Preparation and characterization of colloidal dispersions of graphene-like structures from different ranks of coals
- Corresponding author: Savitskii D. P., den.83@mail.ru
Citation:
Savitskii D. P.. Preparation and characterization of colloidal dispersions of graphene-like structures from different ranks of coals[J]. Journal of Fuel Chemistry and Technology,
;2017, 45(8): 897-907.
RAO C N R, SOOD A K. Graphene: Synthesis, Properties, and Phenomena[M]. Wiley, 2012.
ZHAO J, LIU L, LI F. Graphene Oxide: Physics and Applications[M]. Springer, 2015.
HU Y, LI F, HAN D, LI N. Biocompatible Graphene for Bioanalytical[M]. Springer, 2015.
GEOGARKILAS V, TIWARI J N, KEMP KC, PERMAN J A, BOURLINOS A B, KIM K S, ZBORIL R. Noncovalent functionalization of graphene and graphene oxide for energy materials, biosensing, catalytic, and diomedical applications[J]. Chem Rev, 2016,116(9):5464-5519. doi: 10.1021/acs.chemrev.5b00620
KUILAA T, BOSEA S, MISHRAB A K, KHANRAA P, HOON K N, LEE J H. Chemical functionalization of graphene and its applications[J]. Prog Mater Sci, 2012,57(7):1061-1105. doi: 10.1016/j.pmatsci.2012.03.002
GRAYFER E D, MAKOTCHENKO V G, NAZAROV A S, KIM S J, FEDOROV V E. Graphene: chemical approaches to the synthesis and modification[J]. Russ Chem Rev, 2011,80(8):751-770. doi: 10.1070/RC2011v080n08ABEH004181
BOEHM H P. Surface oxides on carbon and their analysis: A critical assessment[J]. Carbon, 2002,40(2):145-149. doi: 10.1016/S0008-6223(01)00165-8
BOTAS C, A'LVAREZ P, BLANCO C. The effect of the parent graphite on the structure of graphene oxide[J]. Carbon, 2012,50(1):275-282. doi: 10.1016/j.carbon.2011.08.045
POTTS J R, DREYER D R, BIELAWSKI C W, RUOFF R S. Graphene-based polymer nanocomposites[J]. Polymer, 2011,52(1):5-25. doi: 10.1016/j.polymer.2010.11.042
JOHNSON D W, DOBSON B P, COLEMAN K S. A manufacturing perspective on graphene dispersions[J]. Curr Opin Colloid In, 2015,20(5/6):367-382.
REHBINDER P A, IZBRANNYE T. Poverhnostnye Yavleniya v Dispersnyh Sistemah[M]. Moscow: Nauka, 1978.
MORARU V, LEBOVKA N, SHEVCHENKO D. Structural transitions in aqueous suspensions of natural graphite[J]. Colloids and Surf A, 2004,242(1/3):181-187.
NAPPER D H. Polymeric Stabilization of Volloidal Dispersions[M]. Academic Press Incorp, 1983.
MATHEWS J P, CHAFFEE A L. The molecular representations of coal-A review[J]. Fuel, 2012,96(1):1-14.
FEDYAEVA O N, PATRAKOV Y F. The structure and properties of fragments of coal organic matter[J]. Solid Fuel Chem, 2004,5:21-27.
van KREVELEN D W. Coal: Typology, Chemistry, Physics, Constitution[M]. Elsevier, 1961.
RUDAKOV E S, SAPUNOV V A, KUCHERENKO V A. The mechanism of oxidation high level metamorphism coal with gas phase nitric acid[J]. Solid Fuel Chem, 1991,2:41-48.
FORSMAN W C, VOGEL F L, CARL D E, HOFFMAN J. Chemistry of graphite intercalation by nitric acid[J]. Carbon, 1978,16(4):269-271. doi: 10.1016/0008-6223(78)90040-4
Wenhao Feng , Chunli Liu , Zheng Liu , Huan Pang . In-situ growth of N-doped graphene-like carbon/MOF nanocomposites for high-performance supercapacitor. Chinese Chemical Letters, 2024, 35(12): 109552-. doi: 10.1016/j.cclet.2024.109552
Bei Li , Zhaoke Zheng . In situ monitoring of the spatial distribution of oxygen vacancies at the single-particle level. Chinese Journal of Structural Chemistry, 2024, 43(10): 100331-100331. doi: 10.1016/j.cjsc.2024.100331
Haijiao Liu , Qiao Feng , Yu Huang , Feng Wu , Yali Liu , Minxia Shen , Xiao Guo , Wenting Dai , Weining Qi , Yifan Zhang , Lu Li , Qiyuan Wang , Bianhong Zhou , Jianjun Li . Composition and size distribution of wintertime inorganic aerosols at ground and alpine regions of northwest China. Chinese Chemical Letters, 2024, 35(11): 109636-. doi: 10.1016/j.cclet.2024.109636
Siyu Cao , Yufei Shu , Li Wang , Qi Han , Meng Zhang , Mengxia Wang , How Yong Ng , Zhongying Wang . Controlling nanomaterial distribution and aggregation in thin-film nanocomposite membranes: Role of substrate pore's relative size with nanomaterials. Chinese Chemical Letters, 2025, 36(10): 110793-. doi: 10.1016/j.cclet.2024.110793
Kai Han , Guohui Dong , Ishaaq Saeed , Tingting Dong , Chenyang Xiao . Morphology and photocatalytic tetracycline degradation of g-C3N4 optimized by the coal gangue. Chinese Journal of Structural Chemistry, 2024, 43(2): 100208-100208. doi: 10.1016/j.cjsc.2023.100208
Junhua Wang , Xin Lian , Xichuan Cao , Qiao Zhao , Baiyan Li , Xian-He Bu . Dual polarization strategy to enhance CH4 uptake in covalent organic frameworks for coal-bed methane purification. Chinese Chemical Letters, 2024, 35(8): 109180-. doi: 10.1016/j.cclet.2023.109180
Sanmei Wang , Yong Zhou , Hengxin Fang , Chunyang Nie , Chang Q Sun , Biao Wang . Constant-potential simulation of electrocatalytic N2 reduction over atomic metal-N-graphene catalysts. Chinese Chemical Letters, 2025, 36(3): 110476-. doi: 10.1016/j.cclet.2024.110476
Yujuan Zhou , Jie Yang . Exploring the potential and challenges of molecular-squeeze adsorption in sponge-like crystals. Chinese Chemical Letters, 2025, 36(6): 111004-. doi: 10.1016/j.cclet.2025.111004
Ying Xu , Chengying Shen , Hailong Yuan , Wei Wu . Mapping multiple phases in curcumin binary solid dispersions by fluorescence contrasting. Chinese Chemical Letters, 2024, 35(9): 109324-. doi: 10.1016/j.cclet.2023.109324
Yaping ZHANG , Tongchen WU , Yun ZHENG , Bizhou LIN . Z-scheme heterojunction β-Bi2O3 pillared CoAl layered double hydroxide nanohybrid: Fabrication and photocatalytic degradation property. Chinese Journal of Inorganic Chemistry, 2025, 41(3): 531-539. doi: 10.11862/CJIC.20240256
Jia-Li Xie , Tian-Jin Xie , Yu-Jie Luo , Kai Mao , Cheng-Zhi Huang , Yuan-Fang Li , Shu-Jun Zhen . Octopus-like DNA nanostructure coupled with graphene oxide enhanced fluorescence anisotropy for hepatitis B virus DNA detection. Chinese Chemical Letters, 2024, 35(6): 109137-. doi: 10.1016/j.cclet.2023.109137
Siyuan You , Rui Li , Haoyun Lu , Lifei Hou , Xing Xu , Yanan Shang . Modulation of the structures and properties of iron-carbon composites by different small molecular carbon sources for Fenton-like reactions. Chinese Chemical Letters, 2025, 36(9): 110955-. doi: 10.1016/j.cclet.2025.110955
Haoting Wang , Mengfan Luo , Yuzhong Wang , Jialong Yin , Heng Zhang , Jia Zhao , Bo Lai . Mn(Ⅱ) enhanced permanganate oxidation of trace organic pollutants in water: Critical role of in situ formation of colloidal MnO2. Chinese Chemical Letters, 2025, 36(6): 110348-. doi: 10.1016/j.cclet.2024.110348
Jie Wu , Xiaoqing Yu , Guoxing Li , Su Chen . Engineering particles towards 3D supraballs-based passive cooling via grafting CDs onto colloidal photonic crystals. Chinese Chemical Letters, 2024, 35(4): 109234-. doi: 10.1016/j.cclet.2023.109234
Bingwei Wang , Yihong Ding , Xiao Tian . Benchmarking model chemistry composite calculations for vertical ionization potential of molecular systems. Chinese Chemical Letters, 2025, 36(2): 109721-. doi: 10.1016/j.cclet.2024.109721
Yinghui Xia , Yixi Lin , Zhenming Xu . Cation potential guiding structural regulation of lithium halide superionic conductors. Chinese Journal of Structural Chemistry, 2025, 44(3): 100448-100448. doi: 10.1016/j.cjsc.2024.100448
Changxing Yang , Guxia Wang , Shengwei Guo , Jianlin Sun . Potential and progress of two-dimensional nanomaterials in oil-based lubrication. Chinese Chemical Letters, 2025, 36(9): 111178-. doi: 10.1016/j.cclet.2025.111178
Mengxiang Zhu , Tao Ding , Yunzhang Li , Yuanjie Peng , Ruiping Liu , Quan Zou , Leilei Yang , Shenglei Sun , Pin Zhou , Guosheng Shi , Dongting Yue . Graphene controlled solid-state growth of oxygen vacancies riched V2O5 catalyst to highly activate Fenton-like reaction. Chinese Chemical Letters, 2024, 35(12): 109833-. doi: 10.1016/j.cclet.2024.109833
Ning Liu , Man Tian , Ye Zhang , Jinming Yang , Zhihao Wang , Wangxi Dai , Guixiang Quan , Jianqiu Lei , Xiaodong Zhang , Liang Tang . Three-dimensional MIL-88A(Fe)-derived α-Fe2O3 and graphene composite for efficient photo-Fenton-like degradation of ciprofloxacin. Chinese Chemical Letters, 2025, 36(12): 111063-. doi: 10.1016/j.cclet.2025.111063
Bing Niu , Honggao Huang , Liwei Luo , Li Zhang , Jianbo Tan . Coating colloidal particles with a well-defined polymer layer by surface-initiated photoinduced polymerization-induced self-assembly and the subsequent seeded polymerization. Chinese Chemical Letters, 2025, 36(2): 110431-. doi: 10.1016/j.cclet.2024.110431
(a): coal B, (b): coal G, (c): coal T, (d): coal A
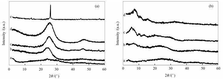
a: coal B; b: coal G; c: coal T; d: coal A; e: graphite
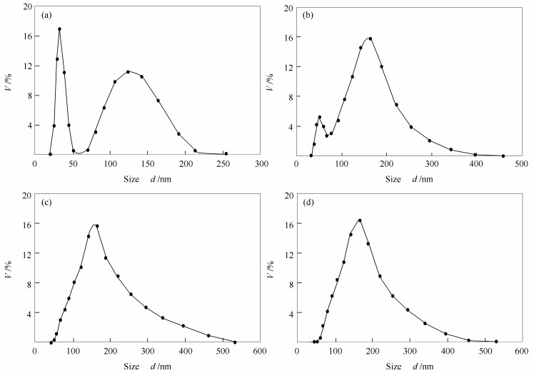
(a): coal B; (b): coal G; (c): coal T; (d): coal A
(a): coal B; (b): coal G; (c): coal T; (d): coal A
(a): coal B; (b): coal G; (c): coal T; (d): coal A
(a): coal B; (b): coal G; (c): coal T; (d): coal A