Citation: DAI Cai-sheng, LIU Xue-peng, DAI Jin-ze, MA Song-jiang. Preparation and rheological property of the char-water slurry based on co-pyrolysis of sawdust and lignite[J]. Journal of Fuel Chemistry and Technology, ;2016, 44(7): 784-791. shu

Preparation and rheological property of the char-water slurry based on co-pyrolysis of sawdust and lignite

  • Corresponding author: LIU Xue-peng, 502006383@qq.com
  • Received Date: 20 January 2016
    Revised Date: 18 April 2016

    Fund Project: Scientific Innovation Program of Graduates in Hunan Province CX2014B419The project was supported by the National Natural Science Foundation of China 51478182International S & T Cooperation Program of China 2013DFG60060

Figures(10)

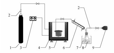
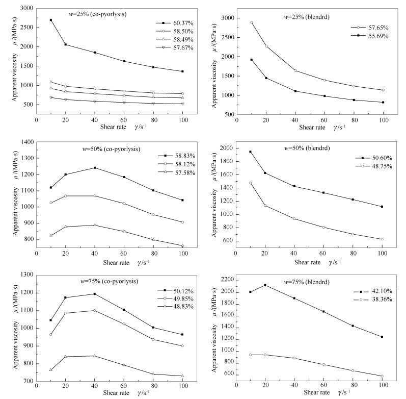
  • An integrated experimental apparatus for pyrolysis/co-pyrolysis was employed to carry out the upgrading process of sawdust, Yunnan lignite, and their blends. The slurry-ability of the upgraded char was investigated. The results show that the slurry-ability of sawdust and Yunnan lignite is significantly improved via pyrolysis process. Bio-char and semi-coke were prepared at 500 ℃ holding 1.5 h. The solid loadings of the resulting slurry fuels derived from sawdust and lignite were enhanced from 29.21% and 54.63% to 38.57% and 60.19%, respectively. Under the same pyrolysis conditions, the slurry-ability of the char prepared from co-pyrolysis of sawdust and Yunnan lignite is apparently superior to that of the corresponding bio-char/coal char mixture with the same original mass ratio of feedstock. The prepared char-water slurries generally display pseudo-plastic behavior, i.e., the shear press decreases with increasing shear rate. When the mass ratio of sawdust exceeds 50%, the rheological property of char-water slurry tend to be shear thickening, exhibiting strong dilatant behavior at low shear rate, which is similar to the rheological property of biochar-water slurry. The desirable slurry-ability of the char produced from co-pyrolysis could be attributed to the synergistic effect of biomass and coal, which is likely to improve aromaticity of the resulting hybrid char.
  • 加载中
    1. [1]

      WANG Jian-he. Review on research and utilization of sawdust[J]. Guangdong Forestry Sci Technol, 1991(3):23-27.  

    2. [2]

      LÜ You-jun, GUO Lie-jin, HAO Xiao-hong, JI Cheng-meng. Influence of main paramters on wood sawdust gasification in supercritical water[J]. J Chem Ind Eng (China), 2004,55(12):2060-2066.  

    3. [3]

      HUBEr G W, SARA I, AVELINO C. Synthesis of transportation fuels from biomass: Chemistry, catalysts, and engineering[J]. Chem Rev, 2006,106(9):4044-98. doi: 10.1021/cr068360d

    4. [4]

      WU Guo-qing. The method to raise pigs with sawdust[J]. New Rural Tech, 2014(6):25-26.  

    5. [5]

      HE Chen-qing, WU Yun-he. Study of production of high efficiency protein feed by using biotic matters[J]. Biotechnol, 1993,3(3):33-36.  

    6. [6]

      QIAN Yong, WU Lei, WANG Jian-jun, ZHUANG Jun-tao. Performance of NaOH-modified larch sawdust adsorbing reactive dyes[J]. J Ecol Rural Environ, 2012,28(4):445-450.  

    7. [7]

      ZHOU Zhi-jun, LI Xiang, ZHOU Jun-hu, LIU Jian-zhong, CEN Ke-fa. Evaluation of surfactants used in biomass coal-water slurries[J]. J Chin Coal Soc, 2012,37(1):147-153.  

    8. [8]

      DENG Hui. The study of biomass coal water slurry[D]. Fuzhou: Fuzhou University, 2010.

    9. [9]

      PENG Qian. Preparation, combustion and gasification of biomass coal water slurry[D]. Hangzhou: Zhejiang University, 2011.

    10. [10]

      LIU M, DUAN Y, MA X. Effect on surface chemistry and structure of sludge particles on their co-slurrying ability with petroleum coke[J]. Int J Chem React Eng, 2014,12(1):429-439.  

    11. [11]

      CHEN R, WILSON M, LEONG Y K, BRYANT P, YANG H, ZHANG D K. Preparation and rheology of biochar, lignite char and coal slurry fuels[J]. Fuel, 2011,90(4):1689-1695. doi: 10.1016/j.fuel.2010.10.041

    12. [12]

      WEI H, CHAN S P, NORBECK J M. Rheological study of comingled biomass and coal slurries with hydrothermal pretreatment[J]. Energy Fuels, 2009,23(1):4763-4767.  

    13. [13]

      YANG Bo-li, GONG Kai-feng, ZHOU Jian-hui, LIU Hai-feng, WANG Fu-chen, YU Zun-hong. Slurryability of lignite and petroleum coke mixture[J]. J Fuel Chem Technol, 2008,23(4):391-396.  

    14. [14]

      FARR R S, MELROSE J R, BALL R C. Kinetic theory of jamming in hard-sphere startup flows[J]. Phys Rev E: Stat Phys, Plasmas Fluids, Relat Interdiscip Top, 1997,55(6):7203-7211.  

    15. [15]

      YANG Xiao-qin, LIU Xue-jing, LIU Hai-xiong, YUE Xiao-ming, CAO Jing-pei, ZHOU Min. Synergy effect in co-gasification of lignite and char of pine sawdust[J]. Acta Phys Chim Sin, 2014,30(10):1794-1800.  

  • 加载中
    1. [1]

      Yuting BaiCenqi YanZhen LiJiaqiang QinPei Cheng . Preparation of High-Strength Polyimide Porous Films with Thermally Closed Pore Property by In Situ Pore Formation Method. Acta Physico-Chimica Sinica, 2024, 40(9): 2306010-0. doi: 10.3866/PKU.WHXB202306010

    2. [2]

      Yang ZHOULili YANWenjuan ZHANGPinhua RAO . Thermal regeneration of biogas residue biochar and the ammonia nitrogen adsorption properties. Chinese Journal of Inorganic Chemistry, 2025, 41(8): 1574-1588. doi: 10.11862/CJIC.20250032

    3. [3]

      Xin XIONGQian CHENQuan XIE . First principles study of the photoelectric properties and magnetism of La and Yb doped AlN. Chinese Journal of Inorganic Chemistry, 2024, 40(8): 1519-1527. doi: 10.11862/CJIC.20240064

    4. [4]

      Xueyu LinRuiqi WangWujie DongFuqiang Huang . Rational Design of Bimetallic Oxide Anodes for Superior Li+ Storage. Acta Physico-Chimica Sinica, 2025, 41(3): 100021-0. doi: 10.3866/PKU.WHXB202311005

    5. [5]

      Rohit KumarAnita SudhaikAftab Asalam Pawaz KhanVan Huy NeguyenArchana SinghPardeep SinghSourbh ThakurPankaj Raizada . Designing tandem S-scheme photo-catalytic systems: Mechanistic insights, characterization techniques, and applications. Acta Physico-Chimica Sinica, 2025, 41(11): 100150-0. doi: 10.1016/j.actphy.2025.100150

    6. [6]

      Xuyu WANGXinran XIEDengke CAO . Photoreaction characteristics and luminescence modulation in phosphine-anthracene-based Au(Ⅰ) and Ir(Ⅲ) complexes. Chinese Journal of Inorganic Chemistry, 2025, 41(8): 1513-1522. doi: 10.11862/CJIC.20250113

    7. [7]

      Gang ZHANGJian ZHANGHaiyang CHUChongxin QIANLai WEI . Chlorobenzene additive-assisted regulation of (PMA)2PbBr4 crystal growth and photoelectric properties. Chinese Journal of Inorganic Chemistry, 2026, 42(4): 713-721. doi: 10.11862/CJIC.20250318

    8. [8]

      Zehao ZhangZheng WangHaibo Li . Preparation of 2D V2O3@Pourous Carbon Nanosheets Derived from V2CFx MXene for Capacitive Desalination. Acta Physico-Chimica Sinica, 2024, 40(8): 2308020-0. doi: 10.3866/PKU.WHXB202308020

    9. [9]

      Min Hu Yinghuan Li Yanhong Bai Yanping Ren Juanjuan Song Yongxian Fan Dongcheng Liu Xiuqiong Zeng Faqiong Zhao Wenwei Zhang Mei Shi Wan Li Xiuyun Wang Weihong Li Xiaohang Qiu Yong Fan Jianrong Zhang Shuyong Zhang . Suggestions on the Method of Hydrothermal-Solventthermal Synthesis and Their Operation Standards. University Chemistry, 2026, 41(3): 208-215. doi: 10.12461/PKU.DXHX202507034

    10. [10]

      Ping Song Nan Zhang Jie Wang Rui Yan Zhiqiang Wang Yingxue Jin . Experimental Teaching Design on Synthesis and Antitumor Activity Study of Cu-Pyropheophorbide-a Methyl Ester. University Chemistry, 2024, 39(6): 278-286. doi: 10.3866/PKU.DXHX202310087

    11. [11]

      Shipeng WANGShangyu XIELuxian LIANGXuehong WANGJie WEIDeqiang WANG . Piezoelectric effect of Mn, Bi co-doped sodium niobate for promoting cell proliferation and bacteriostasis. Chinese Journal of Inorganic Chemistry, 2024, 40(10): 1919-1931. doi: 10.11862/CJIC.20240094

    12. [12]

      Kexin YanZhaoqi YeLingtao KongHe LiXue YangYahong ZhangHongbin ZhangYi Tang . Seed-Induced Synthesis of Disc-Cluster Zeolite L Mesocrystals with Ultrashort c-Axis: Morphology Control, Decoupled Mechanism, and Enhanced Adsorption. Acta Physico-Chimica Sinica, 2024, 40(9): 2308019-0. doi: 10.3866/PKU.WHXB202308019

    13. [13]

      Tiejin ChenXiaokuang XueJian LiMinhui CuiYongliang HaoMianqi XueHaihua XiaoJiechao GePengfei Wang . Membrane-anchoring nanoengineered carbon dots as a pyroptosis amplifier for robust tumor photodynamic-immunotherapy. Acta Physico-Chimica Sinica, 2025, 41(10): 100113-0. doi: 10.1016/j.actphy.2025.100113

    14. [14]

      Jiahong WANGZekun XUTianjiao LUJinming HUANG . Performance of N, Mn doped semi-coke activated carbon catalyzed ozone oxidation for the degradation of tetracycline hydrochloride in water. Chinese Journal of Inorganic Chemistry, 2025, 41(12): 2549-2560. doi: 10.11862/CJIC.20250120

    15. [15]

      Qingtang ZHANGXiaoyu WUZheng WANGXiaomei WANG . Performance of nano Li2FeSiO4/C cathode material co-doped by potassium and chlorine ions. Chinese Journal of Inorganic Chemistry, 2024, 40(9): 1689-1696. doi: 10.11862/CJIC.20240115

    16. [16]

      Hailang JIAYujie LUPengcheng JI . Preparation and properties of nitrogen and phosphorus co-doped graphene carbon aerogel supported ruthenium electrocatalyst for hydrogen evolution reaction. Chinese Journal of Inorganic Chemistry, 2025, 41(11): 2327-2336. doi: 10.11862/CJIC.20250021

    17. [17]

      Zhuo WANGJunshan ZHANGShaoyan YANGLingyan ZHOUYedi LIYuanpei LAN . Preparation and photocatalytic performance of CeO2-reduced graphene oxide by thermal decomposition. Chinese Journal of Inorganic Chemistry, 2024, 40(9): 1708-1718. doi: 10.11862/CJIC.20240067

    18. [18]

      Yang Lv Yingping Jia Yanhua Li Hexiang Zhong Xinping Wang . Integrating the Ideological Elements with the “Chemical Reaction Heat” Teaching. University Chemistry, 2024, 39(11): 44-51. doi: 10.12461/PKU.DXHX202402059

    19. [19]

      Zehua Zhao Xiaoyan An Jinrong Xu Ling Yang Hao Zhao Zhongyun Wu . Independent Development and Application of Calorimetric Experiment Data Acquisition and Processing Software. University Chemistry, 2025, 40(11): 402-408. doi: 10.12461/PKU.DXHX202505045

    20. [20]

      Junke LIUKungui ZHENGWenjing SUNGaoyang BAIGuodong BAIZuwei YINYao ZHOUJuntao LI . Preparation of modified high-nickel layered cathode with LiAlO2/cyclopolyacrylonitrile dual-functional coating. Chinese Journal of Inorganic Chemistry, 2024, 40(8): 1461-1473. doi: 10.11862/CJIC.20240189

Metrics
  • PDF Downloads(0)
  • Abstract views(2089)
  • HTML views(162)

通讯作者: 陈斌, bchen63@163.com
  • 1. 

    沈阳化工大学材料科学与工程学院 沈阳 110142

  1. 本站搜索
  2. 百度学术搜索
  3. 万方数据库搜索
  4. CNKI搜索
Address:Zhongguancun North First Street 2,100190 Beijing, PR China Tel: +86-010-82449177-888
Powered By info@rhhz.net

/

DownLoad:  Full-Size Img  PowerPoint
Return