Citation: Xue Liangmin, Wang Meng, Liu Junyi, Zhang Zhili. Cyclization Reaction of Pyridanopurine Derivatives as Novel Antifolate[J]. Chemistry, ;2018, 81(7): 653-656. shu

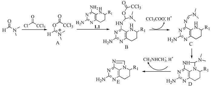
Cyclization Reaction of Pyridanopurine Derivatives as Novel Antifolate

  • Corresponding author: Zhang Zhili, lilybmu@bjmu.edu.cn
  • Received Date: 19 March 2018
    Accepted Date: 7 May 2018

Figures(4)

Metrics
  • PDF Downloads(3)
  • Abstract views(1667)
  • HTML views(812)

通讯作者: 陈斌, bchen63@163.com
  • 1. 

    沈阳化工大学材料科学与工程学院 沈阳 110142

  1. 本站搜索
  2. 百度学术搜索
  3. 万方数据库搜索
  4. CNKI搜索
Address:Zhongguancun North First Street 2,100190 Beijing, PR China Tel: +86-010-82449177-888
Powered By info@rhhz.net

/

DownLoad:  Full-Size Img  PowerPoint
Return