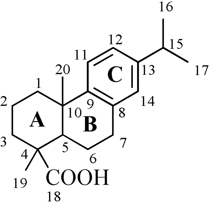
Progress in Bioactivities of Dehydroabietic Acid and Its Derivatives
- Corresponding author: Shen Minggui, shenminggui@sina.com
Citation:
Luo Yunlong, Shen Minggui, Wang Dan, Shang Shibin, Song Zhanqian. Progress in Bioactivities of Dehydroabietic Acid and Its Derivatives[J]. Chemistry,
;2018, 81(2): 122-128.
Y J Cui, X P Rao, S B Shang et al. J. Saudi Chem. Soc., 2017, 21: 258~263.
W M Zhang, T Yang, X Y Pan et al. Eur. J. Med. Chem., 2017, 127: 917~927.
M Berger, A Roller, N Maulide. Eur. J. Med. Chem., 2017, 126: 937~943.
W Gu, C Qiao, S F Wang et al. Bioorg. Med. Chem. Lett., 2014, 24: 328~331.
M A Gonzalez, D Perez-Guaita, J Correa-Royero et al. Eur. J. Med. Chem., 2010, 45: 811~816.
X T Xu, X L Ma, W G Duan et al. Holzforschung, 2013, 67: 107~112.
J R Tagat, D V Nazarene, M S Puar et al. Bioorg. Med. Chem. Lett., 1994, 4(9): 1101~1104.
T Fonseca, B Gigante, M M Marques et al. Bioorg. Med. Chem., 2004, 12: 103~112.
L S Agudelo-Gomez, L A Betancur-Galvis, M A Gonzalez. Pharmacologyonline, 2012, 1: 36~42.
T Tashima, Y Toriumi, Y Mochizuki et al. Bioorg. Med. Chem., 2006, 14: 8014~8031.
Y M Cui, E Yasutomi, Y Otani et al. Bioorg. Med. Chem. Lett., 2008, 18: 5201~5205.
Y M Cui, E Yasutomi, Y Otani et al. Bioorg. Med. Chem. Lett., 2008, 18: 6386~6389.
Y M Cui, E Yasutomi, Y Otani et al. Bioorg. Med. Chem. Lett., 2010, 18, 8642~8659.
Y M Cui, X L Liu, W M Zhang et al. Bioorg. Med. Chem. Lett., 2016, 26: 283~287.
X S Lv, Y M Cui, H Y Wang. Chin. Chem. Lett., 2013, 24: 1023~1026.
X P Rao, Z Q Song, H Liu et al. Chem. Pharm. Bull., 2008, 56(11): 1575~1578.
X P Rao, Y Wu, Z Q Song et al. Med. Chem. Res., 2011, 20: 333~338.
M Ukiya, T Kawaguchi, K Ishii et al. Chem. Biodivers., 2013, 10: 1260~1268.
X C Huang, M Wang, Y M Pan et al. Eur. J. Med. Chem., 2013, 69: 508~520.
X C Huang, M Wang, H S Wang et al. Bioorg. Med. Chem. Lett., 2014, 24: 1511~1518.
X C Huang, M Wang, Y M Pan et al. Bioorg. Med. Chem. Lett., 2013, 23(19): 5283~5289.
M W Pertino, V Verdugo, C Theoduloz et al. Molecules, 2014, 19: 2523~2535.
B Sepulveda, L Astudillo, J A Rodriguez et al. Pharm. Res., 2005, 52: 429~437.
I A Tolmacheva, A V Tarantin, A A Boteva et al. Pharm. Chem. J., 2006, 40(9): 489~493.
Haitang WANG , Yanni LING , Xiaqing MA , Yuxin CHEN , Rui ZHANG , Keyi WANG , Ying ZHANG , Wenmin WANG . Construction, crystal structures, and biological activities of two LnⅢ3 complexes. Chinese Journal of Inorganic Chemistry, 2024, 40(8): 1474-1482. doi: 10.11862/CJIC.20240188
Siran Wang , Yinuo Wang , Yilong Zhao , Dazhen Xu . Advances in the Application and Preparation of Rhodanine and Its Derivatives. University Chemistry, 2025, 40(5): 318-327. doi: 10.12461/PKU.DXHX202407033
Xin MA , Ya SUN , Na SUN , Qian KANG , Jiajia ZHANG , Ruitao ZHU , Xiaoli GAO . A Tb2 complex based on polydentate Schiff base: Crystal structure, fluorescence properties, and biological activity. Chinese Journal of Inorganic Chemistry, 2024, 40(7): 1347-1356. doi: 10.11862/CJIC.20230357
Jianfeng Yan , Yating Xiao , Xin Zuo , Caixia Lin , Yaofeng Yuan . Comprehensive Chemistry Experimental Design of Ferrocenylphenyl Derivatives. University Chemistry, 2024, 39(4): 329-337. doi: 10.3866/PKU.DXHX202310005
Lixing ZHANG , Yaowen WANG , Xu HAN , Junhong ZHOU , Jinghui WANG , Liping LI , Guangshe LI . Research progress in the synthesis of fluorine-containing perovskites and their derivatives. Chinese Journal of Inorganic Chemistry, 2025, 41(9): 1689-1701. doi: 10.11862/CJIC.20250007
Hanxue LIU , Shijie LI , Meng REN , Xuling XUE , Hongke LIU . Design and antitumor properties of dehydroabietic acid functionalized cyclometalated iridium(Ⅲ) complex. Chinese Journal of Inorganic Chemistry, 2025, 41(8): 1483-1494. doi: 10.11862/CJIC.20250031
Jia-He Li , Yu-Ze Liu , Jia-Hui Ma , Qing-Xiao Tong , Jian-Ji Zhong , Jing-Xin Jian . 洛芬碱衍生物的合成、化学发光与重金属离子检测. University Chemistry, 2025, 40(6): 230-237. doi: 10.12461/PKU.DXHX202407080
Zhongyan Cao , Shengnan Jin , Yuxia Wang , Yiyi Chen , Xianqiang Kong , Yuanqing Xu . Advances in Highly Selective Reactions Involving Phenol Derivatives as Aryl Radical Precursors. University Chemistry, 2025, 40(4): 245-252. doi: 10.12461/PKU.DXHX202405186
Xiaofei Liu , He Wang , Li Tao , Weimin Ren , Xiaobing Lu , Wenzhen Zhang . Electrocarboxylation of Benzylic Phosphates and Phosphinates with Carbon Dioxide. Acta Physico-Chimica Sinica, 2024, 40(9): 2307008-0. doi: 10.3866/PKU.WHXB202307008
Yonghui ZHOU , Rujun HUANG , Dongchao YAO , Aiwei ZHANG , Yuhang SUN , Zhujun CHEN , Baisong ZHU , Youxuan ZHENG . Synthesis and photoelectric properties of fluorescence materials with electron donor-acceptor structures based on quinoxaline and pyridinopyrazine, carbazole, and diphenylamine derivatives. Chinese Journal of Inorganic Chemistry, 2024, 40(4): 701-712. doi: 10.11862/CJIC.20230373
Yikai Wang , Xiaolin Jiang , Haoming Song , Nan Wei , Yifan Wang , Xinjun Xu , Cuihong Li , Hao Lu , Yahui Liu , Zhishan Bo . Thickness-Insensitive, Cyano-Modified Perylene Diimide Derivative as a Cathode Interlayer Material for High-Efficiency Organic Solar Cells. Acta Physico-Chimica Sinica, 2025, 41(3): 100027-0. doi: 10.3866/PKU.WHXB202406007
Jiaxuan YANG , Chenfa DENG , Jingyang LIU , Chenzexi XU , Hongxin CHEN , Yahui ZHU , Ying LI , Shuhua WANG , Rongping ZHOU , Chao CHEN . Advances in selective hydrogenation of α, β-unsaturated aldehydes/ketones catalyzed by metal-organic frameworks and their derivatives: A review. Chinese Journal of Inorganic Chemistry, 2025, 41(10): 1973-2010. doi: 10.11862/CJIC.20250175
Maitri Bhattacharjee , Rekha Boruah Smriti , R. N. Dutta Purkayastha , Waldemar Maniukiewicz , Shubhamoy Chowdhury , Debasish Maiti , Tamanna Akhtar . Synthesis, structural characterization, bio-activity, and density functional theory calculation on Cu(Ⅱ) complexes with hydrazone-based Schiff base ligands. Chinese Journal of Inorganic Chemistry, 2024, 40(7): 1409-1422. doi: 10.11862/CJIC.20240007
Bin SUN , Heyan JIANG . Glucose-modified bis-Schiff bases: Synthesis and bio-activities in Alzheimer′s disease therapy. Chinese Journal of Inorganic Chemistry, 2025, 41(7): 1338-1350. doi: 10.11862/CJIC.20240428
Xinlong XU , Chunxue JING , Yuzhen CHEN . Bimetallic MOF-74 and derivatives: Fabrication and efficient electrocatalytic biomass conversion. Chinese Journal of Inorganic Chemistry, 2025, 41(8): 1545-1554. doi: 10.11862/CJIC.20250046
Yihui Song , Shangshang Qin , Kai Wu , Chengyun Jin , Bin Yu . 生物化学在高水平创新型药学人才培养中的交叉融合应用——以去甲基化酶LSD1抑制剂的活性评价为例. University Chemistry, 2025, 40(6): 341-352. doi: 10.12461/PKU.DXHX202406018
. . Chinese Journal of Inorganic Chemistry, 2024, 40(12): 0-0.
Xiaowei TANG , Shiquan XIAO , Jingwen SUN , Yu ZHU , Xiaoting CHEN , Haiyan ZHANG . A zinc complex for the detection of anthrax biomarker. Chinese Journal of Inorganic Chemistry, 2024, 40(10): 1850-1860. doi: 10.11862/CJIC.20240173
Zhibei Qu , Changxin Wang , Lei Li , Jiaze Li , Jun Zhang . Organoid-on-a-Chip for Drug Screening and the Inherent Biochemistry Principles. University Chemistry, 2024, 39(7): 278-286. doi: 10.3866/PKU.DXHX202311039
Dan Li , Hui Xin , Xiaofeng Yi . Comprehensive Experimental Design on Ni-based Catalyst for Biofuel Production. University Chemistry, 2024, 39(8): 204-211. doi: 10.3866/PKU.DXHX202312046