Citation: CHANG Qing-hua, LI Hong-jun, CUI Tong-min, FAN Wen-ke, YU Guang-suo, WANG Fu-chen. Effect of moisture content on gas release and pore structure development of wetted Shenfu coal during rapid pyrolysis[J]. Journal of Fuel Chemistry and Technology, ;2017, 45(4): 427-435. shu

Effect of moisture content on gas release and pore structure development of wetted Shenfu coal during rapid pyrolysis

  • Corresponding author: WANG Fu-chen, wfch@ecust.edu.cn
  • Received Date: 28 December 2016
    Revised Date: 27 February 2017

Figures(12)

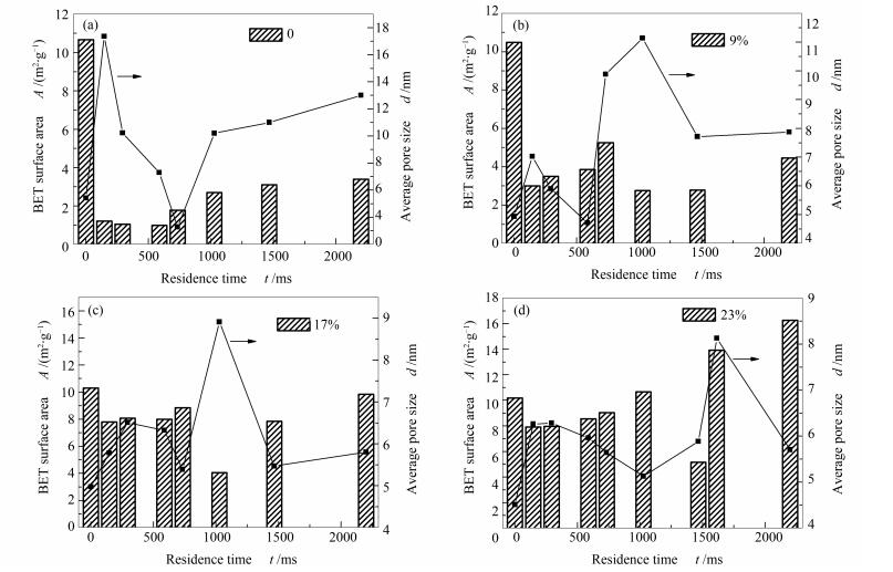
  • The rapid pyrolysis experiments of Shenfu coal with various moisture content prepared by adding water were conducted in a high-frequency furnace to study the influence of moisture content on the thermal behavior. The gas composition and the structure properties of char were analyzed. The result shows that the gas yield and the maximal release rate decrease when the moisture content of coal increases. After pyrolysis, both BET surface and pore volume increase with increasing moisture. Compared to the char from dry coal pyrolysis, the char from pyrolysis of coal with high moisture content has more developed pore structure with more micropores. Furthermore, the moisture can inhabit the occurrence of pore obstruction and collapse during rapid pyrolysis, and also contribute to the enhancement of the surface roughness and the pore structure complexity.
  • 加载中
    1. [1]

      WANG Fu-chen, YU Guang-suo, GONG Xin, LIU Hai-feng, WANG Yi-fei, LIANG Qin-feng. Research and development of large-scale coal gasification technology[J]. Chem Ind Eng Prog, 2009,28(2):173-180.  

    2. [2]

      RAMIN, LESLIE, ISAACS. Drying kinetics of lignite, subbituminous coals, and high-volatile bituminous coals[J]. Energy Fuels, 1990,4(5):448-452. doi: 10.1021/ef00023a007

    3. [3]

      LI X C, SONG H, WANG Q, MEESRI C, WALL T, YU J L. Experimental study on drying and moisture re-adsorption kinetics of an Indonesian low rank coal[J]. J Environ Sci, 2009,21(s1):127-130.  

    4. [4]

      WANG H H. Kinetic analysis of dehydration of a bituminous coal using the TGA technique[J]. Energy Fuels, 2007,21(6):3070-3075. doi: 10.1021/ef070170y

    5. [5]

      PATISSON F, ETIENNE L, HANROT F, ABLITZER D, HOUZELOT J L. Coal pyrolysis in a rotary kiln:Part I. Model of the pyrolysis of a single grain[J]. Metall Mater Trans B, 2000,31(2):381-390. doi: 10.1007/s11663-000-0056-5

    6. [6]

      DING L, ZHOU Z J, DAI Z H, YU G S. Effects of coal drying on the pyrolysis and in-situ gasification characteristics of lignite coals[J]. Appl Energy, 2015,155:660-670. doi: 10.1016/j.apenergy.2015.06.062

    7. [7]

      ZHOU Z J, DING L, WU L, LIN S J, CUI T M, YU G S. Comparison of structure and gasification reactivity of rapid pyrolysis chars of coal water slurries and parent coals[J]. Energy Technol, 2014,2(3):284-291. doi: 10.1002/ente.v2.3

    8. [8]

      HAYASHI J, NORINAGA K, YAMASHITA T, TADATOSHI C. Effect of sorbed water on conversion of coal by rapid pyrolysis[J]. Energy Fuels, 1999,13(3):611-616. doi: 10.1021/ef980186b

    9. [9]

      YIP K, WU H W, ZHANG D K. Effect of inherent moisture in collie coal during pyrolysis due to in-situ steam gasification[J]. Energy Fuels, 2007,21(5):2883-2891. doi: 10.1021/ef7002443

    10. [10]

      CAI Z, CLAYTON S, WU H W, HAYASHI J, LI C Z. Effects of dewatering on the pyrolysis and gasification reactivity of Victorian brown coal[J]. Energy Fuels, 2007,21(2):399-404. doi: 10.1021/ef060404y

    11. [11]

      WU Lei, ZHOU Zhi-jie, WANG Xin-jun, YU Guang-suo, WANG Fu-chen. Structure changes and gasification reactivity of CWS char from Shenfu coal rapid pyrolysis[J]. J Fuel Chem Technol, 2013,41(4):422-429.  

    12. [12]

      CUI Tong-min, LI Chao, ZHOU Zhi-jie, CHANG Qing-hua, GAO Rui, YU Guang-suo, WANG Fu-chen. Rapid pyrolysis characteristic of Shenfu bituminous coal[J]. J Fuel Chem Technol, 2015,43(11):1287-1294.  

    13. [13]

      BUTUZOVA L, MARIA R, KRZTON A, MINKOVA V. The effect of water on the yield and structure of the products of brown coal pyrolysis and hydrogenation[J]. Fuel, 1998,77(6):639-643. doi: 10.1016/S0016-2361(97)00212-3

    14. [14]

      HU Er-feng, ZHANG chun, WU Rong-cheng, FU Xiao-heng, XU Guang-wen. Pyrolysis of coal with different moisture contents in fixed-bed reactor with internals[J]. CIESC J, 2015,66(7):2656-2663.  

    15. [15]

      PRATIONOA W, ZHANG J, CUI J F, WANG Y T, ZHANG L. Influence of inherent moisture on the ignition and combustion of wet Victorian brown coal in air-firing and oxy-fuel modes:Part 1:The volatile ignition and flame propagation[J]. Fuel Process Technol, 2015,138:670-679. doi: 10.1016/j.fuproc.2015.07.008

    16. [16]

      LIU Hui, WU Shao-hua, SUN Rui, XU Rui, QIU Peng-hua, LI Ke-fu, QIN Yu-kun. Specific area and pore structure of lignite char under the condition of fast pyrolysis[J]. Proc CSEE, 2005,25(12):86-90.  

    17. [17]

      XIE Ke-chang. Coal Structure and Its Reactivity[M]. Beijing:Science Press, 2002.

    18. [18]

      YAO Y, LIU D, TANG D, TANG S, HUANG W. Fractal characterization of adsorption-pores of coals from North China:An investigation on CH4 adsorption capacity of coals[J]. Int J Coal Geol, 2008,73(1):27-42. doi: 10.1016/j.coal.2007.07.003

    19. [19]

      PYUN S I, RHEE C K. An investigation of fractal characteristics of mesoporous carbon electrodes with various pore structures[J]. Electrochim Acta, 2004,49(24):4171-4780. doi: 10.1016/j.electacta.2004.04.012

    20. [20]

      PFEIFER P, AVNIR D. Chemistry nonintegral dimensions between two and three[J]. Chem Phys, 1983,79(7):3369-3558.  

    21. [21]

      XU Shen-qi. Gasification kinetics study of coal char and unburned carbon in slag[D]. Shanghia:East China University of Science and Technology, 2010.

  • 加载中
    1. [1]

      Jingjing LiuAoqi WeiHao ZhangShuwang Duo . SnS2-based heterostructures: advances in photocatalytic and gas-sensing applications. Acta Physico-Chimica Sinica, 2025, 41(12): 100185-0. doi: 10.1016/j.actphy.2025.100185

    2. [2]

      Ruoxi RUNJikai ZHULixia HANZhiyin XIAOXiujuan JIANGJing JIN . Red light-induced CO-release from manganese carbonyl complexes. Chinese Journal of Inorganic Chemistry, 2025, 41(12): 2575-2583. doi: 10.11862/CJIC.20250132

    3. [3]

      Yahui HANJinjin ZHAONing RENJianjun ZHANG . Synthesis, crystal structure, thermal decomposition mechanism, and fluorescence properties of benzoic acid and 4-hydroxy-2, 2′: 6′, 2″-terpyridine lanthanide complexes. Chinese Journal of Inorganic Chemistry, 2025, 41(5): 969-982. doi: 10.11862/CJIC.20240395

    4. [4]

      Fang Niu Rong Li Qiaolan Zhang . Analysis of Gas-Solid Adsorption Behavior in Resistive Gas Sensing Process. University Chemistry, 2024, 39(8): 142-148. doi: 10.3866/PKU.DXHX202311102

    5. [5]

      Jiali CHENGuoxiang ZHAOYayu YANWanting XIAQiaohong LIJian ZHANG . Machine learning exploring the adsorption of electronic gases on zeolite molecular sieves. Chinese Journal of Inorganic Chemistry, 2025, 41(1): 155-164. doi: 10.11862/CJIC.20240408

    6. [6]

      Zengbo Ke Baoyue Cao Xiaojie Hou Youying Di Shengli Gao . Exploration of Rare Gases in the Solar System. University Chemistry, 2025, 40(10): 130-155. doi: 10.12461/PKU.DXHX202410073

    7. [7]

      Wanzhang Zhang Yalan Zhong Chi Huang . Improved Calibration Method for Wet Gas Flowmeters. University Chemistry, 2025, 40(11): 254-262. doi: 10.12461/PKU.DXHX202412121

    8. [8]

      Di Yang Jiayi Wei Hong Zhai Xin Wang Taiming Sun Haole Song Haiyan Wang . Rapid Detection of SARS-CoV-2 Using an Innovative “Magic Strip”. University Chemistry, 2024, 39(4): 373-381. doi: 10.3866/PKU.DXHX202312023

    9. [9]

      Rohit KumarAnita SudhaikAftab Asalam Pawaz KhanVan Huy NeguyenArchana SinghPardeep SinghSourbh ThakurPankaj Raizada . Designing tandem S-scheme photo-catalytic systems: Mechanistic insights, characterization techniques, and applications. Acta Physico-Chimica Sinica, 2025, 41(11): 100150-0. doi: 10.1016/j.actphy.2025.100150

    10. [10]

      Zhi FANGLiang SUNMingze ZHENGWenhao SHENGHongliang HUANGChongli ZHONG . An aluminum-based metal-organic framework with slit pores for the efficient separation and recovery of electronic specialty gas C3F8. Chinese Journal of Inorganic Chemistry, 2025, 41(10): 2054-2062. doi: 10.11862/CJIC.20250096

    11. [11]

      Zhuomin Zhang Hanbing Huang Liangqiu Lin Jingsong Liu Gongke Li . Course Construction of Instrumental Analysis Experiment: Surface-Enhanced Raman Spectroscopy for Rapid Detection of Edible Pigments. University Chemistry, 2024, 39(2): 133-139. doi: 10.3866/PKU.DXHX202308034

    12. [12]

      Min Gu Huiwen Xiong Liling Liu Jilie Kong Xueen Fang . Rapid Quantitative Detection of Procalcitonin by Microfluidics: An Instrumental Analytical Chemistry Experiment. University Chemistry, 2024, 39(4): 87-93. doi: 10.3866/PKU.DXHX202310120

    13. [13]

      Kexin YanZhaoqi YeLingtao KongHe LiXue YangYahong ZhangHongbin ZhangYi Tang . Seed-Induced Synthesis of Disc-Cluster Zeolite L Mesocrystals with Ultrashort c-Axis: Morphology Control, Decoupled Mechanism, and Enhanced Adsorption. Acta Physico-Chimica Sinica, 2024, 40(9): 2308019-0. doi: 10.3866/PKU.WHXB202308019

    14. [14]

      Zhuo WANGJunshan ZHANGShaoyan YANGLingyan ZHOUYedi LIYuanpei LAN . Preparation and photocatalytic performance of CeO2-reduced graphene oxide by thermal decomposition. Chinese Journal of Inorganic Chemistry, 2024, 40(9): 1708-1718. doi: 10.11862/CJIC.20240067

    15. [15]

      Yang Lv Yingping Jia Yanhua Li Hexiang Zhong Xinping Wang . Integrating the Ideological Elements with the “Chemical Reaction Heat” Teaching. University Chemistry, 2024, 39(11): 44-51. doi: 10.12461/PKU.DXHX202402059

    16. [16]

      Yang ZHOULili YANWenjuan ZHANGPinhua RAO . Thermal regeneration of biogas residue biochar and the ammonia nitrogen adsorption properties. Chinese Journal of Inorganic Chemistry, 2025, 41(8): 1574-1588. doi: 10.11862/CJIC.20250032

    17. [17]

      Zehua Zhao Xiaoyan An Jinrong Xu Ling Yang Hao Zhao Zhongyun Wu . Independent Development and Application of Calorimetric Experiment Data Acquisition and Processing Software. University Chemistry, 2025, 40(11): 402-408. doi: 10.12461/PKU.DXHX202505045

    18. [18]

      Jingjie Tang Luying Xie Jiayu Liu Shangyu Shi Xinyu Sun Jiayang Lin Qikun Yang Chuan'ang Yu Zecheng Wang Yingying Wang Zengyang Xie . Efficient Rapid Synthesis and Antibacterial Activities of Tosylhydrazones: A Recommended Innovative Chemistry Experiment for Undergraduate Medical University. University Chemistry, 2024, 39(3): 316-326. doi: 10.3866/PKU.DXHX202309091

    19. [19]

      Limei CHENMengfei ZHAOLin CHENDing LIWei LIWeiye HANHongbin WANG . Preparation and performance of paraffin/alkali modified diatomite/expanded graphite composite phase change thermal storage material. Chinese Journal of Inorganic Chemistry, 2024, 40(3): 533-543. doi: 10.11862/CJIC.20230312

    20. [20]

      Yuting BaiCenqi YanZhen LiJiaqiang QinPei Cheng . Preparation of High-Strength Polyimide Porous Films with Thermally Closed Pore Property by In Situ Pore Formation Method. Acta Physico-Chimica Sinica, 2024, 40(9): 2306010-0. doi: 10.3866/PKU.WHXB202306010

Metrics
  • PDF Downloads(1)
  • Abstract views(1969)
  • HTML views(436)

通讯作者: 陈斌, bchen63@163.com
  • 1. 

    沈阳化工大学材料科学与工程学院 沈阳 110142

  1. 本站搜索
  2. 百度学术搜索
  3. 万方数据库搜索
  4. CNKI搜索
Address:Zhongguancun North First Street 2,100190 Beijing, PR China Tel: +86-010-82449177-888
Powered By info@rhhz.net

/

DownLoad:  Full-Size Img  PowerPoint
Return