Citation: ZHANG Zhi-min, ZHANG Cheng-xiang, AN Kang, LIU Qiang, ZHANG Si-ran, LIU Yuan. Preparation of La-Ce oxide-modified platinum-cobalt nano-bimetallic catalysts with perovskite-type composite oxides as precursors and their performance in CO oxidation[J]. Journal of Fuel Chemistry and Technology, ;2019, 47(11): 1357-1367. shu

Preparation of La-Ce oxide-modified platinum-cobalt nano-bimetallic catalysts with perovskite-type composite oxides as precursors and their performance in CO oxidation

  • Corresponding author: ZHANG Si-ran, siran@tju.edu.cn LIU Yuan, yuanliu@tju.edu.cn
  • Received Date: 11 July 2019
    Revised Date: 17 September 2019

    Fund Project: the Natural Science Foundation of China 21576192The projecct was supported by the Natural Science Foundation of China (21872101, 21576192), Science and Technology Program of Tianjin, China (18ZXSZSF00070)the Natural Science Foundation of China 21872101Science and Technology Program of Tianjin, China 18ZXSZSF00070

Figures(9)

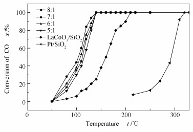
  • A new scheme for constructing composite catalyst composed of oxide-modified bimetallic nanoparticles was proposed, where perovskite-type oxide (PTO) is utilized to confine multifold metal ions in the perovskite crystal lattice. With a perovskite-type oxide (PTO) of La1-yCeyCo0.87Pt0.13O3 loaded on large surface area SiO2 as the precursor, where the La, Ce, Co and Pt ions were uniformly mixed and confined in the PTO crystallites, a series of Pt-Co/La-Ce-O/SiO2 catalysts were prepared through reduction. The Pt-Co/La-Ce-O/SiO2 catalysts were characterized by nitrogen physisorption, XRD, H2-TPR and TEM; their catalytic performance in CO oxidation was investigated. The results indicate that La-Ce-O-Pt-Co clusters are constructed on the SiO2 surface, forming platinum-cobalt nano-bimetallic particles after reduction; the modification of Pt with Co can enhance the catalytic activity and the addition of Ce can further improve the catalytic performance in CO oxidation. The La0.8Ce0.2Co0.87Pt0.13O3/SiO2 catalyst with y=0.2 (representing the Ce content) exhibits high activity in CO oxidation; over it, a complete conversion of CO can be achieved at 120℃. The La0.8Ce0.2Co0.87Pt0.13O3/SiO2 catalyst performs well for CO oxidation even in the presence of 15% (volume ratio) H2O and 12.5% (volume ratio) CO2. Moreover, the oxide-modified platinum-cobalt nano-bimetallic catalysts display excellent stability with high resistance against sintering.
  • 加载中
    1. [1]

      SCHUBERT M M, HACKENBERG S, VEEN A C V, MUHLER M, PLZAK V, BEHM R J. CO oxidation over supported gold catalysts-"Inert" and "active" support materials and their role for the oxygen supply during reaction[J]. J Catal, 2001,197(1):113-122. doi: 10.1006/jcat.2000.3069

    2. [2]

      EINAGA H, NASU Y, ODA M, SAITO H. Catalytic performances of perovskite oxides for CO oxidation under microwave irradiation[J]. Chem Eng J, 2016,283:97-104. doi: 10.1016/j.cej.2015.07.051

    3. [3]

      NURIA L, NØRSKOV J K. Catalytic CO oxidation by a gold nanoparticle:A density functional study[J]. J Am Chem Soc, 2002,124(38):11262-11263. doi: 10.1021/ja026998a

    4. [4]

      IMBIHL R, COX M P, ERTL G, MÜLLER H, BRENIG W. Kinetic oscillations in the catalytic CO oxidation on Pt(100):Theory[J]. J Chem Phys, 1987,87(1):742-749. doi: 10.1001/jama.297.21.2381

    5. [5]

      CAIXIA X, JIXIN S, XIAOHONG X, PENGPENG L, HONGJUAN Z, FANG T, YI D. Low temperature CO oxidation over unsupported nanoporous gold[J]. J Am Chem Soc, 2007,129(1):42-43. doi: 10.1021/ja0675503

    6. [6]

      KUNG H H, KUNG M C, COSTELLO C K. Supported Au catalysts for low temperature CO oxidation[J]. J Catal, 2003,216(1/2):425-432.  

    7. [7]

      BOTAO Q, AIQIN W, XIAOFENG Y, ALLARD L F, ZHENG J, YITAO C, JINGYUE L, JUN L, TAO Z. Single-atom catalysis of CO oxidation using Pt1/FeOx[J]. Nat Chem, 2011,3(8):634-641. doi: 10.1038/nchem.1095

    8. [8]

      HENDRIKSEN B L M, FRENKEN J W M. CO oxidation on Pt(110):Scanning tunneling microscopy inside a high-pressure flow reactor[J]. Phys Rev Lett, 2002,89(4)046101. doi: 10.1103/PhysRevLett.89.046101

    9. [9]

      WANG C, LI B, LIN H, YUAN Y. Carbon nanotube-supported Pt-Co bimetallic catalysts for preferential oxidation of CO in a H2-rich stream with CO2 and H2O vapor[J]. J Power Sources, 2012,202:200-208. doi: 10.1016/j.jpowsour.2011.11.044

    10. [10]

      XU H, FU Q, GUO X, BAO X. Architecture of Pt-Co bimetallic catalysts for catalytic CO oxidation[J]. ChemCatChem, 2012,4(10):1645-1652. doi: 10.1002/cctc.201200255

    11. [11]

      SNYTNIKOV P V, YUSENKO K V, KORENEV S V, SHUBIN Y V, SOBYANIN V A. Co-Pt bimetallic catalysts for the selective oxidation of carbon monoxide in hydrogen-containing mixtures[J]. Kinet Catal, 2007,48(2):276-281. doi: 10.1134/S0023158407020127

    12. [12]

      BERA P, GAYEN A, HEGDE M S, LALLA N P, ARENA F. Promoting effect of CeO2 in combustion synthesized Pt/CeO2 catalyst for CO oxidation[J]. J Phys Chem B, 2003,107(25):6122-6130. doi: 10.1021/jp022132f

    13. [13]

      AVAKYAN L A, KOLPACHEVA N A, PARAMONOVA E V, SINGH J, HARTFELDER U, BOKHOVEN J A V, BUGAEV L A. Evolution of the atomic structure of ceria-supported platinum nanocatalysts:Formation of single layer platinum oxide and Pt-O-Ce and Pt-Ce linkages[J]. J Phys Chem C, 2016,120(49):28057-28066. doi: 10.1021/acs.jpcc.6b09824

    14. [14]

      SURENDAR M, SAGAR T V, RAVEENDRA G, ASHWANI KUMAR M, LINGAIAH N, RAMA RAO K S, SAI PRASAD P S. Pt doped LaCoO3 perovskite:A precursor for a highly efficient catalyst for hydrogen production from glycerol[J]. Int J Hydrogen Energy, 2016,41(4):2285-2297. doi: 10.1016/j.ijhydene.2015.12.075

    15. [15]

      ZHAO L, HAN T, WANG H, ZHANG L, LIU Y. Ni-Co alloy catalyst from LaNi1-xCoxO3 perovskite supported on zirconia for steam reforming of ethanol[J]. Appl Catal B:Environ, 2016,187:19-29. doi: 10.1016/j.apcatb.2016.01.007

    16. [16]

      GONG D, LI S, GUO S, TANG H, WANG H, LIU Y. Lanthanum and cerium co-modified Ni/SiO2 catalyst for CO methanation from syngas[J]. Appl Surf Sci, 2018,434:351-364. doi: 10.1016/j.apsusc.2017.10.179

    17. [17]

      SUN S, YANG L I, PANG G, FENG S. Surface properties of Mg doped LaCoO3 particles with large surface areas and their enhanced catalytic activity for CO oxidation[J]. Appl Catal A:Gen, 2011,401(1/2):199-203.  

    18. [18]

      LI S, TANG H, GONG D, MA Z, LIU Y. Loading Ni/La2O3 on SiO2 for CO methanation from syngas[J]. Catal Today, 2017,297:298-307. doi: 10.1016/j.cattod.2017.06.014

    19. [19]

      THOMMES M, KANEKO K, NEIMARK A V, OLIVIER J P, RODRIGUEZ-REINOSO F, ROUQUEROL J, SING K S W. Physisorption of gases, with special reference to the evaluation of surface area and pore size distribution (IUPAC Technical Report)[J]. Pure Appl Chem, 2015,87(9/10):1051-1069.  

    20. [20]

      LEOFANTI G, PADOVAN M, TOZZOLA G, VENTURELLI B. Surface area and pore texture of catalysts[J]. Catal Today, 1998,41(1):207-219.  

    21. [21]

      SONG Z, SHI X, NING H, LIU G, ZHONG H, YUAN L. Loading clusters composed of nanoparticles on ZrO2 support via a perovskite-type oxide of La0.95Ce0.05Co0.7Cu0.3O3 for ethanol synthesis from syngas and its structure variation with reaction time[J]. Appl Surf Sci, 2017,405:1-12. doi: 10.1016/j.apsusc.2017.02.003

    22. [22]

      BENJARA M, REDDY M, KATTA L, THRIMURTHULU G. Novel nanocrystalline Ce1-xLaxO2-δ(x=0.2) solid solutions:Structural characteristics and catalytic performance[J]. Chem Mater, 2010,22(2):467-475. doi: 10.1021/cm100735n

    23. [23]

      JOB N, PEREIRA M F R, LAMBERT S, CABIAC A, DELAHAY G, COLOMER J F, MARIEN J, FIGUEIREDO J L, PIRARD J P. Highly dispersed platinum catalysts prepared by impregnation of texture-tailored carbon xerogels[J]. J Catal, 2006,240(2):160-171. doi: 10.1016/j.jcat.2006.03.016

    24. [24]

      JERMWONGRATANACHAI T, JACOBS G, MA W, SHAFER W D, GNANAMANI M K, PEI G, KITIYANAN B, DAVIS B H, KLETTLINGER J L S, YEN C H. Fischer-tropsch synthesis:Comparisons between Pt and Ag promoted Co/Al2O3 catalysts for reducibility, local atomic structure, catalytic activity, and oxidation-reduction (OR) cycles[J]. Appl Catal A:Gen, 2013,464(6):165-180.

    25. [25]

      FANG C, ZHONG H, WEI Y, WANG J, ZHANG S, ZHANG L, LIU Y. Highly dispersed Pt species with excellent stability and catalytic performance by reducing a perovskite-type oxide precursor for CO oxidation[J]. Trans Tianjin Univ, 2018,24(6):547-554. doi: 10.1007/s12209-018-0175-1

    26. [26]

      GONG D D, LI S S, GUO S X, TANG H G, WANG H, LIU Y. Lanthanum and cerium co-modified Ni/SiO2 catalyst for CO methanation from syngas[J]. Appl Surf Sci, 2018,434:351-364. doi: 10.1016/j.apsusc.2017.10.179

    27. [27]

      WANG T, XING J Y, ZHU L, JIA A P, WANG Y J, LU J Q, LUO M F. CO oxidation over supported Pt/CrxFe2-xO3 catalysts and their good tolerance to CO2 and H2O[J]. Appl Catal B:Environ, 2019,245:314-324. doi: 10.1016/j.apcatb.2018.12.054

    28. [28]

      DENG Y, WANG T, ZHU L, JIA A P, LU J Q, LUO M F. Enhanced performance of CO oxidation over Pt/CuCrOx catalyst in the presence of CO2 and H2O[J]. Appl Surf Sci, 2018,442:613-621. doi: 10.1016/j.apsusc.2018.02.099

    29. [29]

      WANG H F, KAVANAGH R, GUO Y L, GUO Y, LU G Z, HU P. Structural origin:Water deactivates metal oxides to CO oxidation and promotes low-temperature CO oxidation with metals[J]. Angew Chem Int Ed, 2012,51(27):6657-6661. doi: 10.1002/anie.201108981

    30. [30]

      JIN Y, SUN G, XIONG F, DING L, HUANG W. Water-activated lattice oxygen in FeO(111) islands for low-temperature oxidation of CO at Pt-FeO interface[J]. J Phys Chem C, 2016,120(18):9845-9851. doi: 10.1021/acs.jpcc.6b02256

    31. [31]

      SINGHANIA A, GUPTA S M. Nanocrystalline ZrO2 and Pt-doped ZrO2 catalysts for low-temperature CO oxidation[J]. Beilstein J Nanotechnol, 2017,8(1):264-271. doi: 10.3762/bjnano.8.29

    32. [32]

      AVGOUROPOULOS G, IOANNIDES T, PAPADOPOULOU C, BATISTA J, HOCEVAR S, MATRALIS H K. A comparative study of Pt/γ-Al2O3, Au/α-Fe2O3 and CuO-CeO2 catalysts for the selective oxidation of carbon monoxide in excess hydrogen[J]. Catal Today, 2002,75(1/4):157-167. doi: 10.1016/S0920-5861(02)00058-5

    33. [33]

      LI S, LIU G, LIAN H, JIA M, ZHAO G, JIANG D, ZHANG W. Low-temperature CO oxidation over supported Pt catalysts prepared by colloid-deposition method[J]. Catal Commun, 2008,9(6):1045-1049. doi: 10.1016/j.catcom.2007.10.016

    34. [34]

      EPLING W S, CHEEKATAMARLA P K, LANE A M. Reaction and surface characterization studies of titania-supported Co, Pt and Co/Pt catalysts for the selective oxidation of CO in H2 -containing streams[J]. Chem Eng J, 2003,93(1):61-68. doi: 10.1016/S1385-8947(02)00109-2

    35. [35]

      ROH H S, POTDAR H S, JUN K W, HAN S Y, KIM J W. Low temperature selective CO oxidation in excess of H2 over Pt/Ce-ZrO2 catalysts[J]. Catal Lett, 2004,93(3):203-207. doi: 10.1023/b:catl.0000017077.38760.1f

    36. [36]

      XU H, FU Q, YAO Y, BAO X. Highly active Pt-Fe bicomponent catalysts for CO oxidation in the presence and absence of H2[J]. Energy Environ Sci, 2012,5(4):6313-6320. doi: 10.1039/C1EE02393D

  • 加载中
    1. [1]

      Shijie RenMingze GaoRui-Ting GaoLei Wang . Bimetallic Oxyhydroxide Cocatalyst Derived from CoFe MOF for Stable Solar Water Splitting. Acta Physico-Chimica Sinica, 2024, 40(7): 2307040-0. doi: 10.3866/PKU.WHXB202307040

    2. [2]

      Lina GuoRuizhe LiChuang SunXiaoli LuoYiqiu ShiHong YuanShuxin OuyangTierui Zhang . Effect of Interlayer Anions in Layered Double Hydroxides on the Photothermocatalytic CO2 Methanation of Derived Ni-Al2O3 Catalysts. Acta Physico-Chimica Sinica, 2025, 41(1): 100002-0. doi: 10.3866/PKU.WHXB202309002

    3. [3]

      Ping ZHANGChenchen ZHAOXiaoyun CUIBing XIEYihan LIUHaiyu LINJiale ZHANGYu'nan CHEN . Preparation and adsorption-photocatalytic performance of ZnAl@layered double oxides. Chinese Journal of Inorganic Chemistry, 2024, 40(10): 1965-1974. doi: 10.11862/CJIC.20240014

    4. [4]

      Xueyu LinRuiqi WangWujie DongFuqiang Huang . Rational Design of Bimetallic Oxide Anodes for Superior Li+ Storage. Acta Physico-Chimica Sinica, 2025, 41(3): 100021-0. doi: 10.3866/PKU.WHXB202311005

    5. [5]

      Yaping ZHANGTongchen WUYun ZHENGBizhou LIN . Z-scheme heterojunction β-Bi2O3 pillared CoAl layered double hydroxide nanohybrid: Fabrication and photocatalytic degradation property. Chinese Journal of Inorganic Chemistry, 2025, 41(3): 531-539. doi: 10.11862/CJIC.20240256

    6. [6]

      Bing WEIJianfan ZHANGZhe CHEN . Research progress in fine tuning of bimetallic nanocatalysts for electrocatalytic carbon dioxide reduction. Chinese Journal of Inorganic Chemistry, 2025, 41(3): 425-439. doi: 10.11862/CJIC.20240201

    7. [7]

      Yuying JIANGJia LUOZhan GAO . Development status and prospects of solid oxide cell high entropy electrode catalysts. Chinese Journal of Inorganic Chemistry, 2025, 41(9): 1719-1730. doi: 10.11862/CJIC.20250124

    8. [8]

      Ye WangRuixiang GeXiang LiuJing LiHaohong Duan . An Anion Leaching Strategy towards Metal Oxyhydroxides Synthesis for Electrocatalytic Oxidation of Glycerol. Acta Physico-Chimica Sinica, 2024, 40(7): 2307019-0. doi: 10.3866/PKU.WHXB202307019

    9. [9]

      Huafeng SHI . Construction of MnCoNi layered double hydroxide@Co-Ni-S amorphous hollow polyhedron composite with excellent electrocatalytic oxygen evolution performance. Chinese Journal of Inorganic Chemistry, 2025, 41(7): 1380-1386. doi: 10.11862/CJIC.20240378

    10. [10]

      Endong YANGHaoze TIANKe ZHANGYongbing LOU . Efficient oxygen evolution reaction of CuCo2O4/NiFe-layered bimetallic hydroxide core-shell nanoflower sphere arrays. Chinese Journal of Inorganic Chemistry, 2024, 40(5): 930-940. doi: 10.11862/CJIC.20230369

    11. [11]

      Kangjuan ChengChunxiao LiuYoupeng WangQiu JiangTingting ZhengXu LiChuan Xia . Design of noble metal catalysts and reactors for the electrosynthesis of hydrogen peroxide. Acta Physico-Chimica Sinica, 2025, 41(10): 100112-0. doi: 10.1016/j.actphy.2025.100112

    12. [12]

      Wang WangYucheng LiuShengli Chen . Use of NiFe Layered Double Hydroxide as Electrocatalyst in Oxygen Evolution Reaction: Catalytic Mechanisms, Electrode Design, and Durability. Acta Physico-Chimica Sinica, 2024, 40(2): 2303059-0. doi: 10.3866/PKU.WHXB202303059

    13. [13]

      Xiaofeng ZhuBingbing XiaoJiaxin SuShuai WangQingran ZhangJun Wang . Transition Metal Oxides/Chalcogenides for Electrochemical Oxygen Reduction into Hydrogen Peroxides. Acta Physico-Chimica Sinica, 2024, 40(12): 2407005-0. doi: 10.3866/PKU.WHXB202407005

    14. [14]

      Chuanming GUOKaiyang ZHANGYun WURui YAOQiang ZHAOJinping LIGuang LIU . Performance of MnO2-0.39IrOx composite oxides for water oxidation reaction in acidic media. Chinese Journal of Inorganic Chemistry, 2024, 40(6): 1135-1142. doi: 10.11862/CJIC.20230459

    15. [15]

      Xin HanZhihao ChengJinfeng ZhangJie LiuCheng ZhongWenbin Hu . Design of Amorphous High-Entropy FeCoCrMnBS (Oxy) Hydroxides for Boosting Oxygen Evolution Reaction. Acta Physico-Chimica Sinica, 2025, 41(4): 100033-0. doi: 10.3866/PKU.WHXB202404023

    16. [16]

      Yan LIUJiaxin GUOSong YANGShixian XUYanyan YANGZhongliang YUXiaogang HAO . Exclusionary recovery of phosphate anions with low concentration from wastewater using a CoNi-layered double hydroxide/graphene electronically controlled separation film. Chinese Journal of Inorganic Chemistry, 2024, 40(9): 1775-1783. doi: 10.11862/CJIC.20240043

    17. [17]

      Wentao XuXuyan MoYang ZhouZuxian WengKunling MoYanhua WuXinlin JiangDan LiTangqi LanHuan WenFuqin ZhengYoujun FanWei Chen . Bimetal Leaching Induced Reconstruction of Water Oxidation Electrocatalyst for Enhanced Activity and Stability. Acta Physico-Chimica Sinica, 2024, 40(8): 2308003-0. doi: 10.3866/PKU.WHXB202308003

    18. [18]

      Rongzhan LOUQiaoling KANGZhenchao BAIDongyun LIYang XURui WANGQingyi LU . Research progress of sodium ion high entropy layered oxide cathode. Chinese Journal of Inorganic Chemistry, 2025, 41(12): 2411-2428. doi: 10.11862/CJIC.20250142

    19. [19]

      Anqun LAIQiaoyu WUQingqing LIANGQiyong LIGuowen DONGYongjie DINGJia′nan CHENQing YANZhonghua PANWangchuan XIAO . Electrocatalytic water oxidation properties of Nd-Co polynuclear complexes. Chinese Journal of Inorganic Chemistry, 2025, 41(12): 2527-2535. doi: 10.11862/CJIC.20250151

    20. [20]

      Junli Liu . Practice and Exploration of Research-Oriented Classroom Teaching in the Integration of Science and Education: a Case Study on the Synthesis of Sub-Nanometer Metal Oxide Materials and Their Application in Battery Energy Storage. University Chemistry, 2024, 39(10): 249-254. doi: 10.12461/PKU.DXHX202404023

Metrics
  • PDF Downloads(10)
  • Abstract views(1411)
  • HTML views(176)

通讯作者: 陈斌, bchen63@163.com
  • 1. 

    沈阳化工大学材料科学与工程学院 沈阳 110142

  1. 本站搜索
  2. 百度学术搜索
  3. 万方数据库搜索
  4. CNKI搜索
Address:Zhongguancun North First Street 2,100190 Beijing, PR China Tel: +86-010-82449177-888
Powered By info@rhhz.net

/

DownLoad:  Full-Size Img  PowerPoint
Return