Citation: LEI Zhao, YANG Ding, ZHANG Yun-he, CUI Ping. Constructions of coal and char molecular models based on the molecular simulation technology[J]. Journal of Fuel Chemistry and Technology, ;2017, 45(7): 769-779. shu

Constructions of coal and char molecular models based on the molecular simulation technology

  • Corresponding author: CUI Ping, mhgcp@126.com
  • Received Date: 18 January 2017
    Revised Date: 27 April 2017

    Fund Project: the National Natural Science Foundation of China 21476001the Open Fund of Shaanxi Key Laboratory of Energy Chemical Process Intensification SXECPI201601Key Project of Anhui Provincial Department of Education KJ2017A045

Figures(14)

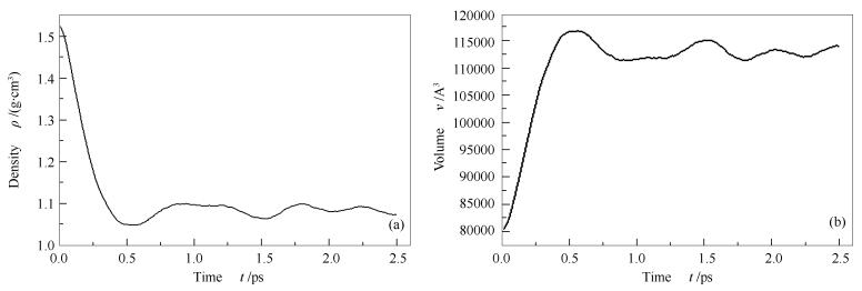
  • Coal and char are essential energy sources for the process industry. Insightful understanding of those molecules is useful to explore reactivities of coal and char. Therefore, coal and char molecular structures were investigated at atomic level using Materials Studio 7.0 software. Firstly, coal and char initial structures were constructed based on reported literatures. Secondly, those structures were improved by molecular mechanics, where functional group fragments were added to satisfy the property of coal or char. Then, the subsequent structures were optimized by annealing dynamics simulation to adjust density and elementary composition. Finally, the potential energies of coal and char were calculated using energy minimization method. It was pointed out that the estimated densities and elementary composition were agreements with the published literatures, which indicated that those structures were valid and reasonable. From the simulated results, it was shown that the Coulomb energy and van der Waals energy played a much more important role than other energies during the stabilizing molecular construction process. Thus, it was inferred that the weak bond was predominant in the thermal processing of coal or char. In addition, this work demonstrated that the molecular simulation technology was meaningful to construct the complex macromolecular structure.
  • 加载中
    1. [1]

      World Coal Association, Annual Energy Report[EB/OL]. http://www.worldcoal.org/coal/, (accessed 2011).

    2. [2]

      China Analysis Report. U. S. Energy Information Administration (EIA)[EB/OL]. http://www.eia.gov/countries/cab.cfm?fips=CH, (accessed March 28, 2013).

    3. [3]

      FLETCHER T H, SOLUM M S, GRANT D M, PUGMIRE R J. Chemical structure of char in the transition from devolatilization to combustion[J]. Energy Fuels, 1992,6(5):643-650. doi: 10.1021/ef00035a016

    4. [4]

      YU J L, LUCAS J A, WALL T F. Formation of the structure of chars during devolatilization of pulverized coal and its thermoproperties:A review[J]. Prog Energy Combust Sci, 2007,33(2):135-170. doi: 10.1016/j.pecs.2006.07.003

    5. [5]

      ZENG D, FLETCHER T H. Effects of pressure on coal pyrolysis and char morphology[J]. Energy Fuels, 2005,19(5):1828-1838. doi: 10.1021/ef0500078

    6. [6]

      LU L M, SAHAJWALLA V, HARRIS D. Characteristics of chars prepared from various pulverized coals at different temperatures using drop-tube furnace[J]. Energy Fuels, 2000,14(4):869-876. doi: 10.1021/ef990236s

    7. [7]

      YOSHIZAWA N, MARUYAMAMA K, YAMASHITA T, AKIMOTO A. Dependence of microscopic structure and swelling property of DTF chars upon heat-treatment temperature[J]. Fuel, 2006,85(14):2064-2070.  

    8. [8]

      KIDENA K, MATSUMOTO K, KATSUYAMA M, MURATA S, NOMURA M. Development of aromatic ring size in bituminous coals during heat treatment in the plastic temperature range[J]. Fuel Process Technol, 2004,85(8):827-835.  

    9. [9]

      KULAOTS I, HSU A, SUUBERG E M. The role of porosity in char combustion[J]. Proc Combust Inst, 2007,31(2):1897-1903. doi: 10.1016/j.proci.2006.08.004

    10. [10]

      MATSUOKA K, AKAHANE T, ASO H, SHARMA A, TOMITA A. The size of polyaromatic layer of coal char estimated from elemental analysis data[J]. Fuel, 2008,87(4):539-545.  

    11. [11]

      DAVIS K A, HURT R H, YANG N Y C, HEADLEY T J. Evolution of char chemistry, crystallinity, and ultrafine structure during pulverized-coal combustion[J]. Combust Flame, 1995,100(1):31-40.  

    12. [12]

      SHENG C. Char structure characterised by Raman spectroscopy and its correlations with combustion reactivity[J]. Fuel, 2007,86(15):2316-2324. doi: 10.1016/j.fuel.2007.01.029

    13. [13]

      CAI H Y, GUELL A J, CHATZAKIS I N, LIM J Y, DUGWELL D R, KANDIYOTI R. Combustion reactivity and morphological change in coal chars:Effect of pyrolysis temperature, heating rate and pressure[J]. Fuel, 1996,75(1):15-24. doi: 10.1016/0016-2361(94)00192-8

    14. [14]

      HURT R H. Reactivity distributions and extinction phenomena in coal char combustion[J]. Energy Fuels, 1993,7(6):721-733. doi: 10.1021/ef00042a005

    15. [15]

      LIU G S, NIKSA S. Coal conversion submodels for design applications at elevated pressures. Part Ⅱ. Char gasification[J]. Prog Energy Combust Sci, 2004,30(6):679-717. doi: 10.1016/j.pecs.2004.08.001

    16. [16]

      SOLOMON P R, SERIO M A, SUUBERG E M. Coal pyrolysis:Experiments, kinetic rates and mechanisms[J]. Prog Energy Combust Sci, 1992,18(2):133-220. doi: 10.1016/0360-1285(92)90021-R

    17. [17]

      RADOVIC L R, WALKER P L, JENKINS R G. Importance of catalyst dispersion in the gasification of lignite chars[J]. J Catal, 1983,82(2):382-394. doi: 10.1016/0021-9517(83)90205-1

    18. [18]

      DOMAZETIS G, JAMES B D, LIESEGANG J. Computer molecular models of low-rank coal and char containing inorganic complexes[J]. J Mol Model, 2008,14(7):581-597. doi: 10.1007/s00894-008-0309-9

    19. [19]

      DOMAZETIS G, JAMES B D, LIESEGANG J. High-level computer molecular modeling for low-rank coal containing metal complexes and iron-catalyzed steam gasification[J]. Energy Fuels, 2008,22(6):3994-4005. doi: 10.1021/ef800457t

    20. [20]

      DOMAZETIS G, LIESEGANG J, JAMES B D. Studies of inorganics added to low-rank coals for catalytic gasification[J]. Fuel Process Technol, 2005,86(5):463-486. doi: 10.1016/j.fuproc.2004.03.009

    21. [21]

      ZHANG Y, CHEN D Y, ZHANG D, ZHU X F. TG-FTIR analysis of bio-oil and its pyrolysis/gasification property[J]. J Fuel Chem Technol, 2012,40(10):1194-1199.  

    22. [22]

      XU X Q, WANG Y G, CHEN Z D, BAI L, ZHANG K J, YANG S S, ZHANG S. Influence of cooling treatments on char microstructure and reactivity of Shengli brown coal[J]. J Fuel Chem Technol, 2015,43(1):1-8.  

    23. [23]

      MATHEWS J P, van Duin A, CHAFFEE A. The utility of coal molecular models[J]. Fuel Process Technol, 2011,92(4):718-728. doi: 10.1016/j.fuproc.2010.05.037

    24. [24]

      CASTRO-MARCANO F, KAMAT A M, RUSSO JR M F, van Duin A C T, MATHEWS J P. Combustion of an Illinois No.6 coal char simulated using an atomistic char representation and the ReaxFF reactive force field[J]. Combust Flame, 2012,159:1272-1285. doi: 10.1016/j.combustflame.2011.10.022

    25. [25]

      STUART S J, TUTEIN A B, HARRISON J A. A reactive potential for hydrocarbons with intermolecular interactions[J]. J Chem Phys, 2000,112(14):6472-6486. doi: 10.1063/1.481208

    26. [26]

      VAN DUIN A C T, DASGUPTA S, LORANT F, GODDARD W A. ReaxFF:A reactive force field for hydrocarbons[J]. J Phys Chem A, 2001,105(41):9396-9409. doi: 10.1021/jp004368u

    27. [27]

      HUANG L P, KIEFFER J. Molecular dynamics study of cristobalite silica using a charge transfer three-body potential:Phase transformation and structural disorder[J]. J Chem Phys, 2003,118(3):1487-1498. doi: 10.1063/1.1529684

    28. [28]

      VAN DUIN A C T, STRACHAN A, STEWMAN S, ZHANG Q S, XU X, GODDARD W A. ReaxFFSiO reactive force field for silicon and silicon oxide systems[J]. J Phys Chem A, 2003,107(19):3803-3811. doi: 10.1021/jp0276303

    29. [29]

      VIOLI A. Modeling of soot particle inception in aromatic and aliphatic premixed flames[J]. Combust Flame, 2004,139(4):279-287. doi: 10.1016/j.combustflame.2004.08.013

    30. [30]

      CHENOWETH K, VAN DUIN A C T, GODDARD W A. ReaxFF reactive force field for molecular dynamics simulations of hydrocarbon oxidation[J]. J Phys Chem A, 2008,112(5):1040-1053. doi: 10.1021/jp709896w

    31. [31]

      ROGEL E, CARBOGNANI L. Density estimation of asphaltenes using molecular dynamics simulations[J]. Energy Fuels, 2003,17(2):378-86. doi: 10.1021/ef020200r

    32. [32]

      TAKANOHASHI T, KAWASHIMA H. Construction of a model structure for upper freeport coal using 13C NMR chemical shift calculations[J]. Energy Fuels, 2002,16:379-387. doi: 10.1021/ef0101154

    33. [33]

      Materials Studio Help, 2007[K]. Accelrys Software Inc. , San Diego, USA.

    34. [34]

      LEI Z, YANG B, WEI J. Improved inheritance algorithm for the assembly of coal fragments[J]. Ind Eng Chem Res, 2015,50:12392-12399.  

    35. [35]

      CHEN H, LI J, LEI Z, GE L. Microwave-assisted extraction of shenfu coal and its macromolecule structure[J]. Min Sci Technol, 2009,19(1):19-24.  

    36. [36]

      ZHENG M, LI X, LIU J, GUO L. Initial chemical reaction simulation of coal pyrolysis via ReaxFF molecular dynamics[J]. Energy Fuels, 2013,27:2942-2951. doi: 10.1021/ef400143z

    37. [37]

      NOSÉ S. A unified formulation of the constant temperature molecular dynamics methods[J]. J Chem Phys, 1984,81:511-519. doi: 10.1063/1.447334

    38. [38]

      ZHENG M, LI X, LIU J, WANG Z, GONG X, GUO L, SONG W. Pyrolysis of Liulin coal simulated by GPU-Based ReaxFF MD with chemin for matics analysis[J]. Energy Fuels, 2014,28:522-534. doi: 10.1021/ef402140n

    39. [39]

      CHEREPANOV V B, CYR S L M, SOUTHERN B W. Metastable states of the potts glass[J]. J Phys A:Math Gen, 1992,25(16)4347. doi: 10.1088/0305-4470/25/16/012

  • 加载中
    1. [1]

      Jinqi YangXiaoxiang HuYuanyuan ZhangLingyu ZhaoChunlin YueYuan CaoYangyang ZhangZhenwen Zhao . Direct observation of natural products bound to protein based on UHPLC-ESI-MS combined with molecular dynamics simulation. Chinese Chemical Letters, 2025, 36(5): 110128-. doi: 10.1016/j.cclet.2024.110128

    2. [2]

      Shiyang SunNing YangYaqiu MaoTing WeiPengli WeiTingting YangYixin ZhangJian YanChangkai JiaYi LiXu CaiZhiyuan ZhaoXuesong FengXiaomei ZhuangWenpeng ZhangJunhai XiaoPengyun LiZhibing ZhengSong Li . Rational design of VHL-recruiting KRASG12C proteolysis-targeting chimeras based on molecular dynamics simulation. Chinese Chemical Letters, 2026, 37(2): 110992-. doi: 10.1016/j.cclet.2025.110992

    3. [3]

      Shiyu HouMaolin SunLiming CaoChaoming LiangJiaxin YangXinggui ZhouJinxing YeRuihua Cheng . Computational fluid dynamics simulation and experimental study on mixing performance of a three-dimensional circular cyclone-type microreactor. Chinese Chemical Letters, 2024, 35(4): 108761-. doi: 10.1016/j.cclet.2023.108761

    4. [4]

      Kangren Kong Zaiqiang Ma Yu Yin Zhaoming Liu Ruikang Tang . Nuclear magnetic resonance-guided Monte Carlo/molecular dynamics structure inference for amorphous solids. Chinese Journal of Structural Chemistry, 2026, 45(3): 100773-100773. doi: 10.1016/j.cjsc.2025.100773

    5. [5]

      Zhimin SongZhe TangYu ZhangYanru ZhouXiaozheng DuanYan DuChong-Bo Ma . DNA-modulated Mo-Zn single-atom nanozymes: Insights from molecular dynamics simulations to smartphone-assisted biosensing. Chinese Chemical Letters, 2025, 36(10): 110680-. doi: 10.1016/j.cclet.2024.110680

    6. [6]

      Fang-Yuan ChenWen-Chao GengKang CaiDong-Sheng Guo . Molecular recognition of cyclophanes in water. Chinese Chemical Letters, 2024, 35(5): 109161-. doi: 10.1016/j.cclet.2023.109161

    7. [7]

      Huimin Gao Zhuochen Yu Xuze Zhang Xiangkun Yu Jiyuan Xing Youliang Zhu Hu-Jun Qian Zhong-Yuan Lu . A mini review of the recent progress in coarse-grained simulation of polymer systems. Chinese Journal of Structural Chemistry, 2024, 43(5): 100266-100266. doi: 10.1016/j.cjsc.2024.100266

    8. [8]

      Haozhi LeiQian XiaXiqiu WangYang SunWeihong Tan . Simulation of immune signal transduction through DNA strand displacement. Chinese Chemical Letters, 2025, 36(12): 110941-. doi: 10.1016/j.cclet.2025.110941

    9. [9]

      Chenghao GePeng WangPei YuanTai WuRongjun ZhaoRong HuangLin XieYong Hua . Tuning hot carrier transfer dynamics by perovskite surface modification. Chinese Chemical Letters, 2024, 35(10): 109352-. doi: 10.1016/j.cclet.2023.109352

    10. [10]

      Yan-Rui Zhao Jin Zhang Shi-Kun Yan Guang-Zhi Zhou Ya-Hui Wang Qi-Yue Xin Ji-Xiang Hu . Solvent-coordination directed control of electron transfer dynamics in photoactive complexes. Chinese Journal of Structural Chemistry, 2025, 44(12): 100753-100753. doi: 10.1016/j.cjsc.2025.100753

    11. [11]

      Sanmei WangYong ZhouHengxin FangChunyang NieChang Q SunBiao Wang . Constant-potential simulation of electrocatalytic N2 reduction over atomic metal-N-graphene catalysts. Chinese Chemical Letters, 2025, 36(3): 110476-. doi: 10.1016/j.cclet.2024.110476

    12. [12]

      Gaowa XingYuxuan LiHongren YaoQiang ZhangZengnan WuCaihou LinJin-Ming Lin . Tryptophan accumulation and inflammation of glioblastoma cells in a multicomponent microchip for gut-brain-axis simulation. Chinese Chemical Letters, 2025, 36(12): 111035-. doi: 10.1016/j.cclet.2025.111035

    13. [13]

      Zi-Jian Zhou Xin-Ping Wu . Level-shifted embedded cluster method may offer a viable alternative for the simulation of metal oxides. Chinese Journal of Structural Chemistry, 2025, 44(5): 100471-100471. doi: 10.1016/j.cjsc.2024.100471

    14. [14]

      Caihong MaoYanfeng HeXiaohan WangYan CaiXiaobo Hu . Synthesis and molecular recognition characteristics of a tetrapodal benzene cage. Chinese Chemical Letters, 2024, 35(8): 109362-. doi: 10.1016/j.cclet.2023.109362

    15. [15]

      Cheng-Da ZhaoHuan YaoShi-Yao LiFangfang DuLi-Li WangLiu-Pan Yang . Amide naphthotubes: Biomimetic macrocycles for selective molecular recognition. Chinese Chemical Letters, 2024, 35(4): 108879-. doi: 10.1016/j.cclet.2023.108879

    16. [16]

      Yanwei DuanQing Yang . Molecular targets and their application examples for interrupting chitin biosynthesis. Chinese Chemical Letters, 2025, 36(4): 109905-. doi: 10.1016/j.cclet.2024.109905

    17. [17]

      Li-Ming Cao Chun-Ting He . Molecular enhancement of platinum electrocatalysts for hydrogen evolution. Chinese Journal of Structural Chemistry, 2026, 45(3): 100814-100814. doi: 10.1016/j.cjsc.2025.100814

    18. [18]

      Rongjun ZhaoTai WuYong HuaYude Wang . Improving performance of perovskite solar cells enabled by defects passivation and carrier transport dynamics regulation via organic additive. Chinese Chemical Letters, 2025, 36(2): 109587-. doi: 10.1016/j.cclet.2024.109587

    19. [19]

      Aoxuan SongQinglong QiaoNing XuYiyan RuanWenhao JiaXiang WangZhaochao Xu . Super-resolution imaging of cellular pseudopodia dynamics with a target-specific blinkogenic probe. Chinese Chemical Letters, 2025, 36(8): 110643-. doi: 10.1016/j.cclet.2024.110643

    20. [20]

      Takuya TanakaRikuto NodaYuki SawatariRiki IwaiBen Zhong TangGen-ichi Konishi . Viscosity responsiveness of excited-state dynamics in aggregated-induced emission luminogens. Chinese Chemical Letters, 2025, 36(12): 111495-. doi: 10.1016/j.cclet.2025.111495

Metrics
  • PDF Downloads(5)
  • Abstract views(1205)
  • HTML views(94)

通讯作者: 陈斌, bchen63@163.com
  • 1. 

    沈阳化工大学材料科学与工程学院 沈阳 110142

  1. 本站搜索
  2. 百度学术搜索
  3. 万方数据库搜索
  4. CNKI搜索
Address:Zhongguancun North First Street 2,100190 Beijing, PR China Tel: +86-010-82449177-888
Powered By info@rhhz.net

/

DownLoad:  Full-Size Img  PowerPoint
Return