Citation: Dai Hongguang, Liu Xuhui, Wang Lirong, Shi Lan. Synthesis of N-Substituted Pyrroles using Lignosulfonic Acid as Biomass-Based Catalyst[J]. Chemistry, ;2018, 81(10): 929-933. shu

Synthesis of N-Substituted Pyrroles using Lignosulfonic Acid as Biomass-Based Catalyst

  • Corresponding author: Dai Hongguang, imaudm@imau.edu.cn
  • Received Date: 18 May 2018
    Accepted Date: 29 July 2018

Figures(4)

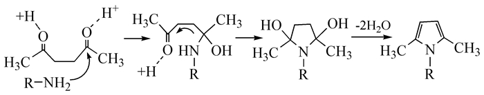
  • Lignosulfonic acid is a kind of heterogeneous, environmentally friendly, biomass-based solid catalyst. In this paper, it was prepared by ion-exchange method using sodium lignosulfonate in papermaking waste as raw material. Its structure was characterized by FT-IR, elemental analysis and titration. Using lignosulfonic acid as a catalyst, N-substituted pyrroles were synthesized efficiently by Paal-Knorr reaction of hexane-2, 5-dione and primary amine in good to excellent yields. This is a typical nucleophilic reaction. The stronger the nucleophilic ability of the primary amine, the more easily the reaction proceeds.
  • 加载中
    1. [1]

      Y H He, G Q Wang, G Zhi. J. Heterocycl. Chem., 2010, 47(2): 486~489. 

    2. [2]

      L Ackermann, L T Kaspar, C J Gschrei. Chem. Commun., 2004, (24): 2824~2825. 

    3. [3]

      A Alberola, A G Ortega, M L Sadaba. Tetrahedron, 1999, 55(21): 6555~6566. 

    4. [4]

      R Ballini, L Barboni, G Bosica et al. Synlett, 2000, (3): 391~393. 

    5. [5]

      R Sreekumar, R Padmakumar. Synth. Commun., 1998, 28(9): 1661~1665. 

    6. [6]

      F Texier-Boullet, B Klein, J Hamelin. Synthesis-Stuttgart, 1986, (5): 409~411.

    7. [7]

      M Kidwai, K Singhal, S Rastogi. J. Heterocycl. Chem., 2006, 43(5): 1231~1236. 

    8. [8]

      C Y Chen, X Y Guo, G Q Lu et al. New Carbon Mater., 2017, 32(2): 160~167. 

    9. [9]

      B K Banik, I Banik, M Renteriaa. Tetrahed. Lett., 2005, 46(15): 2643~2645. 

    10. [10]

      J Y Chen, H Y Wu, Z G Zheng et al. Tetrahed. Lett., 2006, 47(30): 5383~5387. 

    11. [11]

      M Curini, F Montanari, O Rosati et al. Tetrahed. Lett., 2003, 44(20): 3923~3925. 

    12. [12]

      J X Chen, M C Liu, X L Yang et al. J. Braz. Chem. Soc., 2008, 19(5): 877~883. 

    13. [13]

      P Armugam, P T Perumal. Chem. Lett., 2006, 35(6): 632~633. 

    14. [14]

      D Akbaslar, O Demirkol, S Giray. Synth. Commun., 2014, 44(9): 1323~1332. 

    15. [15]

      B K Banik, S Samajdar, I Bnik. J. Org. Chem., 2004, 69(1): 213~216. 

    16. [16]

      B Wang, Y Gu, C Luo et al. Tetrahed. Lett., 2004, 45(17): 3417~3419. 

    17. [17]

      L Akelis, J Rousseau, R Juskenas et al. Eur. J. Org. Chem., 2016, (1): 31~35.

    18. [18]

      K Aghapoor, F Mohsenzadeh, H R Darabi et al. Res. Chem. Intermed., 2016, 42(2): 407~415. 

    19. [19]

      H T Luo, Y R Kang, Q Li et al. Heteroatom. Chem., 2008, 19(2): 144~148. 

    20. [20]

      D J Shaw, W F Wood. J. Chem. Educ., 1992, 69(12): A313. 

    21. [21]

      S Raghavan, K Anuradha. Synlett, 2003, (5): 711~713.

    22. [22]

      X H Zhu, G Chen, Z L Xu et al. Chin. J. Org. Chem., 2008, 28(1): 115~119.

    23. [23]

      H Veisi, P Mohammadi, J Gholami. Appl. Organomet. Chem., 2014, 28(12): 868~873. 

    24. [24]

      A J Abbas, A Sakineh, T Fatemah. J. Appl. Polym. Sci., 2012, 125(2): 1339~1345. 

    25. [25]

      A Najmadin, D Anahita, E Farshid et al. Monats. Chem., 2013, 144(3): 405~409. 

    26. [26]

      R Ali. React. Funct. Polym., 2011, 71(1): 80~83. 

    27. [27]

    28. [28]

      J X Chen, X L Yang, M C Liu et al. Synth. Commun., 2009, 39(23): 4180~4198. 

    29. [29]

      B K Banik, S Samajdar, I Banik. J. Org. Chem., 2004, 69(1): 213~216. 

    30. [30]

      S K KPasha, V S V Satyanarayana, A S Kumar et al. Chin. Chem. Lett., 2011, 22(8): 891~894. 

    31. [31]

      D G Hulcoop, M Lautens. Org. Lett., 2007, 9(9): 1761~1764. 

  • 加载中
    1. [1]

      Huipeng Zhao Xiaoqiang Du . Polyoxometalates as the redox anolyte for efficient conversion of biomass to formic acid. Chinese Journal of Structural Chemistry, 2024, 43(2): 100246-100246. doi: 10.1016/j.cjsc.2024.100246

    2. [2]

      Peng Wang Daijie Deng Suqin Wu Li Xu . Cobalt-based deep eutectic solvent modified nitrogen-doped carbon catalyst for boosting oxygen reduction reaction in zinc-air batteries. Chinese Journal of Structural Chemistry, 2024, 43(1): 100199-100199. doi: 10.1016/j.cjsc.2023.100199

    3. [3]

      Xuan LiuQing Li . Tailoring interatomic active sites for highly selective electrocatalytic biomass conversion reaction. Chinese Chemical Letters, 2025, 36(4): 110670-. doi: 10.1016/j.cclet.2024.110670

    4. [4]

      Lihang WangMary Li JavierChunshan LuoTingsheng LuShudan YaoBing QiuYun WangYunfeng Lin . Research advances of tetrahedral framework nucleic acid-based systems in biomedicine. Chinese Chemical Letters, 2024, 35(11): 109591-. doi: 10.1016/j.cclet.2024.109591

    5. [5]

      Zhen LiuZhi-Yuan RenChen YangXiangyi ShaoLi ChenXin Li . Asymmetric alkenylation reaction of benzoxazinones with diarylethylenes catalyzed by B(C6F5)3/chiral phosphoric acid. Chinese Chemical Letters, 2024, 35(5): 108939-. doi: 10.1016/j.cclet.2023.108939

    6. [6]

      Shiyu PanBo CaoDeling YuanTifeng JiaoQingrui ZhangShoufeng Tang . Complexes of cupric ion and tartaric acid enhanced calcium peroxide Fenton-like reaction for metronidazole degradation. Chinese Chemical Letters, 2024, 35(7): 109185-. doi: 10.1016/j.cclet.2023.109185

    7. [7]

      Nana YangRui YuanXinyue FuXiao TianJin YuShengzhou MaLiuqing WenJiabin Zhang . Concise synthesis of NDP-activated uronic acid by an oxidation reaction insertion strategy. Chinese Chemical Letters, 2025, 36(8): 110757-. doi: 10.1016/j.cclet.2024.110757

    8. [8]

      Jing CaoDezheng ZhangBianqing RenPing SongWeilin Xu . Mn incorporated RuO2 nanocrystals as an efficient and stable bifunctional electrocatalyst for oxygen evolution reaction and hydrogen evolution reaction in acid and alkaline. Chinese Chemical Letters, 2024, 35(10): 109863-. doi: 10.1016/j.cclet.2024.109863

    9. [9]

      Xinghui YaoZhouyu WangDa-Gang Yu . Sustainable electrosynthesis: Enantioselective electrochemical Rh(III)/chiral carboxylic acid-catalyzed oxidative CH cyclization coupled with hydrogen evolution reaction. Chinese Chemical Letters, 2024, 35(9): 109916-. doi: 10.1016/j.cclet.2024.109916

    10. [10]

      Fengyun LiZerong PeiShuting ChenGen liMengyang LiuLiqin DingJingbo LiuFeng Qiu . Multifunctional nano-herb based on tumor microenvironment for enhanced tumor therapy of gambogic acid. Chinese Chemical Letters, 2024, 35(5): 108752-. doi: 10.1016/j.cclet.2023.108752

    11. [11]

      Di Wang Qing-Song Chen Yi-Ran Lin Yun-Xin Hou Wei Han Juan Yang Xin Li Zhen-Hai Wen . Tuning strategies and electrolyzer design for Bi-based nanomaterials towards efficient CO2 reduction to formic acid. Chinese Journal of Structural Chemistry, 2024, 43(8): 100346-100346. doi: 10.1016/j.cjsc.2024.100346

    12. [12]

      Dongdong YANGJianhua XUEYuanyu YANGMeixia WUYujia BAIZongxuan WANGQi MA . Design and synthesis of two coordination polymers for the rapid detection of ciprofloxacin based on triphenylpolycarboxylic acid ligands. Chinese Journal of Inorganic Chemistry, 2024, 40(12): 2466-2474. doi: 10.11862/CJIC.20240266

    13. [13]

      Jimin HOUMengyang LIChunhua GONGShaozhuang ZHANGCaihong ZHANHao XUJingli XIE . Synthesis, structures, and properties of metal-organic frameworks based on bipyridyl ligands and isophthalic acid. Chinese Journal of Inorganic Chemistry, 2025, 41(3): 549-560. doi: 10.11862/CJIC.20240348

    14. [14]

      Zhenghua ZHAOQin ZHANGYufeng LIUZifa SHIJinzhong GU . Syntheses, crystal structures, catalytic and anti-wear properties of nickel(Ⅱ) and zinc(Ⅱ) coordination polymers based on 5-(2-carboxyphenyl)nicotinic acid. Chinese Journal of Inorganic Chemistry, 2024, 40(3): 621-628. doi: 10.11862/CJIC.20230342

    15. [15]

      Yuxin WangZhengxuan SongYutao LiuYang ChenJinping LiLibo LiJia Yao . Methyl functionalization of trimesic acid in copper-based metal-organic framework for ammonia colorimetric sensing at high relative humidity. Chinese Chemical Letters, 2024, 35(6): 108779-. doi: 10.1016/j.cclet.2023.108779

    16. [16]

      Kaimin WANGXiong GUNa DENGHongmei YUYanqin YEYulu MA . Synthesis, structure, fluorescence properties, and Hirshfeld surface analysis of three Zn(Ⅱ)/Cu(Ⅱ) complexes based on 5-(dimethylamino) isophthalic acid. Chinese Journal of Inorganic Chemistry, 2024, 40(7): 1397-1408. doi: 10.11862/CJIC.20240009

    17. [17]

      Long TANGYaxin BIANLuyuan CHENXiangyang HOUXiao WANGJijiang WANG . Syntheses, structures, and properties of three coordination polymers based on 5-ethylpyridine-2,3-dicarboxylic acid and N-containing ligands. Chinese Journal of Inorganic Chemistry, 2024, 40(10): 1975-1985. doi: 10.11862/CJIC.20240180

    18. [18]

      Junying LIXinyan CHENXihui DIAOMuhammad YaseenChao CHENHao WANGChuansong QIWei LI . Chiral fluorescent sensor Tb3+@Cd-CP based on camphoric acid for the enantioselective recognition of R- and S-propylene glycol. Chinese Journal of Inorganic Chemistry, 2024, 40(12): 2497-2504. doi: 10.11862/CJIC.20240084

    19. [19]

      Xiaoru LIUJinlian SHIYajia ZHENGShuangcun MOZhongxuan XU . Two Ni-based frameworks with helices and dinuclear units constructed from semi-rigid carboxylic acid and imidazole derivatives. Chinese Journal of Inorganic Chemistry, 2025, 41(4): 797-808. doi: 10.11862/CJIC.20240328

    20. [20]

      Jiarong ZHUXiaohua ZHANGXinting XIONGXuliang NIEXiuying SONGMiaomiao ZHANGDayong PENGXiuguang YI . Crystal structure, Hirshfeld surface analysis, and antifungal activity of five complexes based on 2,5-bis(carboxymethoxy)terephthalic acid. Chinese Journal of Inorganic Chemistry, 2025, 41(11): 2358-2370. doi: 10.11862/CJIC.20250150

Metrics
  • PDF Downloads(3)
  • Abstract views(350)
  • HTML views(22)

通讯作者: 陈斌, bchen63@163.com
  • 1. 

    沈阳化工大学材料科学与工程学院 沈阳 110142

  1. 本站搜索
  2. 百度学术搜索
  3. 万方数据库搜索
  4. CNKI搜索
Address:Zhongguancun North First Street 2,100190 Beijing, PR China Tel: +86-010-82449177-888
Powered By info@rhhz.net

/

DownLoad:  Full-Size Img  PowerPoint
Return