nafion resin:Vapor-phase carbonylation of dimethoxymethane over Nafion-silica composite[J]. Appl Catal A:Gen, 2015,497:153-159. doi: 10.1016/j.apcata.2015.03.010

    9. [9]

      BADMAEV S D, POTEMIN D I, PECHENKIN A A, VOLKOVA G G, SOBYANIN V A, PAMON A V N. Gas-phase carbonylation of dimethoxymethane to methyl methoxyacetate over the Cs2.5H0.5PW12O40 catalyst[J]. Dokl Phys Che, 2016,468(2):85-88.  

    10. [10]

      CELIK F E, KIM T J, BELL A T. Vapor-phase carbonylation of dimethoxymethane over H-Faujasite[J]. Angew Chem Int Ed, 2009,48(26):4813-4815. doi: 10.1002/anie.200900464

    11. [11]

      CELIK F E, KIM T J, BELL A T. Effect of zeolite framework type and Si/Al ratio on dimethoxymethane carbonylation[J]. J Catal, 2010,270(1):185-195.  

    12. [12]

      CHEUG P, BHAN A, SUNLEY G J, IGLESIA E. Selective carbonylation of dimethyl ether to methyl acetate catalyzed by acidic zeolites[J]. Angew Chem Int Ed, 2006,45:1617-1620. doi: 10.1002/anie.200503898

    13. [13]

      BARRI S A I, CHADWICK D. Carbonylation of formaldehyde with zeolite catalysts[J]. Catal Lett, 2011,141:749-753. doi: 10.1007/s10562-011-0616-0

    14. [14]

      REDDY J K, MOTOKURA K, KOYAMA T, MIYAJI A, BABA T. Effect of morphology and particle size of ZSM-5 on catalytic performance for ethylene conversion and heptane cracking[J]. J Catal, 2012,289:53-61. doi: 10.1016/j.jcat.2012.01.014

    15. [15]

      KIM J, CHOI M, RYONG R. Effect of mesoporosity against the deactivation of MFI zeolite catalyst during the methanol-to-hydrocarbon conversion process[J]. J Catal, 2010,269(1):219-228. doi: 10.1016/j.jcat.2009.11.009

    16. [16]

      YOKOI T, MOCHIZUKI H, NAMBA S, KONDO J K, TASUMI T. Control of the Al distribution in the framework of ZSM-5 zeolite and its evaluation by solid-state NMR technique and catalytic properties[J]. J Phys Chem C, 2015,119:15303-15315. doi: 10.1021/acs.jpcc.5b03289

    17. [17]

      LIANG T Y, CHEN J L, QIN Z F, LI J F, WANG P F, WANG S, WANG G F, DONG M, FAN W B, WANG J G. Conversion of methanol to olefins over H-ZSM-5 zeolite:Reaction pathway is related to the framework aluminum siting[J]. ACS Catal, 2016,6(11):7311-7325. doi: 10.1021/acscatal.6b01771

    18. [18]

      FRISCH M L, TRUCKS G W, SCHLEGEL H B, et al. Gaussian 09[CP]. Revision A.02, Gaussian Inc: allingford, CT, 2009.

    19. [19]

      RAVISHANKAR R, KIRSCHHOCKC , SCHOEMANB J, VANOPPENP , GROBETP J, STORCK S, MAIER W F, MARTENS J A, SCHRYVER F C D, JACOBS P A. Physicochemical characterization of silicalite-1 nanophase material[J]. J Phys Chem B, 1998,102:2633-2639. doi: 10.1021/jp973147u

    20. [20]

      PAN Wen-ya, HUANG Liang, QIN Feng, ZHUANG Yan, LI Xue-mei, MA Jian-xue, SHEN Wei, XU Hua-long. Regulation of pore structure and acidity of a ZSM-5 catalyst for dehydration of glycerol to Acrolein[J]. Acta Phys-Chim Sin, 2015,31(5):965-972.  

    21. [21]

      GROEN J C, ZHUW D, BROUWER S, HUYNINK S J, KAPTEIJIN F, MOULIJN J A, PEREZ-RAMIREZ J. Direct demonstration of enhanced diffusion in mesoporous ZSM-5 zeolite obtained via controlled desilication[J]. J Am Chem Soc, 2007,129(2):355-360. doi: 10.1021/ja065737o

    22. [22]

      KLINOWSKI J. Solid-state NMR studies of molecular sieve catalysts[J]. Chem Rev, 1991,91:1459-1479. doi: 10.1021/cr00007a010

    23. [23]

      XU T, ZHANG Q H, SONG H, WANG Y. Fluoride-treated H-ZSM-5 as a highly selective and stable catalyst for the production of propylene from methyl halides[J]. J Catal, 2012,295:232-241. doi: 10.1016/j.jcat.2012.08.014

    24. [24]

      PONCELET G, DUBRU M L. An infrared study of surface acidity of germanic near-faujasite zeolite by pyridine adsorption[J]. J Catal, 1978,52:321-331. doi: 10.1016/0021-9517(78)90146-X

    25. [25]

      ANDRES G T, AGUSTIN M. Direct synthesis of DME from syngas on hybrid Cu-Zn-Al/ZSM-5 catalysts:New insights into the role of zeolite acidity[J]. Appl Catal A:Gen, 2012,411-412:170-179. doi: 10.1016/j.apcata.2011.10.036

    26. [26]

      DING X, GENG S, LI C Y, YANG C H, WANG G H. Effect of acid density of HZSM-5 on the oligomerization of ethylene in FCC dry gas[J]. J Nat Gas Chem, 2009,18:156-160. doi: 10.1016/S1003-9953(08)60100-0

    27. [27]

      CHESTER A W, DEROUANE E G. Zeolites Characterization and Catalysis:A Tutorial[M]. Springer-Verlag New York Inc:New York, 2009:358-365.

    28. [28]

      LIETZ G, SCHNABEL K H, PEUKER C., GROSS T, STOREK W, VOLTER J. Modifications of H-ZSM-5 Catalysts by NaOH Treatment[J]. J Catal, 1994,148:562-568. doi: 10.1006/jcat.1994.1242

  • 加载中
    1. [1]

      Ping Song Nan Zhang Jie Wang Rui Yan Zhiqiang Wang Yingxue Jin . Experimental Teaching Design on Synthesis and Antitumor Activity Study of Cu-Pyropheophorbide-a Methyl Ester. University Chemistry, 2024, 39(6): 278-286. doi: 10.3866/PKU.DXHX202310087

    2. [2]

      Yajin LiHuimin LiuLan MaJiaxiong LiuDehua He . Photothermal Synthesis of Glycerol Carbonate via Glycerol Carbonylation with CO2 over Au/Co3O4-ZnO Catalyst. Acta Physico-Chimica Sinica, 2024, 40(9): 2308005-0. doi: 10.3866/PKU.WHXB202308005

    3. [3]

      Jingzhao ChengShiyu GaoBei ChengKai YangWang WangShaowen Cao . Construction of 4-Amino-1H-imidazole-5-carbonitrile Modified Carbon Nitride-Based Donor-Acceptor Photocatalyst for Efficient Photocatalytic Hydrogen Evolution. Acta Physico-Chimica Sinica, 2024, 40(11): 2406026-0. doi: 10.3866/PKU.WHXB202406026

    4. [4]

      Liangzhen Hu Li Ni Ziyi Liu Xiaohui Zhang Bo Qin Yan Xiong . A Green Chemistry Experiment on Electrochemical Synthesis of Benzophenone. University Chemistry, 2024, 39(6): 350-356. doi: 10.3866/PKU.DXHX202312001

    5. [5]

      Yujia LITianyu WANGFuxue WANGChongchen WANG . Direct Z-scheme MIL-100(Fe)/BiOBr heterojunctions: Construction and photo-Fenton degradation for sulfamethoxazole. Chinese Journal of Inorganic Chemistry, 2024, 40(3): 481-495. doi: 10.11862/CJIC.20230314

    6. [6]

      Bing LIUHuang ZHANGHongliang HANChangwen HUYinglei ZHANG . Visible light degradation of methylene blue from water by triangle Au@TiO2 mesoporous catalyst. Chinese Journal of Inorganic Chemistry, 2024, 40(5): 941-952. doi: 10.11862/CJIC.20230398

    7. [7]

      Tao Cao Fang Fang Nianguang Li Yinan Zhang Qichen Zhan . Green Synthesis of p-Hydroxybenzonitrile Catalyzed by Spinach Extracts under Red-Light Irradiation: Research and Exploration of Innovative Experiments for Pharmacy Undergraduates. University Chemistry, 2024, 39(5): 63-69. doi: 10.3866/PKU.DXHX202309098

    8. [8]

      Yinuo Wang Siran Wang Yilong Zhao Dazhen Xu . Selective Synthesis of Diarylmethyl Anilines and Triarylmethanes via Multicomponent Reactions: Introduce a Comprehensive Experiment of Organic Chemistry. University Chemistry, 2024, 39(8): 324-330. doi: 10.3866/PKU.DXHX202401063

    9. [9]

      Zhuoming Liang Ming Chen Zhiwen Zheng Kai Chen . Multidimensional Studies on Ketone-Enol Tautomerism of 1,3-Diketones By 1H NMR. University Chemistry, 2024, 39(7): 361-367. doi: 10.3866/PKU.DXHX202311029

    10. [10]

      Shuying Zhu Shuting Wu Ou Zheng . Improvement and Expansion of the Experiment for Determining the Rate Constant of the Saponification Reaction of Ethyl Acetate. University Chemistry, 2024, 39(4): 107-113. doi: 10.3866/PKU.DXHX202310117

    11. [11]

      Ruitong Zhang Zhiqiang Zeng Xiaoguang Zhang . Improvement of Ethyl Acetate Saponification Reaction and Iodine Clock Reaction Experiments. University Chemistry, 2024, 39(8): 197-203. doi: 10.3866/PKU.DXHX202312004

    12. [12]

      Jiaojiao Yu Bo Sun Na Li Cong Wen Wei Li . Improvement of Classical Organic Experiment Based on the “Reverse-Step Optimization Method”: Taking Synthesis of Ethyl Acetate as an Example. University Chemistry, 2025, 40(3): 333-341. doi: 10.12461/PKU.DXHX202405177

    13. [13]

      Xiaoyang Li Xiaowei Huang Yimeng Zhang Huan Liu Shao Jin Junpeng Zhuang . Comprehensive Chemical Experiments on the Synthesis of 1,3-Dibromo-5,5-Dimethylhydantoin and Its Application as a Brominating Reagent. University Chemistry, 2025, 40(7): 286-293. doi: 10.12461/PKU.DXHX202408035

    14. [14]

      Yue Zhao Yanfei Li Tao Xiong . Copper Hydride-Catalyzed Nucleophilic Additions of Unsaturated Hydrocarbons to Aldehydes and Ketones. University Chemistry, 2024, 39(4): 280-285. doi: 10.3866/PKU.DXHX202309001

    15. [15]

      Jie Li Huida Qian Deyang Pan Wenjing Wang Daliang Zhu Zhongxue Fang . Efficient Synthesis of Anethaldehyde Induced by Visible Light. University Chemistry, 2024, 39(4): 343-350. doi: 10.3866/PKU.DXHX202310076

    16. [16]

      Chi Li Jichao Wan Qiyu Long Hui Lv Ying XiongN-Heterocyclic Carbene (NHC)-Catalyzed Amidation of Aldehydes with Nitroso Compounds. University Chemistry, 2024, 39(5): 388-395. doi: 10.3866/PKU.DXHX202312016

    17. [17]

      Guowen Xing Guangjian Liu Le Chang . Five Types of Reactions of Carbonyl Oxonium Intermediates in University Organic Chemistry Teaching. University Chemistry, 2025, 40(4): 282-290. doi: 10.12461/PKU.DXHX202407058

    18. [18]

      Ruoxi RUNJikai ZHULixia HANZhiyin XIAOXiujuan JIANGJing JIN . Red light-induced CO-release from manganese carbonyl complexes. Chinese Journal of Inorganic Chemistry, 2025, 41(12): 2575-2583. doi: 10.11862/CJIC.20250132

    19. [19]

      Zixuan Zhao Miao Fan . “Carbon” with No “Ester”: A Boundless Journey of CO2 Transformation. University Chemistry, 2025, 40(7): 213-217. doi: 10.12461/PKU.DXHX202409040

    20. [20]

      Yanyang Li Zongpei Zhang Kai Li Shuangquan Zang . Ideological and Political Design for the Comprehensive Experiment of the Synthesis and Aggregation-Induced Emission (AIE) Performance Study of Salicylaldehyde Schiff-Base. University Chemistry, 2024, 39(2): 105-109. doi: 10.3866/PKU.DXHX202307020

Metrics
  • PDF Downloads(9)
  • Abstract views(1933)
  • HTML views(177)

通讯作者: 陈斌, bchen63@163.com
  • 1. 

    沈阳化工大学材料科学与工程学院 沈阳 110142

  1. 本站搜索
  2. 百度学术搜索
  3. 万方数据库搜索
  4. CNKI搜索
Address:Zhongguancun North First Street 2,100190 Beijing, PR China Tel: +86-010-82449177-888
Powered By info@rhhz.net

/

DownLoad:  Full-Size Img  PowerPoint
Return