Citation: HE Xiao-qiang, MO Wen-long, WANG Qiang, MA Feng-yun. Effect of swelling treatment by ionic liquid on the structure and pyrolysis performance of the direct coal liquefaction residue[J]. Journal of Fuel Chemistry and Technology, ;2019, 47(12): 1417-1429. shu

Effect of swelling treatment by ionic liquid on the structure and pyrolysis performance of the direct coal liquefaction residue

  • Corresponding author: MO Wen-long, mowenlong@xju.edu.cn
  • Received Date: 12 August 2019
    Revised Date: 17 September 2019

    Fund Project: the National Natural Science Foundation of China 21276219The project was supported by the National Science Foundation of China-Key Project of Xinjiang Joint Foundation (U1503293) and the National Natural Science Foundation of China (21276219)the National Science Foundation of China-Key Project of Xinjiang Joint Foundation U1503293

Figures(13)

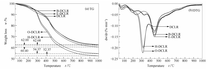
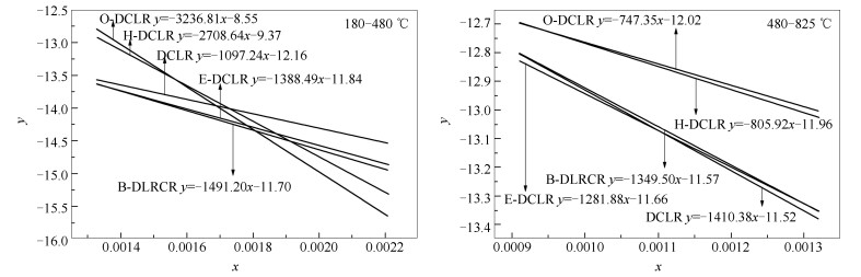
  • Direct coal liquefaction residue (DCLR) was swelled by four kinds of ionic liquids with the same anion and different organic chain length cations, [EMIM] [MeSO4], [BMIM] [MeSO4], [HMIM] [MeSO4] and[OMIM] [MeSO4], and the effects of swelling treatment with ionic liquids on swelling degree, surface morphology, functional group distribution, the main structure and pyrolysis performance of the direct coal liquefaction residue were analyzed by SEM, FT-IR and TG-DTG characterizations. The swelling results show that different chain length ionic liquid has different swelling degrees for the DCLR, and[HMIM] [MeSO4] presents the best swelling effect with the swelling degree of 1.78. The FT-IR results indicate that the ionic liquid could destroy C-H bond in DCLR, leading to a change in relative content of aliphatic and aromatic compounds. The TG-DTG characterization demonstrates that the pyrolysis performance of the residue is greatly affected by the different organic chain length ionic liquid. And the[OMIM] [MeSO4] ionic liquid is more favorable for the pyrolysis of the residue than others, with the weight loss rate of 47.5%. However, the pyrolysis performance of the residue is restrained by the[BMIM] [MeSO4] ionic liquid, in which the weight loss rate is lower than that of DCLR (without swelling treatment). The pyrolysis kinetic data based on Coats-Redfern method show that the pyrolysis reaction for the direct coal liquid residue and the swelled ones at low temperature (180-480 ℃) obeys a second order law, while the third and fourth order law of reaction is more suitable for the residue pyrolysis at high temperature section (480-825 ℃). In addition, the activation energy of the pyrolysis process for the DCLR is altered obviously by swelling treatment with different organic length ionic liquid, the longer the chain length, the higher the pyrolysis activation energy.
  • 加载中
    1. [1]

      KONG H, KONG X H, WANG J, ZHANG J. Thermodynamic analysis of a solar thermochemical cycle-based direct coal liquefaction system for oil production[J]. Energy, 2019,179:1279-1287. doi: 10.1016/j.energy.2019.05.019

    2. [2]

      LV D M, WEI Y C, BAI Z Q, BAI J, KONG L X, GUO Z X, YAN J C, LI W. An approach for utilization of direct coal liquefaction residue:Blending with low-rank coal to prepare slurries for gasification[J]. Fuel, 2015,145:143-150. doi: 10.1016/j.fuel.2014.12.075

    3. [3]

      MA Ya-ya, MA Feng-yun, HE Fang, SUN Zhi-qiang, MO Wen-long, ZHANG Xiao-jing. Influence of microwave swelling with cavitated creosote oil on the direct liquefaction performance of xigou coal from xinjiang and its dynamics analysis[J]. J China Coal Soc, 2017,42(10):2732-2740.  

    4. [4]

      SHU G P, ZHANG Y Z. Research on the maceral characteristics of Shenhua coal and efficient and directional direct coal liquefaction technology[J]. Int J Coal Sci Technol, 2014,1(1):46-55. doi: 10.1007/s40789-014-0003-8

    5. [5]

      GUO Jing, MA Feng-yun, TAЙKEHOB M И , ZHOU Qi-xiong, ZHOU Jian-lin. Effect of solvent swelling of Wucaiwan coal on hydro-liquefaction properties at lower pressure[J]. J China Coal Soc, 2010,35(7):1182-1187.  

    6. [6]

      LIAO Jing, MA Feng-yun, SUN Zhi-qiang, LIU Jing-mei, LIU Yue-e, ZHANG Xiao-jing. Effect of swelling mechanically with cavitated creosote oil on liquefaction properties of Xigou coal from Xinjiang Zhundong[J]. J China Coal Soc, 2016,41(5):1279-1286.  

    7. [7]

      ZHANG J B, JIN L J, HU H Q, XUN Y X. Effect of composition in coal liquefaction residue on catalytic activity of the resultant carbon for methane decomposition[J]. Fuel, 2012,96:462-468. doi: 10.1016/j.fuel.2011.12.075

    8. [8]

      SUN Z Q, MA F Y, LIU X J, WU H H, NIU C G, SU X T, LIU J M. Large-scale synthesis and catalysis of oleic acid-coated Fe2O3 for co-liquefaction of coal and petroleum vacuum residues[J]. Fuel Process Technol, 2015,139:173-177. doi: 10.1016/j.fuproc.2015.07.025

    9. [9]

      BAI L, NIE Y, LI Y, DONG H F, ZHANG X P. Protic ionic liquids extract asphaltenes from direct coal liquefaction residue at room temperature[J]. Fuel Process Technol, 2013,108:94-100. doi: 10.1016/j.fuproc.2012.04.008

    10. [10]

      XU L, TANG M C, DUAN L E, LIU B L, MA X X, ZHANG Y L, ARGYLE M D, FAN M H. Pyrolysis characteristics and kinetics of residue from China Shenhua industrial direct coal liquefaction plant[J]. Thermochim Acta, 2014,589:1-10. doi: 10.1016/j.tca.2014.05.005

    11. [11]

      LI X H, XUE Y L, FENG J, YI Q, LI W Y, GUO X F, LIU K. Co-pyrolysis of lignite and Shendong coal direct liquefaction residue[J]. Fuel, 2015,144:342-348. doi: 10.1016/j.fuel.2014.12.049

    12. [12]

      CUMMINGS J, SHAH K, ATKIN R, MOGHTADERI B. Physicochemical interactions of ionic liquids with coal; the viability of ionic liquids for pre-treatments in coal liquefaction[J]. Fuel, 2015,143:244-252. doi: 10.1016/j.fuel.2014.11.042

    13. [13]

      SÖNMEZ Ö, GIRAY E S. An investigation of the effect of pre-swelling on the extraction yield of two different ranked Turkish coals[J]. Energy Sources Part A, 2011,33(20):1901-1911. doi: 10.1080/15567030903503159

    14. [14]

      BAI Jin-feng, WANG Yong, HU Hao-quan, GUO Shu-cai, CHEN Guo-hua. Effect of swelling pretreatment on pyrolysis and liquefaction characteristics of Zalainuer lignite[J]. Coal Convers, 2000,23(4):50-54. doi: 10.3969/j.issn.1004-4248.2000.04.012

    15. [15]

      ZHAO Yuan, HUANG Li-ming, MA Feng-yun, ZHONG Mei. Effects of swelling on structure, composition and pyrolysis behavior of Xinjiang naomaohu coal[J]. Chin J Process Eng, 2018,18(1):218-224.  

    16. [16]

      LIU Yao-xin, BAI Ling, FENG Zhao-xing, LI Xiao-he. Study on behavior of solvent swelling coal pyrolysis[J]. Coal Technol, 2018,37(4):304-306.  

    17. [17]

      SHAH K, ATKIN R, STANGER R, WALL T, MOGHTADERI B. Interactions between vitrinite and inertinite-rich coals and the ionic liquid-[bmim]Cl[J]. Fuel, 2014,119:214-218. doi: 10.1016/j.fuel.2013.11.038

    18. [18]

      GENG Sheng-chu, FAN Tian-bo, LIU Yun-yi. Application of ionic liquid[Bmim]BF4 in swelling pretreatment of ShenHua coal[J]. Coal Convers, 2010,33(2):35-38. doi: 10.3969/j.issn.1004-4248.2010.02.009

    19. [19]

      CUI C B, JIANG S G, KOU L W, WANG L Y, ZHANG W Q, WU Z Y, WANG K, SHAO H. Effect of ionic liquids on the pyrolysis of coal[J]. Electron J Geotech Eng, 2016,21:5203-5216.  

    20. [20]

      HAYES R, WARR G G, ATKIN R. Structure and nanostructure in lonic liquids[J]. Chem Rev, 2015,115(13):6357-6426. doi: 10.1021/cr500411q

    21. [21]

      TO T Q, SHAH K, TREMAIN P, SIMMONS B A, MOGHTADERI B, ATKIN R. Treatment of lignite and thermal coal with low cost amino acid based ionic liquid-water mixtures[J]. Fuel, 2017,202:296-306. doi: 10.1016/j.fuel.2017.04.051

    22. [22]

      JI JIE, WANG D, SUO Z, XU Y, XU S F. Study on direct coal liquefaction residue influence on mechanical properties of flexible pavement[J]. Int J Pavement Res Technol, 2018,11(4):355-362. doi: 10.1016/j.ijprt.2017.09.006

    23. [23]

      LV D M, BAI Z Q, WEI Y C, BAI J, KONG L X, GUO Z X, LI X, XU J L, LI W. Properties of direct coal liquefaction residue water slurry:Effect of treatment by low temperature pyrolysis[J]. Fuel, 2016,179:135-140. doi: 10.1016/j.fuel.2016.03.081

    24. [24]

      KHARE S, DELL'AMICO M. An overview of conversion of residues from coal liquefaction processes[J]. Can J Chem Eng, 2013,91(10):1660-1670. doi: 10.1002/cjce.21771

    25. [25]

      LIU X, ZHOU Z J, HU Q J, DAI Z H, WANG F C. Experimental study on co-gasification of coal liquefaction residue and petroleum coke[J]. Energy Fuels, 2011,25(8):3377-3381. doi: 10.1021/ef200402z

    26. [26]

      YANG J L, WANG Z X, LIU Z Y, ZHANG Y Z. Novel use of residue from direct coal liquefaction process[J]. Energy Fuels, 2009,23(10):4717-4722. doi: 10.1021/ef9000083

    27. [27]

      ZHANG De-run, LUO Rong, CHEN Yu, ZHANG Sheng-zhen, SHENG Ying. Performance analysis of DCLR-modified asphalt based on surfacefreer energy[J]. China J Highw Transp, 2016,29(1):22-28. doi: 10.3969/j.issn.1001-7372.2016.01.003

    28. [28]

      LI J, YANG J L, LIU Z Y. Hydrogenation of heavy liquids from a direct coal liquefaction residue for improved oil yield[J]. Fuel Process Technol, 2009,90(4):490-495. doi: 10.1016/j.fuproc.2009.01.013

    29. [29]

      ZHOU Y, XIAO N, QIU J S, SUN Y F, SUN T J, ZHAO Z B, ZHANG Y, TSUBAKI N. Preparation of carbon microfibers from coal liquefaction residue[J]. Fuel, 2008,87(15/16):3474-3476.  

    30. [30]

      LI Y, ZHANG X P, LAI S Y, DONG H F, CHEN X L, WANG X L, NIE Y, SHENG Y, ZHANG S J. Ionic liquids to extract valuable components from direct coal liquefaction residues[J]. Fuel, 2012,94:617-619. doi: 10.1016/j.fuel.2011.10.031

    31. [31]

      NIE Y, BAI L, DONG H F, ZHANG X P, ZHANG S J. Extraction of asphaltenes from direct coal liquefaction residue by dialkylphosphate ionic liquids[J]. Sep Sci Technol, 2012,47(2):386-391. doi: 10.1080/01496395.2011.633957

    32. [32]

      NIE Y, BAI L, LI Y, DONG H F, ZHANG X P, ZHANG S J. Study on extraction asphaltenes from direct coal liquefaction residue with ionic liquids[J]. Ind Eng Chem Res, 2011,50(17):10278-10282. doi: 10.1021/ie201187m

    33. [33]

      WANG L Y, XU Y L, JIANG S G, YU M, CHU T X, ZHANG W Q, WU Z Y, KOU L W. Imidazolium based ionic liquids affecting functional groups and oxidation properties of bituminous coal[J]. Saf Sci, 2012,50(7):1528-1534. doi: 10.1016/j.ssci.2012.03.006

    34. [34]

      CUMMINGS J, KUNDU S, TREMAIN P, MOGHTADERI B, ATKIN R, SHAH K. Investigations into physicochemical changes in thermal coals during low-temperature ionic liquid treatment[J]. Energy Fuels, 2015,29(11):7080-7088. doi: 10.1021/acs.energyfuels.5b01824

    35. [35]

      LEI Z P, HU Z Q, ZHANG H, HAN L N, SHUI H F, REN S B, WANG Z C, KANG S G, PAN C C. Pyrolysis of lignite following low temperature ionic liquid pretreatment[J]. Fuel, 2016,166:124-129. doi: 10.1016/j.fuel.2015.10.059

    36. [36]

      SONG Y H, MA Q N, HE W J. Effect of extracted compositions of liquefaction residue on the structure and properties of the formed-coke[J]. MATEC Web Conf, 2016,6706026. doi: 10.1051/matecconf/20166706026

    37. [37]

      ZHANG W Q, JIANG S G, WU Z Y, WANG K, SHAO H, QIN T, XI X, TIAN H B. Influence of imidazolium-based ionic liquids on coal oxidation[J]. Fuel, 2018,217:529-535. doi: 10.1016/j.fuel.2017.12.056

    38. [38]

      SÖNMEZA Ö, YILDIZA Ö, ÇAKIR M Ö, GÖZMENA B, GIRAY E S. Influence of the addition of various ionic liquids on coal extraction with NMP[J]. Fuel, 2018,212:12-18. doi: 10.1016/j.fuel.2017.10.017

    39. [39]

      CUMMINGS J, TREMAIN P, SHAH K, HELDT E, MOGHTADERI B, ATKIN R, KUNDU S, VUTHALURU H. Modification of lignites via low temperature ionic liquid treatment[J]. Fuel Process Technol, 2017,155:51-58. doi: 10.1016/j.fuproc.2016.02.040

    40. [40]

      WU D, LIU G J, SUN R Y. Investigation on structural and thermodynamic characteristics of perhydrous bituminous coal by fourier transform infrared spectroscopy and thermogravimetry/mass spectrometry[J]. Energy Fuels, 2014,28(5):3024-3035. doi: 10.1021/ef5003183

    41. [41]

      GENG W H, NAKAJIMA T, TAKANASHI H, OHKI A. Analysis of carboxyl group in coal and coal aromaticity by Fourier transform infrared (FT-IR) spectrometry[J]. Fuel, 2009,88(1):139-144.  

    42. [42]

      LIN X C, WANG C H, IDETA K, MIYAWAKI J, NISHIYAMA Y, WANG Y G, YOON S, MOCHIDA I. Insights into the functional group transformation of a chinese brown coal during slow pyrolysis by combining various experiments[J]. Fuel, 2014,118:257-264. doi: 10.1016/j.fuel.2013.10.081

    43. [43]

      WANG S Q, TANG Y G, SCHOBERT H H, GUO Y N, GAO W C, LU X K. FT-IR and simultaneous TG/MS/FT-IR study of Late Permian coals from Southern China[J]. J Anal Appl Pyrolysis, 2013,100:75-80. doi: 10.1016/j.jaap.2012.11.021

    44. [44]

      QI X Y, WANG D M, XIN H H, QI G S. In situ FT-IR study of real-time changes of active groups guring oxygen-free reaction of coal[J]. Energy Fuels, 2013,27(6):3130-3136. doi: 10.1021/ef400534f

    45. [45]

      WU D, LIU G J, SUN R Y, FAN X. Investigation of structural characteristics of thermally metamorphosed coal by FT-IR spectroscopy and X-ray diffraction[J]. Energy Fuels, 2013,27(10):5823-5830. doi: 10.1021/ef401276h

    46. [46]

      MA Ya-ya, MA Feng-yun, MO Wen-long, FAN Xing. Influence of acid treatment on the structure and extraction performance of Xinjiang Hefeng low-rank coal[J]. J Fuel Chem Technol, 2019,47(6):649-660. doi: 10.3969/j.issn.0253-2409.2019.06.002 

    47. [47]

      ZHOU Jun-hu, FANG Lei, CHENG Jun, LIU Jian-zhong, CEN Ke-fa. Pyrolysis properties of Shenhua coal liquefaction residue[J]. J Combust Sci Technol, 2006,12(4):295-299. doi: 10.3321/j.issn:1006-8740.2006.04.002

    48. [48]

      ZHU P, LUO A Q, ZHANG F, LEI Z P, ZHANG J L, ZHANG J S. Effects of extractable compounds on the structure and pyrolysis behaviours of two Xinjiang coal[J]. J Anal Appl Pyrolysis, 2018,133:128-135. doi: 10.1016/j.jaap.2018.04.012

    49. [49]

      CHANG Zhi-bing, CHU Mo, SUN Ren-hui, YANG Xiao-min, LV Hai-long. Study on co-pyrolysis kinetics of coal direct liquefaction residue and lignite[J]. Coal Sci Technol, 2015,43(3):138-141+39.  

  • 加载中
    1. [1]

      Yameen AhmedXiangxiang FengYuanji GaoYang DingCaoyu LongMustafa HaiderHengyue LiZhuan LiShicheng HuangMakhsud I. SaidaminovJunliang Yang . Interface Modification by Ionic Liquid for Efficient and Stable FAPbI3 Perovskite Solar Cells. Acta Physico-Chimica Sinica, 2024, 40(6): 2303057-0. doi: 10.3866/PKU.WHXB202303057

    2. [2]

      Qiang ZhangYuanbiao HuangRong Cao . Imidazolium-Based Materials for CO2 Electroreduction. Acta Physico-Chimica Sinica, 2024, 40(4): 2306040-0. doi: 10.3866/PKU.WHXB202306040

    3. [3]

      Wenjun Zheng . Application in Inorganic Synthesis of Ionic Liquids. University Chemistry, 2024, 39(8): 163-168. doi: 10.3866/PKU.DXHX202401020

    4. [4]

      Zehua Zhao Xiaoyan An Jinrong Xu Ling Yang Hao Zhao Zhongyun Wu . Independent Development and Application of Calorimetric Experiment Data Acquisition and Processing Software. University Chemistry, 2025, 40(11): 402-408. doi: 10.12461/PKU.DXHX202505045

    5. [5]

      Qiaorong RU . Synthesis and characterization of tripyridine functionalized polyionic liquid luminescent materials. Chinese Journal of Inorganic Chemistry, 2026, 42(1): 111-119. doi: 10.11862/CJIC.20250121

    6. [6]

      Rohit KumarAnita SudhaikAftab Asalam Pawaz KhanVan Huy NeguyenArchana SinghPardeep SinghSourbh ThakurPankaj Raizada . Designing tandem S-scheme photo-catalytic systems: Mechanistic insights, characterization techniques, and applications. Acta Physico-Chimica Sinica, 2025, 41(11): 100150-0. doi: 10.1016/j.actphy.2025.100150

    7. [7]

      Yingran Liang Fei WangJiabao Sun Hongtao Zheng Zhenli Zhu . Construction and Application of a New Experimental Device for Determination of Alkaline Metal Elements by Plasma Atomic Emission Spectrometry Based on Solution Cathode Glow Discharge: An Alternative Approach for Fundamental Teaching Experiments in Emission Spectroscopy. University Chemistry, 2024, 39(5): 380-387. doi: 10.3866/PKU.DXHX202312024

    8. [8]

      Mei Yan Rida Feng Yerdos·Tohtarkhan Biao Long Li Zhou Chongshen Guo . Expansion and Extension of Liquid Saturated Vapor Measurement Experiment. University Chemistry, 2024, 39(3): 294-301. doi: 10.3866/PKU.DXHX202308103

    9. [9]

      Min Hu Yinghuan Li Yanhong Bai Yanping Ren Juanjuan Song Yongxian Fan Dongcheng Liu Xiuqiong Zeng Faqiong Zhao Wenwei Zhang Mei Shi Wan Li Xiuyun Wang Weihong Li Xiaohang Qiu Yong Fan Jianrong Zhang Shuyong Zhang . Suggestions on the Method of Hydrothermal-Solventthermal Synthesis and Their Operation Standards. University Chemistry, 2026, 41(3): 208-215. doi: 10.12461/PKU.DXHX202507034

    10. [10]

      Kexin YanZhaoqi YeLingtao KongHe LiXue YangYahong ZhangHongbin ZhangYi Tang . Seed-Induced Synthesis of Disc-Cluster Zeolite L Mesocrystals with Ultrashort c-Axis: Morphology Control, Decoupled Mechanism, and Enhanced Adsorption. Acta Physico-Chimica Sinica, 2024, 40(9): 2308019-0. doi: 10.3866/PKU.WHXB202308019

    11. [11]

      Xuejie WangGuoqing CuiCongkai WangYang YangGuiyuan JiangChunming Xu . Research Progress on Carbon-based Catalysts for Catalytic Dehydrogenation of Liquid Organic Hydrogen Carriers. Acta Physico-Chimica Sinica, 2025, 41(5): 100044-0. doi: 10.1016/j.actphy.2024.100044

    12. [12]

      Kai Ye Lizhong Zhang Mingyu Zhang Qinxiong Wu Kui Wang Qi Wang . Digital Experiment for the Determination of Liquid Saturated Vapor Pressure. University Chemistry, 2026, 41(1): 227-243. doi: 10.12461/PKU.DXHX202503107

    13. [13]

      Kun Li Na Gao Shuangyan Huan Yuzhi Wang . Design of Ideological and Political Education for the Experiment of Detecting Cadmium with Anodic Stripping Voltammetry. University Chemistry, 2024, 39(2): 155-161. doi: 10.3866/PKU.DXHX202307068

    14. [14]

      Yukai Jiang Yihan Wang Yunkai Zhang Yunping Wei Ying Ma Na Du . Characterization and Phase Diagram of Surfactant Lyotropic Liquid Crystal. University Chemistry, 2024, 39(4): 114-118. doi: 10.3866/PKU.DXHX202309033

    15. [15]

      Zhuo WANGJunshan ZHANGShaoyan YANGLingyan ZHOUYedi LIYuanpei LAN . Preparation and photocatalytic performance of CeO2-reduced graphene oxide by thermal decomposition. Chinese Journal of Inorganic Chemistry, 2024, 40(9): 1708-1718. doi: 10.11862/CJIC.20240067

    16. [16]

      Yang Lv Yingping Jia Yanhua Li Hexiang Zhong Xinping Wang . Integrating the Ideological Elements with the “Chemical Reaction Heat” Teaching. University Chemistry, 2024, 39(11): 44-51. doi: 10.12461/PKU.DXHX202402059

    17. [17]

      Yang ZHOULili YANWenjuan ZHANGPinhua RAO . Thermal regeneration of biogas residue biochar and the ammonia nitrogen adsorption properties. Chinese Journal of Inorganic Chemistry, 2025, 41(8): 1574-1588. doi: 10.11862/CJIC.20250032

    18. [18]

      Jing Wang Pingping Li Yuehui Wang Yifan Xiu Bingqian Zhang Shuwen Wang Hongtao Gao . Treatment and Discharge Evaluation of Phosphorus-Containing Wastewater. University Chemistry, 2024, 39(5): 52-62. doi: 10.3866/PKU.DXHX202309097

    19. [19]

      Xuan Zhou Yi Fan Zhuoqi Jiang Zhipeng Li Guowen Yuan Laiying Zhang Xu Hou . Liquid Gating Mechanism and Basic Properties Characterization: a New Experimental Design for Interface and Surface Properties in the Chemistry “101 Plan”. University Chemistry, 2024, 39(10): 113-120. doi: 10.12461/PKU.DXHX202407111

    20. [20]

      Limei CHENMengfei ZHAOLin CHENDing LIWei LIWeiye HANHongbin WANG . Preparation and performance of paraffin/alkali modified diatomite/expanded graphite composite phase change thermal storage material. Chinese Journal of Inorganic Chemistry, 2024, 40(3): 533-543. doi: 10.11862/CJIC.20230312

Metrics
  • PDF Downloads(10)
  • Abstract views(1765)
  • HTML views(210)

通讯作者: 陈斌, bchen63@163.com
  • 1. 

    沈阳化工大学材料科学与工程学院 沈阳 110142

  1. 本站搜索
  2. 百度学术搜索
  3. 万方数据库搜索
  4. CNKI搜索
Address:Zhongguancun North First Street 2,100190 Beijing, PR China Tel: +86-010-82449177-888
Powered By info@rhhz.net

/

DownLoad:  Full-Size Img  PowerPoint
Return