Citation: XIA Fu-ting, ZHANG Jin-hui, YANG Yun-han, YANG Cui-cui, LI Xiang-hua, SONG Zhong-xian, ZHANG Qiu-lin, PENG Jin-hui. Catalytic performance and hydrothermal stability of Cu/SAPO-34 catalyst in the selective catalytic oxidation of NH3[J]. Journal of Fuel Chemistry and Technology, ;2018, 46(3): 328-336. shu

Catalytic performance and hydrothermal stability of Cu/SAPO-34 catalyst in the selective catalytic oxidation of NH3

  • Corresponding author: ZHANG Qiu-lin, qiulinzhang_kmust@163.com PENG Jin-hui, jhpeng@kmust.edu.cn
  • Received Date: 13 September 2017
    Revised Date: 19 January 2018

    Fund Project: The project was supported by the National Natural Science Foundation of China (21567030, 11447191), the National Program on Key Basic Research Project of China (973 program, 2014CB643404) and Natural Science Fund Item of Yunnan Province (2013FD033)the National Program on Key Basic Research Project of China 973 programthe National Program on Key Basic Research Project of China 2014CB643404The project was supported by the National Natural Science Foundation of China 21567030Natural Science Fund Item of Yunnan Province 2013FD033The project was supported by the National Natural Science Foundation of China 11447191

Figures(9)

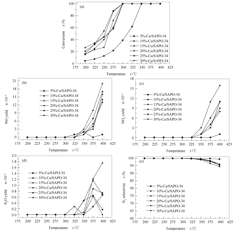
  • A series of Cu/SAPO-34 catalysts for ammonia selective catalytic oxidation (NH3-SCO) were prepared by impregnation method. The results of activity test indicated that the NH3 conversion over 10%-Cu/SAPO-34 catalyst was nearly 100% at 300℃ and N2 selectivity was more than 90% in the range of test temperature. Meanwhile, the characterization results of XRD, BET, UV-vis, H2-TPR and XPS showed that the highly dispersed CuO species in Cu/SAPO-34 catalyst were the main active component. Furthermore, the aged 10%-Cu/SAPO-34 catalyst performed better NH3-SCO activity at low temperature, while the N2 selectivity dramatically decreased at 325℃, SAPO-34 zeolite crystallinity would deteriorate under hydrothermal treatment.
  • 加载中
    1. [1]

      ZHANG Xiang-jun, LIU Xiao-gang, LI Qing-yong, LI Yan, WEI Bo, WANG Hong, LI Cui-qing, SONG Yong-ji. Effect of carrier on the performance of copper based catalyst for selective catalytic reduction of NO with NH3 at low temperature[J]. J Fuel Chem Technol, 2017,45(2):220-226.  

    2. [2]

      XU Bao-qiang, XU Hai-di, CAO Yi, LAN Li, YANG Yi, ZHANG Yan-hua, LI Yuan-shan, GONG Mao-chu, CHEN Yao-qiang. Promotional effect of Zr on thermal stability of CeTiOx monolith catalyst for selective catalytic reduction of NOx with ammonia[J]. Chin J Inorg Chem, 2016,32(3):517-526. doi: 10.11862/CJIC.2016.039

    3. [3]

      YAO Xiao-jiang, GONG Ying-tao, LI Hong-li, YANG Fu-mo. Research progress of ceria-based catalysts in the selective catalytic reduction of NOx by NH3[J]. Acta Phys Chim Sin, 2015,31(5):817-828. doi: 10.3866/PKU.WHXB201503253

    4. [4]

      WANG Yyan-cai, LIU Xin, NING Ping, ZHANG Qiu-lin, ZHANG Jin-hui, XU Lisi, TANG Xiao-su, WANG Ming-zhi. Effect of preparation methods on selective catalytic reduction of NOx with NH3 over manganese oxide octahedral molecular sieves[J]. J Fuel Chem Technol, 2014,42(11):1357-1364. doi: 10.3969/j.issn.0253-2409.2014.11.013 

    5. [5]

      SHI Lin, YU Tie, WANG Xin-quan, WANG Jun, SHEN Mei-qing. Properties and roles of adsorbed NH3 and NOx over Cu/SAPO-34 zeolite catalyst in NH3-SCR process[J]. Acta Physico-Chimica Sinica, 2013,29(7):1550-1557.  

    6. [6]

      WU Da-wang, ZHANG Qiu-lin, LIN Tao, GONG Mao-chu, CHEN Yao-qiang. Effect of Fe on the selective catalytic reduction of NO by NH3 at low temperature over Mn/CeO2-TiO2 Catalyst[J]. Chin J Inorg Chem, 2012,27(5):495-500.  

    7. [7]

      OLOFSSON G, HINZ A, ANDERSSON A. Selective catalytic oxidation (SCO) of ammonia to nitrogen over hydrotalcite originated Mg-Cu-Fe mixed metal oxides[J]. Chem Eng Sci, 2004,59:4113-4123. doi: 10.1016/j.ces.2004.03.047

    8. [8]

      SOBCZYK D P, HENSEN E J M, JONG A M DE, SANTEN R A VAN. Selective catalytic oxidation (SCO) of ammonia to nitrogen over hydrotalcite originated Mg-Cu-Fe Mixed metal oxides[J]. Top Catal, 2003,23:109-117. doi: 10.1023/A:1024876421421

    9. [9]

      FICKEL D W, ADDIO E D, LAUTERBACH J A, LOBO R F. The ammonia selective catalytic reduction activity of copper-exchanged small-pore zeolites[J]. Appl Catal B:Environ, 2011,102:441-448. doi: 10.1016/j.apcatb.2010.12.022

    10. [10]

      SCHMIEG S J, OH S H, KIM C H, BROWN D B, LEE J H, PEDEN C H F, KIM D H. Study of coordination environments around Pd and Pt in a Pd-core Pt-shell nanoparticle during heating[J]. Catal Today, 2012,184:252-261. doi: 10.1016/j.cattod.2011.10.034

    11. [11]

      KWAK J H, TRAN D, BURTON S D, SZANYI J, LEE J H, PEDEN C H F. The effect of copper loading on the selective catalytic reduction of nitric oxide by ammonia over Cu-SSZ-13[J]. J Catal, 2012,287:203-209. doi: 10.1016/j.jcat.2011.12.025

    12. [12]

      LIU G, TIAN P, LI J, ZHANG D, ZHOU F, LIU Z. Synthesis, characterization and catalytic properties of SAPO-34 synthesized using diethylamine as a template[J]. Microporous Mesoporous Mater, 2008,111:143-149. doi: 10.1016/j.micromeso.2007.07.023

    13. [13]

      TAN J, LIU Z, BAO X, LIU X, HAN X, HE C, ZHAI R. Comparison of HZSM-5 zeolite and SAPO (-18 and -34) based catalysts for the production of light olefins from DME[J]. Microporous Mesoporous Mater, 2002,53:97-108. doi: 10.1016/S1387-1811(02)00329-3

    14. [14]

      KIM T W, SONG M W, KOH H L, KIM K L. Surface properties and reactivity of Cu/g-Al2O3 catalysts for NO reduction by C3H6[J]. Appl Catal A:Gen, 2001,210:35-44. doi: 10.1016/S0926-860X(00)00801-2

    15. [15]

      WAN H, WANG Z, ZHU J, LI X, LIU B, GAO F, DONG L, CHEN Y. Influence of CO pretreatment on the activities of CuO/gamma-Al2O3 catalysts in CO+O-2 reaction[J]. Appl Catal B:Envirn, 2008,79:254-261. doi: 10.1016/j.apcatb.2007.10.025

    16. [16]

      XU B, DONG L, CHEN Y. Influence of CuO loading on dispersion and reduction behavior of CuO/TiO2 (anatase) system[J]. J Chem Soc, 1998,94:1905-1909.  

    17. [17]

      PESTRYAKOV A N, PETRANOVSKII V P, KRYAZHOV A, OZHERELIEV O, PFANDER N. KNOP-GERICKE A Chem Study of copper nanoparticles formation on supports of different nature by UV-Vis diffuse reflectance spectroscopy[J]. Phys Lett, 2004,385:173-176.  

    18. [18]

      PRALIAUD H, MIKHAILENKO S, CHAJAR Z, PRIMET M. Surface and bulk properties of Cu-ZSM-5 and Cu/Al2O3 solids during redox treatments. Correlation with the selective reduction of nitric oxide by hydrocarbons[J]. Appl Catal B:Environ, 1998,16:359-374. doi: 10.1016/S0926-3373(97)00093-3

    19. [19]

      FAN S, XUE J, YU T, FAN D, HAO T, SHEN M, LI W. The effect of synthesis methods on Cu species and active sites over Cu/SAPO-34 for NH3-SCR reaction[J]. Catal Sci Technol, 2013,3:2357-2364. doi: 10.1039/c3cy00267e

    20. [20]

      WANG J, YU T, WANG X, QI G, XUE J, SHEN M, LI W. The influence of silicon on the catalytic properties of Cu/SAPO-34 for NOx reduction by ammonia-SCR[J]. Appl Catal B:Envirn, 2012,127:137-147. doi: 10.1016/j.apcatb.2012.08.016

    21. [21]

      CALLIGARIS M, NARDIN G. Cation site location in hydrated chabazites. Crystal structure of barium-and cadmium-exchanged chabazites[J]. Zeolites, 1982,2:200-204. doi: 10.1016/S0144-2449(82)80052-3

    22. [22]

      KEFIROV R, PENKOVA A, HADJⅡVANOV K, DZWIGAJ S, CHE M. Stabilization of Cu+ ions in BEA zeolite:Study by FT-IR spectroscopy of adsorbed CO and TPR[J]. Microporous Mesoporous Mater, 2008,116:180-187. doi: 10.1016/j.micromeso.2008.03.032

    23. [23]

      RIBEIRO M F, SILVA J M, BRIMAUD S, ANTUNES A P, SILVA E R, FERNANDES A, MAGNOUX P, MURPHY D M. Improvement of toluene catalytic combustion by addition of cesium in copper exchanged zeolites[J]. Appl Catal B:Envirn, 2007,70:384-392. doi: 10.1016/j.apcatb.2006.01.027

    24. [24]

      LOPEZ-SUAREZ F E, BUENO-LOEZ A, ILLAN-GOMEZ M J. Cu/Al2O3 catalysts for soot oxidation:Copper loading effect[J]. Appl Catal B:Envirn, 2008,84:651-658. doi: 10.1016/j.apcatb.2008.05.019

    25. [25]

      ÁGUILA G, GRACIA F, CORTÉS J, ARAYA P. Effect of copper species and the presence of reaction products on the activity of methane oxidation on supported CuO catalysts[J]. Appl Catal B:Envirn, 2008,77:325-338. doi: 10.1016/j.apcatb.2007.08.002

    26. [26]

      WEI Y, LIU J, ZHAO Z, DUAN A, JIANG G. The catalysts of three-dimensionally ordered macroporous Ce1-xZrx O2-supported gold nanoparticles for soot combustion:The metal-support interaction[J]. J Catal, 2012,287:13-29. doi: 10.1016/j.jcat.2011.11.006

    27. [27]

      MA L, CHENG Y, CAVATAIO G, MCCABE R W, FU L, LI J. Characterization of commercial Cu-SSZ-13 and Cu-SAPO-34 catalysts with hydrothermal treatment for NH3-SCR of NO x in diesel exhaust[J]. Chem Eng J, 2013,225:323-330. doi: 10.1016/j.cej.2013.03.078

    28. [28]

      LIESE T, GRVNERT W. Cu-Na-ZSM-5 catalysts prepared by chemical transport:Investigations on the role of brønsted acidity and of excess copper in the selective catalytic reduction of NO by propene[J]. J Catal, 1997,172:34-45. doi: 10.1006/jcat.1997.1812

    29. [29]

      CORMA A, PALOMARES A, MÁRQUEZ F. Determining the nature of the active sites of Cu-beta zeolites for the selective catalytic reduction (SCR) of NOx by using a coupled reaction-XAES/XPS Study[J]. J Catal, 1997,170:132-139. doi: 10.1006/jcat.1997.1739

    30. [30]

      WOLLNER A, LANGE F, SCHMELZ H, KNOZINGER H. ChemInform Abstract:Characterization of mixed copper-manganese oxides supported on titania catalysts for selective oxidation of ammonia[J]. Appl Catal A:Gen, 1993,94:181-203. doi: 10.1016/0926-860X(93)85007-C

    31. [31]

      KUNDAKOVIC L, FLYTZANI-STEPHANOPOULOS M. Reduction characteristics of copper oxide in cerium and zirconium oxide systems[J]. Appl Catal A:Gener, 1998,171:13-29. doi: 10.1016/S0926-860X(98)00056-8

    32. [32]

      WANG L, GAUDET J R, LI W, WENG D. Migration of Cu species in Cu/SAPO-34 during hydrothermal aging[J]. J Catal, 2013,306:68-77. doi: 10.1016/j.jcat.2013.06.010

    33. [33]

      KORHONEN S T, FICKEL D W, LOBO R F, WECKHUYSEN B M, BEALE A M. Isolated Cu2+ions:Active sites for selective catalytic reduction of NO[J]. Chem Commun, 2011,47:800-802. doi: 10.1039/C0CC04218H

    34. [34]

      WAN Y, MA J, WANG Z, ZHOU W, KALIAGUINE S. Selective catalytic reduction of NO over Cu-Al-MCM-41[J]. J Catal, 2004,227:242-252. doi: 10.1016/j.jcat.2004.07.016

    35. [35]

      ZHANG Y, CHEN C, LIN X, LI D, CHEN X, ZHAN Y, ZHENG QI. CuO/ZrO2 catalysts for water-gas shift reaction:Nature of catalytically active copper species[J]. Int J Hydrogen Energy, 2014,39:3746-3754. doi: 10.1016/j.ijhydene.2013.12.161

  • 加载中
    1. [1]

      Xiaoqiang WangFangyuan ZhouYue LiuZhongbiao Wu . CePO4 supported Cr catalyst with superior sulfur tolerance for selective catalytic oxidation of ammonia. Chinese Chemical Letters, 2025, 36(7): 110420-. doi: 10.1016/j.cclet.2024.110420

    2. [2]

      Linhui LiuWuwan XiongMingli FuJunliang WuZhenguo LiDaiqi YePeirong Chen . Efficient NOx abatement by passive adsorption over a Pd-SAPO-34 catalyst prepared by solid-state ion exchange. Chinese Chemical Letters, 2024, 35(4): 108870-. doi: 10.1016/j.cclet.2023.108870

    3. [3]

      Kun Xu Xinxin Song Zhilei Yin Jian Yang Qisheng Song . Comprehensive Experimental Design of Preferential Orientation of Zinc Metal by Heat Treatment for Enhanced Electrochemical Performance. University Chemistry, 2024, 39(4): 192-197. doi: 10.3866/PKU.DXHX202309050

    4. [4]

      Ying ChenXingyuan XiaLei TianMengying YinLing-Ling ZhengQian FuDaishe WuJian-Ping Zou . Constructing built-in electric field via CuO/NiO heterojunction for electrocatalytic reduction of nitrate at low concentrations to ammonia. Chinese Chemical Letters, 2024, 35(12): 109789-. doi: 10.1016/j.cclet.2024.109789

    5. [5]

      Zhijie ZhangXun LiHuiling TangJunhao WuChunxia YaoKui Li . Cs2CuBr4 perovskite quantum dots confined in mesoporous CuO framework as a p-n type S-scheme heterojunction for efficient CO2 photoconversion. Chinese Chemical Letters, 2024, 35(11): 109700-. doi: 10.1016/j.cclet.2024.109700

    6. [6]

      Xiting Zhou Zhipeng Han Xinlei Zhang Shixuan Zhu Cheng Che Liang Xu Zhenyu Sun Leiduan Hao Zhiyu Yang . Dual Modulation via Ag-Doped CuO Catalyst and Iodide-Containing Electrolyte for Enhanced Electrocatalytic CO2 Reduction to Multi-Carbon Products: A Comprehensive Chemistry Experiment. University Chemistry, 2025, 40(7): 336-344. doi: 10.12461/PKU.DXHX202412070

    7. [7]

      Qiang Zhou Pingping Zhu Wei Shao Wanqun Hu Xuan Lei Haiyang Yang . Innovative Experimental Teaching Design for 3D Printing High-Strength Hydrogel Experiments. University Chemistry, 2024, 39(6): 264-270. doi: 10.3866/PKU.DXHX202310064

    8. [8]

      Feibin WeiYongfang RaoYu HuangWei WangHui Mei . The new challenges for the development of NH3-SCR catalysts under new situation of energy transition in power generation industry. Chinese Chemical Letters, 2024, 35(6): 108931-. doi: 10.1016/j.cclet.2023.108931

    9. [9]

      Cuiwu MOGangmin ZHANGChao WUZhipeng HUANGChi ZHANG . A(NH2SO3) (A=Li, Na): Two ultraviolet transparent sulfamates exhibiting second harmonic generation response. Chinese Journal of Inorganic Chemistry, 2024, 40(7): 1387-1396. doi: 10.11862/CJIC.20240045

    10. [10]

      Han ZHANGJianfeng SUNJinsheng LIANG . Hydrothermal synthesis and luminescent properties of broadband near-infrared Na3CrF6 phosphor. Chinese Journal of Inorganic Chemistry, 2025, 41(2): 349-356. doi: 10.11862/CJIC.20240098

    11. [11]

      Nengmin ZHUWenhao ZHUXiaoyao YINSongzhi ZHENGHao LIZeyuan WANGWenhao WEIXuanheng CHENWeihai SUN . Preparation of high-performance CsPbBr3 perovskite solar cells by the aqueous solution solvent method. Chinese Journal of Inorganic Chemistry, 2025, 41(6): 1131-1140. doi: 10.11862/CJIC.20240419

    12. [12]

      Xi YANGChunxiang CHANGYingpeng XIEYang LIYuhui CHENBorao WANGLudong YIZhonghao HAN . Co-catalyst Ni3N supported Al-doped SrTiO3: Synthesis and application to hydrogen evolution from photocatalytic water splitting. Chinese Journal of Inorganic Chemistry, 2025, 41(3): 440-452. doi: 10.11862/CJIC.20240371

    13. [13]

      Yang LiYanan DongZhihong WeiChangzeng YanZhen LiLin HeYuehui Li . Fluoride-promoted Ni-catalyzed cyanation of C–O bond using CO2 and NH3. Chinese Chemical Letters, 2025, 36(5): 110206-. doi: 10.1016/j.cclet.2024.110206

    14. [14]

      Jieyu LiuJunze ZhangHaigang DengShuoao WangXingxing JiangLi WangChanghong Wang . Understanding the activity origin of Pd-anchored single-atom alloy catalysts for NO-to-NH3 conversion by DFT studies and machine learning. Chinese Chemical Letters, 2025, 36(12): 110656-. doi: 10.1016/j.cclet.2024.110656

    15. [15]

      Yuena Yang Xufang Hu Yushan Liu Yaya Kuang Jian Ling Qiue Cao Chuanhua Zhou . The Realm of Smart Hydrogels. University Chemistry, 2024, 39(5): 172-183. doi: 10.3866/PKU.DXHX202310125

    16. [16]

      Jijoe Samuel Prabagar Kumbam Lingeshwar Reddy Dong-Kwon Lim . Visible-light responsive gold nanoparticle and nano-sized Bi2O3-x sheet heterozygote structure for efficient photocatalytic conversion of N2 to NH3. Chinese Journal of Structural Chemistry, 2025, 44(4): 100564-100564. doi: 10.1016/j.cjsc.2025.100564

    17. [17]

      Kun RongCuilian WenJiansen WenXiong LiQiugang LiaoSiqing YanChao XuXiaoliang ZhangBaisheng SaZhimei Sun . Hierarchical MoS2/Ti3C2Tx heterostructure with excellent photothermal conversion performance for solar-driven vapor generation. Acta Physico-Chimica Sinica, 2025, 41(6): 100053-0. doi: 10.1016/j.actphy.2025.100053

    18. [18]

      Jing Wang Pingping Li Yuehui Wang Yifan Xiu Bingqian Zhang Shuwen Wang Hongtao Gao . Treatment and Discharge Evaluation of Phosphorus-Containing Wastewater. University Chemistry, 2024, 39(5): 52-62. doi: 10.3866/PKU.DXHX202309097

    19. [19]

      Runze Liu Yankai Bian Weili Dai . Qualitative and quantitative analysis of Brønsted and Lewis acid sites in zeolites: A combined probe-assisted 1H MAS NMR and NH3-TPD investigation. Chinese Journal of Structural Chemistry, 2024, 43(4): 100250-100250. doi: 10.1016/j.cjsc.2024.100250

    20. [20]

      Donghui WuQilin ZhaoJian SunXiurong Yang . Corrigendum to 'Fluorescence immunoassay based on alkaline phosphatase-induced in situ generation of fluorescent non-conjugated polymer dots' [Chin. Chem. Lett. 34 (2023) 107672]. Chinese Chemical Letters, 2024, 35(12): 109881-. doi: 10.1016/j.cclet.2024.109881

Metrics
  • PDF Downloads(10)
  • Abstract views(1698)
  • HTML views(140)

通讯作者: 陈斌, bchen63@163.com
  • 1. 

    沈阳化工大学材料科学与工程学院 沈阳 110142

  1. 本站搜索
  2. 百度学术搜索
  3. 万方数据库搜索
  4. CNKI搜索
Address:Zhongguancun North First Street 2,100190 Beijing, PR China Tel: +86-010-82449177-888
Powered By info@rhhz.net

/

DownLoad:  Full-Size Img  PowerPoint
Return