Citation: LIU Yu-bo, ZHANG Yong-qi, WANG Zhi-qing, LI Jia-zhou, HUANG Jie-jie, ZHAO Jian-tao, FANG Yi-tian. Particle size classification and CO2 gasification of the char fines from fluidized bed gasification of Shenhua coal[J]. Journal of Fuel Chemistry and Technology, ;2016, 44(1): 44-52. shu

Particle size classification and CO2 gasification of the char fines from fluidized bed gasification of Shenhua coal

  • Corresponding author: ZHANG Yong-qi, zhangyq@sxicc.ac.cn
  • Received Date: 20 August 2015
    Revised Date: 21 October 2015

    Fund Project: The proect was supported by the National Science Foundation of China 21106173the Strategic Priority Research Program of the Chinese Academy of Sciences XDA07050100Youth Innovation Promotion Association 2014156the Natural Science Fund of Shanxi Province 2013021007-2

Figures(11)

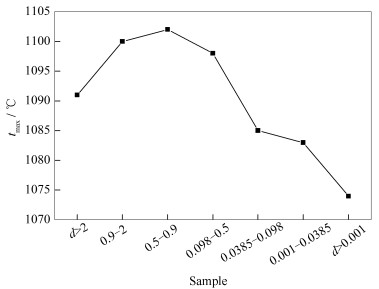
  • The char fines from fluidized bed gasification (fines for short) are classified into 7 components based on particle size. The basic physicochemical properties, the constant and programmed increasing temperature CO2 gasification behaviors were investigated by coal quality analyzer, elemental analyzer, X-ray powder diffractometer, gas sorption analyzer and thermogravimetric analyzer. The difference of gasification reactivity and its reasons were discussed. The results show that after partial gasification, fixed carbon of the fines is higher than that of its parent coal but lower than the corresponding coal char because of the escape of volatiles. The particle size distribution of fines is very wide and multimodal distribution with the shape of "M". In addition, the ash content of fines approximately increases with decreasing particle size. However, the carbon content decreases with decreasing particle size. Both the constant and programmed increasing temperature CO2 gasification show the same result. The gasification reactivity firstly decreases and then gradually increases with decreasing particle size. Furthermore, the carbon crystalline structure and ash content are contributed to the difference in gasification reactivity of fines, and the different reactivity is not related to the pore structure in this experimental condition.
  • 加载中
    1. [1]

      JING X L, WANG Z Q, YU Z L, ZHANG Q, LI C Y, FANG Y T. Experimental and kinetic investigations of CO2 gasification of fine chars separated from a pilot-scale fluidized-bed gasifier[J]. Energy Fuels, 2013,27(5):2422-2430. doi: 10.1021/ef4002296

    2. [2]

      QU Li-juan. Process of research in the fluidized bed coal gasification technology[J]. Coal Convers, 2007,30(2):81-85.  

    3. [3]

      WANG Zhi-yu. Fundamental research on the hydrodynamic characteristics of multi-stage conversion fluidized bed gasifier. Taiyuan: Institute of Coal Chemistry, Chinese Academy of Sciences, 2013.

    4. [4]

      XU Shi-sen, ZHANG Dong-liang, REN Yong-qiang. Large-scale coal gasification technology[M]. Beijing: Chemical Industry Press, 2006.

    5. [5]

      KELEBOPILE L, SUN R, LIAO J. Fly ash and coal char reactivity from thermo-gravimetric (TGA) experiments[J]. Fuel Process Technol, 2011,92(6):1178-1186. doi: 10.1016/j.fuproc.2011.01.007

    6. [6]

      GU J, WU S, WU Y, LI Y, GAO J. Differences in gasification behaviors and related properties between entrained gasifier fly ash and coal char[J]. Energy Fuels, 2008,22(6):4029-4033. doi: 10.1021/ef800527x

    7. [7]

      FANG Yi-tian, WU Jin-hu, ZHANG Jian-min, WANG Yang. Study on gasification reactivity of fly ash from a fluidized bed gasifier: Ⅱ study on gasification reaction kinetics of fly ash[J]. J Fuel Chem Technol, 1996,24(3):225-232.  

    8. [8]

      LI Feng-hai, LI Zhen-zhu, HUANG Jie-jie, FANG Yi-tian. Characteristics of fine chars from fluidized bed gasification of Shenmu coal[J]. J Fuel Chem Technol, 2014,42(10):1153-1159. doi: 10.1016/S1872-5813(14)60046-3 

    9. [9]

      ZHANG Xiao-bo, ZHAO hong, YANG jian-guo. Study on the variation of coal properties for different coal diameters and its effects on combustion characteristics[J]. Coal Convers, 2011,36(6):999-1003.  

    10. [10]

      TAKARADA T, TAMAI Y, TOMITA A. Reactivities of 34 coals under stream gasification[J]. Fuel, 1985,64(10):1438-1442. doi: 10.1016/0016-2361(85)90347-3

    11. [11]

      HU Rong-zu, SHI Qi-zhen. Thermal analysis kinetics[M]. Beijing: Science Press, 2001.

    12. [12]

      JING Xu-liang, WANG Zhi-qing, FANG Yi-tian. Steam re-gasification properties and kinetics of coal char fines derived from fluidized bed gasifier[J]. J Fuel Chem Technol, 2013,41(4):400-406.  

    13. [13]

      ZHANG L, HUANG J, FANG Y, WANG Y. Gasification reactivity and kinetics of typical Chinese anthracite chars with stream and CO2[J]. Energy Fuels, 2006,20(3):1201-1210. doi: 10.1021/ef050343o

    14. [14]

      REN Hai-jun, ZHANG Yong-qi, FANG Yi-tian, HUANG Jie-jie, WANG Yang. Effect of minerals in lignite char on kinetics of stream gasification[J]. Chem Eng (China), 2010,38(10):132-135.  

    15. [15]

      WU S Y, GU J, ZHANG X, WU Y Q, GAO J S. Variation of carbon crystalline structures and CO2 gasification reactivity of Shenfu coal chars at elevated temperatures[J]. Energy Fuels, 2008,22(1):199-206. doi: 10.1021/ef700371r

    16. [16]

      ZHU W K, SONG W L, LIN W G. Effect of the coal particle size on pyrolysis and char reactivity for two types of coal and demineralized coal[J]. Energy Fuels, 2008,22(4):2482-2487. doi: 10.1021/ef800143h

  • 加载中
    1. [1]

      Haiyu Nie Chenhui Zhang Fengpei Du . Ideological and Political Design for the Preparation, Characterization and Particle Size Control Experiment of Nanoemulsion. University Chemistry, 2024, 39(2): 41-46. doi: 10.3866/PKU.DXHX202306055

    2. [2]

      Shiqian WEIXinyu TIANHong LIUMaoxia CHENFan TANGQiang FANWeifeng FANYu HU . Oxygen reduction reaction/oxygen evolution reaction catalytic performances of different active sites on nitrogen-doped graphene loaded with iron single atoms. Chinese Journal of Inorganic Chemistry, 2025, 41(9): 1776-1788. doi: 10.11862/CJIC.20250102

    3. [3]

      Yan ZHAOXiaokang JIANGZhonghui LIJiaxu WANGHengwei ZHOUHai GUO . Preparation and fluorescence properties of Eu3+-doped CaLaGaO4 red-emitting phosphors. Chinese Journal of Inorganic Chemistry, 2024, 40(10): 1861-1868. doi: 10.11862/CJIC.20240242

    4. [4]

      Qiuting Zhang Fan Wu Jin Liu Zian Lin . Chromatographic Stationary Phase and Chiral Separation Using Frame Materials. University Chemistry, 2025, 40(4): 291-298. doi: 10.12461/PKU.DXHX202405174

    5. [5]

      Han ZHANGJianfeng SUNJinsheng LIANG . Hydrothermal synthesis and luminescent properties of broadband near-infrared Na3CrF6 phosphor. Chinese Journal of Inorganic Chemistry, 2025, 41(2): 349-356. doi: 10.11862/CJIC.20240098

    6. [6]

      Xuewei BACheng CHENGHuaikang ZHANGDeqing ZHANGShuhua LI . Preparation and luminescent performance of Sr1-xZrSi2O7xDy3+ phosphor with high thermal stability. Chinese Journal of Inorganic Chemistry, 2025, 41(2): 357-364. doi: 10.11862/CJIC.20240096

    7. [7]

      Yan ZHAOJiaxu WANGZhonghu LIChangli LIUXingsheng ZHAOHengwei ZHOUXiaokang JIANG . Gd3+-doped Sc2W3O12: Eu3+ red phosphor: Preparation and luminescence performance. Chinese Journal of Inorganic Chemistry, 2025, 41(3): 461-468. doi: 10.11862/CJIC.20240316

    8. [8]

      Hanmei LüXin ChenQifu SunNing ZhaoXiangxin Guo . Uniform Garnet Nanoparticle Dispersion in Composite Polymer Electrolytes. Acta Physico-Chimica Sinica, 2024, 40(3): 2305016-0. doi: 10.3866/PKU.WHXB202305016

    9. [9]

      Cuiping HEZhuxuan LIYuqing SUNJie LIUShicheng XUZhanchao WU . Ca2+ doping induced crystal phase transition and spectral regulation of Ba3P4O13: Eu2+ phosphor. Chinese Journal of Inorganic Chemistry, 2025, 41(11): 2299-2306. doi: 10.11862/CJIC.20250074

    10. [10]

      Lan Ma Cailu He Ziqi Liu Yaohan Yang Qingxia Ming Xue Luo Tianfeng He Liyun Zhang . Magical Surface Chemistry: Fabrication and Application of Oil-Water Separation Membranes. University Chemistry, 2024, 39(5): 218-227. doi: 10.3866/PKU.DXHX202311046

    11. [11]

      Zijuan LIXuan LÜJiaojiao CHENHaiyang ZHAOShuo SUNZhiwu ZHANGJianlong ZHANGYanling MAJie LIZixian FENGJiahui LIU . Synthesis of visual fluorescence emission CdSe nanocrystals based on ligand regulation. Chinese Journal of Inorganic Chemistry, 2025, 41(2): 308-320. doi: 10.11862/CJIC.20240138

    12. [12]

      Runjie Li Hang Liu Xisheng Wang Wanqun Zhang Wanqun Hu Kaiping Yang Qiang Zhou Si Liu Pingping Zhu Wei Shao . 氨基酸的衍生及手性气相色谱分离创新实验. University Chemistry, 2025, 40(6): 286-295. doi: 10.12461/PKU.DXHX202407059

    13. [13]

      Peipei SunJinyuan ZhangYanhua SongZhao MoZhigang ChenHui Xu . Built-in Electric Fields Enhancing Photocarrier Separation and H2 Evolution. Acta Physico-Chimica Sinica, 2024, 40(11): 2311001-0. doi: 10.3866/PKU.WHXB202311001

    14. [14]

      Wendian XIEYuehua LONGJianyang XIELiqun XINGShixiong SHEYan YANGZhihao HUANG . Preparation and ion separation performance of oligoether chains enriched covalent organic framework membrane. Chinese Journal of Inorganic Chemistry, 2024, 40(8): 1528-1536. doi: 10.11862/CJIC.20240050

    15. [15]

      Xinhao Yan Guoliang Hu Ruixi Chen Hongyu Liu Qizhi Yao Jiao Li Lingling Li . Polyethylene Glycol-Ammonium Sulfate-Nitroso R Salt System for the Separation of Cobalt (II). University Chemistry, 2024, 39(6): 287-294. doi: 10.3866/PKU.DXHX202310073

    16. [16]

      Yue ZhangBao LiLixin Wu . GO-Assisted Supramolecular Framework Membrane for High-Performance Separation of Nanosized Oil-in-Water Emulsions. Acta Physico-Chimica Sinica, 2024, 40(5): 2305038-0. doi: 10.3866/PKU.WHXB202305038

    17. [17]

      Jie ZHAOSen LIUQikang YINXiaoqing LUZhaojie WANG . Theoretical calculation of selective adsorption and separation of CO2 by alkali metal modified naphthalene/naphthalenediyne. Chinese Journal of Inorganic Chemistry, 2024, 40(3): 515-522. doi: 10.11862/CJIC.20230385

    18. [18]

      Yan LIUJiaxin GUOSong YANGShixian XUYanyan YANGZhongliang YUXiaogang HAO . Exclusionary recovery of phosphate anions with low concentration from wastewater using a CoNi-layered double hydroxide/graphene electronically controlled separation film. Chinese Journal of Inorganic Chemistry, 2024, 40(9): 1775-1783. doi: 10.11862/CJIC.20240043

    19. [19]

      Shui Hu Houjin Li Zhenming Zang Lianyun Li Rong Lai . Integration of Science and Education Promotes the Construction of Undergraduate-to-Master’s Integration Experimental Courses: A Case Study on the Extraction, Separation and Identification of Artemisinin from Artemisia annua. University Chemistry, 2024, 39(4): 314-321. doi: 10.3866/PKU.DXHX202310063

    20. [20]

      Junjie Zhang Yue Wang Qiuhan Wu Ruquan Shen Han Liu Xinhua Duan . Preparation and Selective Separation of Lightweight Magnetic Molecularly Imprinted Polymers for Trace Tetracycline Detection in Milk. University Chemistry, 2024, 39(5): 251-257. doi: 10.3866/PKU.DXHX202311084

Metrics
  • PDF Downloads(0)
  • Abstract views(1364)
  • HTML views(105)

通讯作者: 陈斌, bchen63@163.com
  • 1. 

    沈阳化工大学材料科学与工程学院 沈阳 110142

  1. 本站搜索
  2. 百度学术搜索
  3. 万方数据库搜索
  4. CNKI搜索
Address:Zhongguancun North First Street 2,100190 Beijing, PR China Tel: +86-010-82449177-888
Powered By info@rhhz.net

/

DownLoad:  Full-Size Img  PowerPoint
Return