Citation: LI Yang, LIU Bing, YANG He, YANG Da-wei, HU Hao-quan. Removal of elemental mercury (Hg0) from simulated flue gas over MnOx-TiO2 sorbents[J]. Journal of Fuel Chemistry and Technology, ;2020, 48(5): 513-524. shu

Removal of elemental mercury (Hg0) from simulated flue gas over MnOx-TiO2 sorbents

  • Corresponding author: LI Yang, yli@dlut.edu.cn
  • Received Date: 13 January 2020
    Revised Date: 23 March 2020

    Fund Project: National Natural Science Foundation for Young Scientist of China 51306028the National Natural Science Foundation of China 21776039the Fundamental Research Funds for the Central Universities DUT2018TB0The project was supported by the National Natural Science Foundation of China (21776039), National Natural Science Foundation for Young Scientist of China (51306028) and the Fundamental Research Funds for the Central Universities (DUT2018TB0)

Figures(13)

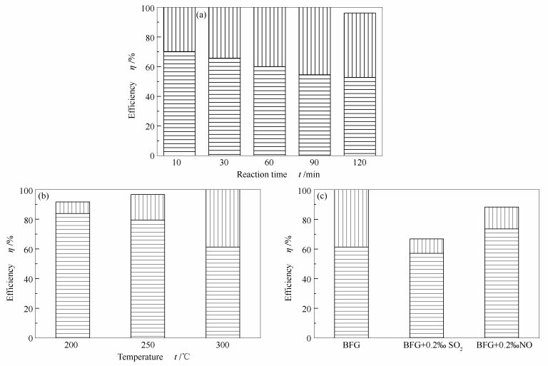
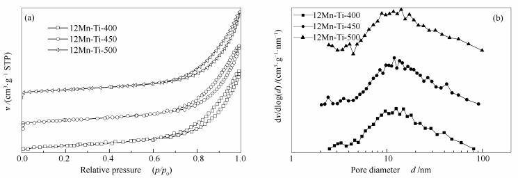
  • A series of MnOx modified TiO2 based sorbents were synthesized using wet impregnation method and its performance on elemental mercury (Hg0) removal was studied. The effects of loading amount, calcination temperature, reaction temperature, and flue gas compositions on mercury removal efficiency were investigated. The sorbents were characterized by TGA, N2 adsorption-desorption, XRD, FT-IR, XPS and Hg-TPD. It was shown that the optimum MnOx loading value was 12%, and the optimal calcination and reaction temperature were 450 and 300 ℃, respectively. The highest mercury removal efficiency of MnOx-TiO2 sorbent was 98.46%. O2 and HCl in flue gas played a positive role in mercury removal. SO2 had a strong inhibitory effect on mercury removal, which may be due to the competition adsorption between SO2 and Hg0. At the same time, the manganese sulfate produced during the reaction covered the surface of the active site, resulting in the decrease in mercury removal efficiency. CO2 and NO in flue gas also slightly inhibited mercury removal. Mn4+ participated in oxidizing Hg0 to Hg2+, accompanied with its reduction to Mn3+. The adsorption and oxidation process of Hg0 over MnOx-TiO2 basically conformed to the Mars-Maessen mechanism and Langmuir-Hinshelwood mechanism.
  • 加载中
    1. [1]

      ZHENG Chu-guang, ZHANG Jun-ying, ZHAO Yong-chun, LIU Jing, GUO Xin. Emission and Control of Mercury from Coal Combustion[M]. Beijing:Science Press, 2010.

    2. [2]

      FENG Xin-bin, QIU Guang-le, FU Xue-wu, HE Tian-rong, LI Ping, WANG Shao-feng. Mercury pollution in the environment[J]. Prog Chem, 2009,21(2):436-457.  

    3. [3]

      WU Y, WANG S X, STREETS D G, HAO J M, CHAN M, JIANG J K. Trends in anthropogenic mercury emissions in China from 1995 to 2003[J]. Environ Sci Technol, 2006,40(17):5312-5318. doi: 10.1021/es060406x

    4. [4]

      STREETS D G, HAO J M, WU Y, JIANG J K, CHAN M, TIAN H Z, FENG X B. Anthropogenic mercury emissions in China[J]. Atmos Environ, 2005,39(40):7789-7806. doi: 10.1016/j.atmosenv.2005.08.029

    5. [5]

      HU D, ZHANG W, CHEN L, CHEN C, OU L B, TONG Y D, WEI W, LONG W J, WANG X J. Mercury emissions from waste combustion in China from 2004 to 2010[J]. Atmos Environ, 2012,62:359-366. doi: 10.1016/j.atmosenv.2012.08.061

    6. [6]

      SENIOR C L, HRLBLE J J, SAROFIM A F. Emissions of mercury, trace elements, and fine particles from stationary combustion sources[J]. Fuel Process Technol, 2000,65/66:263-288. doi: 10.1016/S0378-3820(00)00082-5

    7. [7]

      GALBREATH K C, ZYGARLICKE C J. Mercury transformations in coal combustion flue gas[J]. Fuel Process Technol, 2000,65-66:289-310. doi: 10.1016/S0378-3820(99)00102-2

    8. [8]

      WANG Yun-jun, DUAN Yu-feng, YANG Li-guo, MENG Su-li, HUANG Zhi-jun, WU Cheng-jun, WANG Qian. Experimental study on mercury removal by combined wet flue gas desulphurization with electrostatic precipitator[J]. Proc CSEE, 2008,28(29):64-69. doi: 10.3321/j.issn:0258-8013.2008.29.012

    9. [9]

      HU Chang-xing, ZHOU Jin-song, LUO Zhong-yang, GAO Hong-liang, WANG Qin-hui, CEN Ke-fa. Factors affecting amount of activated carbon injection for flue gas mercury control[J]. J Chem Ind Eng (China), 2005,56(11):140-145.  

    10. [10]

      SJOSTROM S, DURHAM M, BUSTARD C J, MARTIN C. Activated carbon injection for mercury control:Overview[J]. Fuel, 2010,89(6):1320-1322. doi: 10.1016/j.fuel.2009.11.016

    11. [11]

      DING F, ZHAO Y C, MI L L, LI H L, LI Y, ZHANG J Y. Removal of gas-phase elemental mercury in flue gas by inorganic chemically promoted natural mineral sorbents[J]. Ind Eng Chem Res, 2012,51(7):3039-3047. doi: 10.1021/ie202231r

    12. [12]

      REN Jian-li, ZHOU Jin-song, LUO Zhong-yang, HU Chang-xing, ZHONG Ying-jie. The application of novel sorbents for mercury vapor removal from simulated flue gases[J]. Proc CSEE, 2007,27(2):48-53. doi: 10.3321/j.issn:0258-8013.2007.02.010

    13. [13]

      SHAO H Z, LIU X W, ZHOU Z J, ZHAO B, CHEN Z G, XU M H. Elemental mercury removal using a novel KI modified bentonite supported by starch sorbent[J]. Chem Eng J, 2016,291:306-316. doi: 10.1016/j.cej.2016.01.090

    14. [14]

      SHI Dong-lei, QIAO Ren-jing, XU Qi. Preparation of acid modified attapulgite and its performance of mercury removal[J]. Chin J Syn Chem, 2015,23(8):720-724.  

    15. [15]

      ZHANG An-chao, XIANG Jun, SUN Lu-shi, HU Song, FU Peng, CHENG Wei, QIU Jian-rong. Synthesis and characterization of novel modified sorbents and their performance for elemental mercury removal[J]. CIESC J, 2009,60(6):1546-1553. doi: 10.3321/j.issn:0438-1157.2009.06.032

    16. [16]

      HE J, REDDY G K, THIEL S W, SMIRNIOTIS P G, PINTO N G. Ceria-modified manganese oxide/titania materials for removal of elemental and oxidized mercury from flue gas[J]. J Phys Chem C, 2011,115(49):24300-24309. doi: 10.1021/jp208768p

    17. [17]

      ZHANG X P, CUI Y Z, TAN B J, WANG J X, LI Z F, HE G H. The adsorption and catalytic oxidation of the element mercury over cobalt modified Ce-ZrO2 catalyst[J]. RSC Adv, 2016,6(91):88332-88339. doi: 10.1039/C6RA19450H

    18. [18]

      DU W, YIN L B, ZHUO Y Q, XU Q S, ZHANG L, CHEN C H. Performance of CuOx-neutral Al2O3 sorbents on mercury removal from simulated coal combustion flue gas[J]. Fuel Process Technol, 2015,131:403-408. doi: 10.1016/j.fuproc.2014.11.039

    19. [19]

      WU Z B, JIANG B Q, LIU Y. Effect of transition metals addition on the catalyst of manganese/titania for low-temperature selective catalytic reduction of nitric oxide with ammonia[J]. App Catal B:Environ, 2008,79(4):347-355. doi: 10.1016/j.apcatb.2007.09.039

    20. [20]

      XIE Jiang-kun. Study of manganese-based binary-metal oxides and their capability for gaseous elemental mercury capture[D].Shanghai: Shanghai Jiao Tong University, 2013. 

    21. [21]

      ZHANG S B, ZHAO Y C, WANG Z H, ZHANG J Y, WANG L L, ZHENG C G. Integrated removal of NO and mercury from coal combustion flue gas using manganese oxides supported on TiO2[J]. J Environ Sci, 2017,53:141-150. doi: 10.1016/j.jes.2015.10.038

    22. [22]

      LI H L, WU C Y, LI Y, ZHANG J Y. Superior activity of MnOx-CeO2/TiO2 catalyst for catalytic oxidation of elemental mercury at low flue gas temperatures[J]. App Catal B:Environ, 2012,111/112:381-388. doi: 10.1016/j.apcatb.2011.10.021

    23. [23]

      LIU Ying, GE Pei-wen, SU Shao-kui, ZHANG Li-juan, WANG Yun-ping. Thermal analysis and structure transformation of Mn12-Ac magnetic molecular crystals[J]. Acta Phys Sin, 2004,53(11):4015-4020.  

    24. [24]

      LIAO Wei-ping, YANG Liu, WANG Fei, HU Yu-feng, SHENG Zhong-yi. Performance study for low-temperature SCR catalysts based on Mn-Ce prepared by different methods[J]. Acta Chim Sin, 2011,69(22):2723-2728.  

    25. [25]

      LIU Na, HE Feng, XIE Jun-lin, HU Hua, LI Feng-xiang, FANG De. Catalytic performance of Fe-doped Mn/TiO2 catalysts for low-temperature denitration[J]. J Syn Crys, 2017,46(3):490-494. doi: 10.3969/j.issn.1000-985X.2017.03.019

    26. [26]

      XIE J K, YAN N Q, YANG S J, QU Z, CHEN W M, ZHANG W Q, LI K H, LIU P, JIA J P. Synthesis and characterization of nano-sized Mn-TiO2 catalysts and their application to removal of gaseous elemental mercury[J]. Res Chem Intermed, 2012,38(9):2511-2522. doi: 10.1007/s11164-012-0568-z

    27. [27]

      JENSEN H, SOLOVIEV A, LI Z S, SΦGAARD E G. XPS and FTIR investigation of the surface properties of different prepared titania nano-powders[J]. Appl Sur Sci, 2005,246(1):239-249.  

    28. [28]

      ZHANG A C, XING W B, ZHANG Z H, MENG F M, LIU Z C, XIANG J, SUN L S. Promotional effect of SO2 on CeO2-TiO2 material for elemental mercury removal at low temperature[J]. Atmos Pollut Res, 2016,7(5):895-902. doi: 10.1016/j.apr.2016.05.003

    29. [29]

      OSEGHE E O, NDUNGU P G, JONNALAGADDA S B. Synthesis of mesoporous Mn/TiO2 nanocomposites and investigating the photocatalytic properties in aqueous systems[J]. Environ Sci Pollut Res Inter, 2014,22(1)211.  

    30. [30]

      ZHU Shao-wen, SHEN Bo-xiong, CHI Gui-long, ZHANG Xiao. Low-temperature SCR of NO over Fe and Co co-doped Mn-Ce/TiO2 catalyst[J]. Chin J Environ Eng, 2017,11(6):3633-3639.  

    31. [31]

      ZHANG X, SHEN B X, SHEN F, ZHANG X Q, SI M, YUAN P. The behavior of the manganese-cerium loaded metal-organic framework in elemental mercury and NO removal from flue gas[J]. Chem Eng J, 2017,326:551-560. doi: 10.1016/j.cej.2017.05.128

    32. [32]

      ZHOU Q, LEI Y, LIU Y B, TAO X, LU P, DUAN Y F, WANG Y J. Gaseous elemental mercury removal by magnetic Fe-Mn-Ce sorbent in simulated flue gas[J]. Energy Fuels, 2018,32(12):12780-12786. doi: 10.1021/acs.energyfuels.8b03445

    33. [33]

      KANG M, PARK E D, KIM J M, YIE J E. Manganese oxide catalysts for NOx reduction with NH3 at low temperatures[J]. Appl Catal A:Gen, 2007,327(2):261-269. doi: 10.1016/j.apcata.2007.05.024

    34. [34]

      LI Hai-long. Catalytic oxidation of elemental mercury over novel SCR catalysts[D]. Wuhan: Huazhong University of Science and Technology, 2011. 

    35. [35]

      YANG S J, QI F H, XIONG S C, DANG H, LIAO Y, WONG P K, LI J H. MnOx supported on Fe-Ti spinel:A novel Mn based low temperature SCR catalyst with a high N2 selectivity[J]. Appl Catal B:Environ, 2016,181:570-580. doi: 10.1016/j.apcatb.2015.08.023

    36. [36]

      YANG S J, GUO Y F, YAN N Q, QU Z, XIE J K, YANG C, JIA J P. Capture of gaseous elemental mercury from flue gas using a magnetic and sulfur poisoning resistant sorbent Mn/γ-Fe2O3 at lower temperatures[J]. J Hazard Mater, 2011,186(1):508-515. doi: 10.1016/j.jhazmat.2010.11.034

    37. [37]

      LI H H, WANG Y, WANG S K, WANG X, HU J J. Removal of elemental mercury in flue gas at lower temperatures over Mn-Ce based materials prepared by co-precipitation[J]. Fuel, 2017,208:576-586. doi: 10.1016/j.fuel.2017.07.061

    38. [38]

      ZHOU Qi-qi, WANG Xue-qian, NING Ping, HUANG Hong-qi, TAO Lei. Adsorption performance of elemental mercury on MOFs modified with FeCl3 at low temperatures[J]. Res Environ Sci, 2018,31(3):528-536.  

    39. [39]

      WANG Hong-yan, WANG Bao-dong, LI Jun-hua, SUN Qi. Progress in catalytic oxidation technology for element mercury in coal-fired flue gas[J]. Mater Rev, 2017,31(7):114-120.  

    40. [40]

      LIU D J, ZHOU W G, WU J. Effect of Ce and La on the activity of CuO/ZSM-5 and MnOx/ZSM-5 composites for elemental mercury removal at low temperature[J]. Fuel, 2017,194:115-122. doi: 10.1016/j.fuel.2016.12.076

    41. [41]

      DESHETTI J, SAMUEL J I, YLIAS M S, BENJARAM M R, SURESH K B. Highly efficient nanosized Mn and Fe codoped ceria-based solid solutions for elemental mercury removal at low flue gas temperatures[J]. Catal Sci Technol, 2015,5(5):2913-2924. doi: 10.1039/C5CY00231A

    42. [42]

      QIAO S H, CHEN J, LI J F, QU Z, LIU P, YAN N Q, JIA J P. Adsorption and catalytic oxidation of gaseous elemental mercury in flue gas over MnOx/Alumina[J]. Ind Eng Chem Res, 2009,48(7):3317-3322. doi: 10.1021/ie801478w

    43. [43]

      ZHANG S B, ZHAO Y C, YANG J P, ZHANG Y, SUN P, YU X H, ZHANG J Y, ZHENG C G. Simultaneous NO and mercury removal over MnOx/TiO2 catalyst in different atmospheres[J]. Fuel Process Technol, 2017,166:282-290. doi: 10.1016/j.fuproc.2017.06.011

    44. [44]

      TAO S S, LI C T, FAN X P, ZENG G M, LU P, ZHANG X, WEN Q B, ZHAO W W, LUO D Q, FAN C Z. Activated coke impregnated with cerium chloride used for elemental mercury removal from simulated flue gas[J]. Chem Eng J, 2012,210:547-556. doi: 10.1016/j.cej.2012.09.028

    45. [45]

      CHEN W M, PEI Y, HUANG W J, QU Z, HU X F, YAN N Q. Novel effective catalyst for elemental mercury removal from coal-fired flue gas and the mechanism investigation[J]. Environ Sci Technol, 2016,50(5):2564-2572. doi: 10.1021/acs.est.5b05564

    46. [46]

      ZHU Lei, LI Hai-long, ZHAO Yong-chun, ZHANG Jun-ying. Experimental study on Hg0 adsorption by nano-ZnS[J]. J Eng Thermo, 2017,38(1):203-207.  

    47. [47]

      YUAN Yuan, ZHANG Jun-ying, ZHAO Yong-chun, WANG Yu-xiang, ZHENG Chu-guang. Effects of SO2 and NO on removal of elemental mercury using a TiO2-aluminum silicate fiber[J]. J Fuel Chem Technol, 2012,40(5):630-635. doi: 10.3969/j.issn.0253-2409.2012.05.020 

    48. [48]

      KONG Fan-hai. Study on experimental and mechanism of mercury removal from flue gas with Fe based nano-sorbents[D].Wuhan: Huazhong University of Science and Technology, 2010. 

    49. [49]

      WANG Jun-wei, ZHANG Qing-ping, SHEN Yuan-yuan, DONG Yan-jie, ZHANG Xian-long, QIN Wei, ZHANG Yuan-guang. Removal of vapor-phase Hg0 over a CuO/PG catalyst[J]. Environ Chem, 2017,36(5):1097-1103.  

    50. [50]

      ZHAO L K, LI C T, ZHANG X N, ZENG G M, ZHANG J, XIE Y E. A review on oxidation of elemental mercury from coal-fired flue gas with selective catalytic reduction catalysts[J]. Catal Sci Technol, 2015,5(7):3459-3472. doi: 10.1039/C5CY00219B

    51. [51]

      LI H L, WU C Y, LI Y, LI L Q, ZHAO Y C, ZHANG J Y. Role of flue gas components in mercury oxidation over TiO2 supported MnOx-CeO2 mixed-oxide at low temperature[J]. J Hazard Mater, 2012,243:117-123. doi: 10.1016/j.jhazmat.2012.10.007

    52. [52]

      WU Y H, XU W Q, YANG Y, WANG J, ZHU T Y. Support effect of Mn-based catalysts for gaseous elemental mercury oxidation and adsorption[J]. Catal Sci Technol, 2018,8(1):236-297. doi: 10.1039/C7CY01351E

    53. [53]

      LOPEZ-ANTON M A, YUAN Y, PERRY R, MAROTO-VALER M M. Analysis of mercury species present during coal combustion by thermal desorption[J]. Fuel, 2010,89(3):629-634.  

    54. [54]

      YANG Ying-ju, ZHANG Bao-hua, LIU Jing, WANG Zhen, MIAO Sen. Mercury removal by recyclable and regenerable CuxMn(3-x)O4 spinel-type sorbents[J]. J Combus Sci Technol, 2017,23(6):511-515.  

    55. [55]

      EVAN J, GRANITE , PENNLINE H W, HARGIS R A. Novel sorbents for mercury removal from flue gas[J]. Ind Eng Chem Res, 2000,39:1020-1029. doi: 10.1021/ie990758v

  • 加载中
    1. [1]

      Xiaoyao YINWenhao ZHUPuyao SHIZongsheng LIYichao WANGNengmin ZHUYang WANGWeihai SUN . Fabrication of all-inorganic CsPbBr3 perovskite solar cells with SnCl2 interface modification. Chinese Journal of Inorganic Chemistry, 2025, 41(3): 469-479. doi: 10.11862/CJIC.20240309

    2. [2]

      Zongsheng LIYichao WANGYujie WANGWenhao ZHUXiaoyao YINWudan YANGSongzhi ZHENGWeihai SUN . Preparation of CsPbBr3 perovskite solar cells via bottom interface modification with methylammonium chloride. Chinese Journal of Inorganic Chemistry, 2025, 41(9): 1805-1816. doi: 10.11862/CJIC.20250066

    3. [3]

      Kun JIANGYutong XUEKelin LIUMiao WANGTongming SUNYanfeng TANG . CeVO4 hollow microspheres: Fabrication and adsorption performance for dyes. Chinese Journal of Inorganic Chemistry, 2025, 41(11): 2229-2236. doi: 10.11862/CJIC.20250223

    4. [4]

      Hongye Bai Lihao Yu Jinfu Xu Xuliang Pang Yajie Bai Jianguo Cui Weiqiang Fan . Controllable Decoration of Ni-MOF on TiO2: Understanding the Role of Coordination State on Photoelectrochemical Performance. Chinese Journal of Structural Chemistry, 2023, 42(10): 100096-100096. doi: 10.1016/j.cjsc.2023.100096

    5. [5]

      Zhiqiang WangYajie GaoTianjun WangWei ChenZefeng RenXueming YangChuanyao Zhou . Photocatalyzed oxidation of water on oxygen pretreated rutile TiO2(110). Chinese Chemical Letters, 2025, 36(4): 110602-. doi: 10.1016/j.cclet.2024.110602

    6. [6]

      Jiatong LiLinlin ZhangPeng HuangChengjun Ge . Carbon bridge effects regulate TiO2–acrylate fluoroboron coatings for efficient marine antifouling. Chinese Chemical Letters, 2025, 36(2): 109970-. doi: 10.1016/j.cclet.2024.109970

    7. [7]

      Cailiang YueNan SunYixing QiuLinlin ZhuZhiling DuFuqiang Liu . A direct Z-scheme 0D α-Fe2O3/TiO2 heterojunction for enhanced photo-Fenton activity with low H2O2 consumption. Chinese Chemical Letters, 2024, 35(12): 109698-. doi: 10.1016/j.cclet.2024.109698

    8. [8]

      Maosen XuPengfei ZhuQinghong CaiMeichun BuChenghua ZhangHong WuYouzhou HeMin FuSiqi LiXingyan LiuIn-situ fabrication of TiO2/NH2−MIL-125(Ti) via MOF-driven strategy to promote efficient interfacial effects for enhancing photocatalytic NO removal activity. Chinese Chemical Letters, 2024, 35(10): 109524-. doi: 10.1016/j.cclet.2024.109524

    9. [9]

      Xinyue HanYunhan YangJiayin LuYuxiang LinDongxue ZhangLing LinLiang Qiao . Efficient serum lipids profiling by TiO2-dopamin-assisted MALDI-TOF MS for breast cancer detection. Chinese Chemical Letters, 2025, 36(5): 110183-. doi: 10.1016/j.cclet.2024.110183

    10. [10]

      Bing LIUHuang ZHANGHongliang HANChangwen HUYinglei ZHANG . Visible light degradation of methylene blue from water by triangle Au@TiO2 mesoporous catalyst. Chinese Journal of Inorganic Chemistry, 2024, 40(5): 941-952. doi: 10.11862/CJIC.20230398

    11. [11]

      Shuxian HeFei ShenJiahong ZouPeng ChengWenyang FuYan ZouLing ChenXiaoshu LvGuangming Jiang . Insight into electrocatalytic nitrate reduction to ammonia on titanium oxide: Synergistic effects of crystalline phase and surface oxygen defects. Chinese Chemical Letters, 2026, 37(3): 111397-. doi: 10.1016/j.cclet.2025.111397

    12. [12]

      Jianan Zhang Mengzhen Xu Jiamin Liu Yufei He . 面向“双碳”目标的脱氯吸附剂开发研究型综合实验设计. University Chemistry, 2025, 40(6): 248-255. doi: 10.12461/PKU.DXHX202408068

    13. [13]

      Wenlong WangWentao HaoLang HeJia QiaoNing LiChaoqiu ChenYong Qin . Bandgap and adsorption engineering of carbon dots/TiO2 S-scheme heterojunctions for enhanced photocatalytic CO2 methanation. Acta Physico-Chimica Sinica, 2025, 41(9): 100116-0. doi: 10.1016/j.actphy.2025.100116

    14. [14]

      Peng YUELiyao SHIJinglei CUIHuirong ZHANGYanxia GUO . Effects of Ce and Mn promoters on the selective oxidation of ammonia over V2O5/TiO2 catalyst. Chinese Journal of Inorganic Chemistry, 2025, 41(2): 293-307. doi: 10.11862/CJIC.20240210

    15. [15]

      Jiali LeiJuan WangWenhui ZhangGuohong WangZihui LiangJinmao Li . TiO2/CdIn2S4 S-scheme heterojunction photocatalyst promotes photocatalytic hydrogen evolution coupled vanillyl alcohol oxidation. Acta Physico-Chimica Sinica, 2025, 41(12): 100174-0. doi: 10.1016/j.actphy.2025.100174

    16. [16]

      Qin′ai FENGJianjun LILili ZHANGLinxin WUHuiling WANGWenjing HOULei WANGMingjie REN . Amphiphilic surface modification of magnetic adsorbents and its adsorption properties of two microplastics. Chinese Journal of Inorganic Chemistry, 2026, 42(4): 789-807. doi: 10.11862/CJIC.20250208

    17. [17]

      Ning CHENJingle CHENHongyuan ZHUHuali CHENLiguang WUTing WANG . Mechanism and performance regulation of Co/Zr-doped mesoporous TiO2 catalysts in activating sodium persulfate for tetracycline degradation. Chinese Journal of Inorganic Chemistry, 2026, 42(3): 507-518. doi: 10.11862/CJIC.20250275

    18. [18]

      Qianqian Zhong Yucui Hao Guotao Yu Lijuan Zhao Jingfu Wang Jian Liu Xiaohua Ren . Comprehensive Experimental Design for the Preparation of the Magnetic Adsorbent Based on Enteromorpha Prolifera and Its Utilization in the Purification of Heavy Metal Ions Wastewater. University Chemistry, 2024, 39(8): 184-190. doi: 10.3866/PKU.DXHX202312013

    19. [19]

      Fanxin Kong Hongzhi Wang Huimei Duan . Inhibition effect of sulfation on Pt/TiO2 catalysts in methane combustion. Chinese Journal of Structural Chemistry, 2024, 43(5): 100287-100287. doi: 10.1016/j.cjsc.2024.100287

    20. [20]

      Linlu BaiWensen LiXiaoyu ChuHaochun YinYang QuEkaterina KozlovaZhao-Di YangLiqiang Jing . Effects of nanosized Au on the interface of zinc phthalocyanine/TiO2 for CO2 photoreduction. Chinese Chemical Letters, 2025, 36(2): 109931-. doi: 10.1016/j.cclet.2024.109931

Metrics
  • PDF Downloads(9)
  • Abstract views(1459)
  • HTML views(213)

通讯作者: 陈斌, bchen63@163.com
  • 1. 

    沈阳化工大学材料科学与工程学院 沈阳 110142

  1. 本站搜索
  2. 百度学术搜索
  3. 万方数据库搜索
  4. CNKI搜索
Address:Zhongguancun North First Street 2,100190 Beijing, PR China Tel: +86-010-82449177-888
Powered By info@rhhz.net

/

DownLoad:  Full-Size Img  PowerPoint
Return