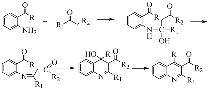
Online Monitoring of Friedländer Reaction Using Extractive Electrospray Ionization Tandem Mass Spectrometry
- Corresponding author: Xie Zongbo, zbxie@ecit.cn Le Zhanggao, zhgle@ecit.edu.cn
Citation:
Yang Xiaoli, Xie Zongbo, Zhou Peng, Ai Feng, Le Zhanggao. Online Monitoring of Friedländer Reaction Using Extractive Electrospray Ionization Tandem Mass Spectrometry[J]. Chemistry,
;2018, 81(5): 445-449.
G A Ramann, B J Cowen. Tetrahed. Lett., 2015, 56(46):6436~6439.
F Tufail, M Saquib, S Singh et al. New J. Chem., 2017, 41(4):1618~1624.
A Watanabe, C Watanabe, R R Freeman et al. Anal. Chem., 2016, 88(10):5462~5468.
M Behrends, J Sävmarker, P J R Sjöberg et al. ACS Catal., 2011, 1(1):1455~1459.
Y Zhou, Y Wu, M Yao et al. Anal. Chem., 2016, 88(24):12060~12065.
S Fürmeier, J O Metzger. J. Am. Chem. Soc., 2004, 126(44):14485~14492.
N Shankaraiah, N Markandeya, V Srinivasulu et al. J. Org. Chem., 2011, 76(17):7017~7026.
H G O Alvim, G A Bataglion, L M Ramos et al. Tetrahedron, 2014, 70(20):3306~3313.
P J Gallimore, M Kalberer. Environ. Sci. Technol., 2013, 47(13):7324~7331.
H Chen, B Hu, Y Hu et al. J. Am. Soc. Mass Spectr., 2009, 20(4):719~722.
L Zhu, G Gamez, H W Chen et al. Rapid Commun. Mass Spectr., 2008, 22(19):2993~2998.
M Dabiri, M Baghbanzadeh, M S Nikcheh. Monats. Chem., 2007, 138(12):1249~1252.
J Marco-Contelles, E Pérez-Mayoral, A Samadi et al. Chem. Rev., 2009, 109(6):2652~2671.
Tianlong Zhang , Rongling Zhang , Hongsheng Tang , Yan Li , Hua Li . Online Monitoring and Mechanistic Analysis of 3,5-diamino-1,2,4-triazole (DAT) Synthesis via Raman Spectroscopy: A Recommendation for a Comprehensive Instrumental Analysis Experiment. University Chemistry, 2024, 39(6): 303-311. doi: 10.3866/PKU.DXHX202312006
Jiajie Li , Xiaocong Ma , Jufang Zheng , Qiang Wan , Xiaoshun Zhou , Yahao Wang . Recent Advances in In-Situ Raman Spectroscopy for Investigating Electrocatalytic Organic Reaction Mechanisms. University Chemistry, 2025, 40(4): 261-276. doi: 10.12461/PKU.DXHX202406117
Ronghao Zhao , Yifan Liang , Mengyao Shi , Rongxiu Zhu , Dongju Zhang . Investigation into the Mechanism and Migratory Aptitude of Typical Pinacol Rearrangement Reactions: A Research-Oriented Computational Chemistry Experiment. University Chemistry, 2024, 39(4): 305-313. doi: 10.3866/PKU.DXHX202309101
Wentao Lin , Wenfeng Wang , Yaofeng Yuan , Chunfa Xu . Concerted Nucleophilic Aromatic Substitution Reactions. University Chemistry, 2024, 39(6): 226-230. doi: 10.3866/PKU.DXHX202310095
Zhi Chai , Huashan Huang , Xukai Shi , Yujing Lan , Zhentao Yuan , Hong Yan . Wittig反应的立体选择性. University Chemistry, 2025, 40(8): 192-201. doi: 10.12461/PKU.DXHX202410046
Bolin Sun , Jie Chen , Ling Zhou . 乙烯型卤代烃的亲核取代反应. University Chemistry, 2025, 40(8): 152-157. doi: 10.12461/PKU.DXHX202410032
Hongting Yan , Aili Feng , Rongxiu Zhu , Lei Liu , Dongju Zhang . Reexamination of the Iodine-Catalyzed Chlorination Reaction of Chlorobenzene Using Computational Chemistry Methods. University Chemistry, 2025, 40(3): 16-22. doi: 10.12461/PKU.DXHX202403010
Aili Feng , Xin Lu , Peng Liu , Dongju Zhang . Computational Chemistry Study of Acid-Catalyzed Esterification Reactions between Carboxylic Acids and Alcohols. University Chemistry, 2025, 40(3): 92-99. doi: 10.12461/PKU.DXHX202405072
Guowen Xing , Guangjian Liu , Le Chang . Five Types of Reactions of Carbonyl Oxonium Intermediates in University Organic Chemistry Teaching. University Chemistry, 2025, 40(4): 282-290. doi: 10.12461/PKU.DXHX202407058
Ling Fan , Meili Pang , Yeyun Zhang , Yanmei Wang , Zhenfeng Shang . Quantum Chemistry Calculation Research on the Diels-Alder Reaction of Anthracene and Maleic Anhydride: Introduction to a Computational Chemistry Experiment. University Chemistry, 2024, 39(4): 133-139. doi: 10.3866/PKU.DXHX202309024
Jiabo Huang , Quanxin Li , Zhongyan Cao , Li Dang , Shaofei Ni . Elucidating the Mechanism of Beckmann Rearrangement Reaction Using Quantum Chemical Calculations. University Chemistry, 2025, 40(3): 153-159. doi: 10.12461/PKU.DXHX202405172
Mingyang Men , Jinghua Wu , Gaozhan Liu , Jing Zhang , Nini Zhang , Xiayin Yao . Sulfide Solid Electrolyte Synthesized by Liquid Phase Approach and Application in All-Solid-State Lithium Batteries. Acta Physico-Chimica Sinica, 2025, 41(1): 100004-0. doi: 10.3866/PKU.WHXB202309019
Peng YUE , Liyao SHI , Jinglei CUI , Huirong ZHANG , Yanxia GUO . Effects of Ce and Mn promoters on the selective oxidation of ammonia over V2O5/TiO2 catalyst. Chinese Journal of Inorganic Chemistry, 2025, 41(2): 293-307. doi: 10.11862/CJIC.20240210
Qian Huang , Zhaowei Li , Jianing Zhao , Ao Yu . Quantum Chemical Calculations Reveal the Details Below the Experimental Phenomenon. University Chemistry, 2024, 39(3): 395-400. doi: 10.3866/PKU.DXHX202309018
Yong Wang , Yingying Zhao , Boshun Wan . Analysis of Organic Questions in the 37th Chinese Chemistry Olympiad (Preliminary). University Chemistry, 2024, 39(11): 406-416. doi: 10.12461/PKU.DXHX202403009
Zihan Lin , Wanzhen Lin , Fa-Jie Chen . Electrochemical Modifications of Native Peptides. University Chemistry, 2025, 40(3): 318-327. doi: 10.12461/PKU.DXHX202406089
Lancanghong Chen , Xingtai Yu , Tianlei Zhao , Qizhi Yao . Exploration of Abnormal Phenomena in Iodometric Copper Quantitation Experiment. University Chemistry, 2025, 40(7): 315-320. doi: 10.12461/PKU.DXHX202408089
Lijun Yang . Thoughts and Practices on Enhancing Students’ Comprehension through Visualized Instruction of Structural Chemistry. University Chemistry, 2025, 40(10): 295-302. doi: 10.12461/PKU.DXHX202411048
Heng Zhang . Determination of All Rate Constants in the Enzyme Catalyzed Reactions Based on Michaelis-Menten Mechanism. University Chemistry, 2024, 39(4): 395-400. doi: 10.3866/PKU.DXHX202310047
Weina Wang , Lixia Feng , Fengyi Liu , Wenliang Wang . Computational Chemistry Experiments in Facilitating the Study of Organic Reaction Mechanism: A Case Study of Electrophilic Addition of HCl to Asymmetric Alkenes. University Chemistry, 2025, 40(3): 206-214. doi: 10.12461/PKU.DXHX202407022