Citation: MENG Jun-guang, WANG Xiao-bo, ZHAO Zeng-li, ZHENG An-qing, LI Hai-bin. Effects of modified olivine on the CO2 reforming of toluene[J]. Journal of Fuel Chemistry and Technology, ;2017, 45(3): 295-302. shu

Effects of modified olivine on the CO2 reforming of toluene

  • Corresponding author: WANG Xiao-bo, wangxb@ms.giec.ac.cn
  • Received Date: 14 November 2016
    Revised Date: 6 January 2017

    Fund Project: the National Natural Science Foundation of China 51506208the Projects of International Cooperation and Exchanges NSFC 51661145011

Figures(9)

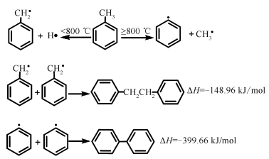
  • An olivine catalyst was tested in a fixed bed reactor in CO2 reforming of the toluene as a tar model molecule produced during biomass gasification. The olivine catalyst was characterized by XRD, SEM, BET, H2-TPR; and the effects of the operating parameters (reforming reaction temperature and CO2 concentration) and catalyst preparation parameters (calcination temperature and nickel content) on the activity and selectivity for toluene conversion were examined. The results show that the olivine catalyst can increase the toluene conversion and lower the carbon formation. The toluene conversion also increases with the reforming temperature rise. The calcined olivine reaches the highest activity when the calcination temperature is 900℃. The CO2 addition can reduce the carbon formation obviously by 17.0% when the CO2/C7H8 molar ratio is 4. Moreover, the Ni/olivine catalyst has a better performance and the toluene conversation is up to 99.4%, while the carbon formation increases a little bit.
  • 加载中
    1. [1]

      ABDOULMOUMINE N, ADHIKARI S, KULKARMI A, CHATTANATHAN S. A review on biomass gasification syngas cleanup[J]. Appl Energy, 2015,155:294-307. doi: 10.1016/j.apenergy.2015.05.095

    2. [2]

      ZHANG Shu, CHEN Zong-ding, XU Min, XU De-ping, WANG Yong-gang. Review on technology development for tar removal/catalytical reforming during coal gasification[J]. Coal Sci Technol, 2014,42(1):106-111.  

    3. [3]

      YUNG M M, JABLONSKI W S, MAGRINI-BAIR K A. Review of catalytic conditioning of biomass-derived syngas[J]. Energy Fuels, 2009,23(4):1874-1887. doi: 10.1021/ef800830n

    4. [4]

      WU You, ZHAO Li-xin, MENG Hai-bo, CONG Hong-bin, YAO Zong-lu, HOU Shu-lin. Research progresses on removal of tar in biomass pyrolysis[J]. Environ Prot Chem Ind, 2016,36(1):17-21.  

    5. [5]

      DEVI L, CRAJE M, THÜNE P, PTASINSKI K J, JANSSEN F J J G. Olivine as tar removal catalyst for biomass gasifiers:Catalyst characterization[J]. Appl Catal A:Gen, 2005,294:68-79. doi: 10.1016/j.apcata.2005.07.044

    6. [6]

      VIRGINIE M, ADANEZ J, COURSON C, DIEGO L F, LABIANO F G, NIZNANSKY D, KIENNEMANN A, GAYAN P, ABAD A. Effect of Fe-olivine on the tar content during biomass gasification in a dual fluidized bed[J]. Appl Catal B:Environ, 2012,121:214-222.

    7. [7]

      YUE Bao-hua, BU Xian-ni, WANG Xue-guang, DING Wei-zhong. Effect of calcination temperature on catalytic performance of olivine for toluene cracking[J]. CIESC J, 2009,60(2):378-383.  

    8. [8]

      WEI Li-gang, XU Shao-ping, LIU Chang-hou, LIU Shu-qin. Effects of precalcination on catalytic activity of olivine in biomass gasification[J]. J Fuel Chem Technol, 2008,36(4):426-430.  

    9. [9]

      VIRGINIE M, COURSON C, KIENNEMANN A. Toluene steam reforming as tar model molecule produced during biomass gasification with an iron/olivine catalyst[J]. Comptes Rendus Chimie, 2010,13(10):1319-1325. doi: 10.1016/j.crci.2010.03.022

    10. [10]

      CHEAH S, GAGTON K R, PARENT Y O, JARVIS M W, VINZANT T B, SMITH K M, THORNBURG N E, NIMLOS M R, MAGRINI-BAIR K A. Nickel cerium olivine catalyst for catalytic gasification of biomass[J]. Appl Catal B:Environ, 2013,134:34-45.  

    11. [11]

      YANG Xiao-qin, XU Shao-ping, HU Guan, LIU Chang-hou. Effects of olivines from different quarries on the steam reforming of benzene[J]. Chin J Catal, 2009,30(6):497-502.  

    12. [12]

      RAUCH R, BOSCH K, SWIERCZYNSKI D, COURSON C, KIENNEMANN A. Comparison of different olivines for biomass steam gasification[M]. na, 2004.

    13. [13]

      SWIERCZYNSKI D, COURSON C, BEDEL L, KIENNEMANN A, VILMINOT S. Oxidation reduction behavior of iron-bearing olivines (Fex Mg1-x) 2SiO4 used as catalysts for biomass gasification[J]. Chem Mater, 2006,18(4):897-905. doi: 10.1021/cm051433+

    14. [14]

      CHRISTODOULOU C, GRIMEKIS D, PANOPOULOS K D, PACHATOURIDOU E P, ILIOPOULOU E F, KAKARAS E. Comparing calcined and un-treated olivine as bed materials for tar reduction in fluidized bed gasification[J]. Fuel Process Technol, 2014,124:275-285. doi: 10.1016/j.fuproc.2014.03.012

    15. [15]

      WANG Hui, YANG Hai-feng, RAN Xin-quan, WEN Zhen-yi, SHI Qi-zhen. AM1 thermodynamic research of the pyrolysis mechanism of toluene (Ⅰ)[J]. Chin J Inorg Chem, 2001,17(4):538-544.  

    16. [16]

      KONG Meng. Carbon dioxide reforming of tolueneas a model compound of tar from biomass-derived syngas over Ni catalyst[D]. Hangzhou:Zhejiang Univisity, 2012.

    17. [17]

      KONG M, YANG Q, FEI J H, ZHENG X M. Experimental study of Ni/MgO catalyst in carbon dioxide reforming of toluene, a model compound of tar from biomass gasification[J]. Int J Hydrogen Energy, 2012,37(18):13355-13364. doi: 10.1016/j.ijhydene.2012.06.108

    18. [18]

      LI Lan-lan, ZHENG An-qing, FENG Yi-peng, MENG Jun-guang, ZHAO Zeng-li, LI Hai-bin. Effects of olivine on the catalytic reforming of toluene[J]. J Fuel Chem Technol, 2015,43(7):806-815.  

    19. [19]

      YANG X X, XU S P, XU H L, LIU X D, LIU C H. Nickel supported on modified olivine catalysts for steam reforming of biomass gasification tar[J]. Catal Commun, 2010,11(5):383-386. doi: 10.1016/j.catcom.2009.11.006

    20. [20]

      SHI Pei-chao, CHEN Tian-hu, ZHANG Xian-long, CHEN Dong, SONG Lei, LI Zong-hu. CO2 reforming of toluene from biomass tar over Ni/palygorskite catalast[J]. Chin J Catal, 2010,31(10):1281-1285.  

  • 加载中
    1. [1]

      Hailian Cheng Shuaiqiang Jia Chunjun Chen Haihong Wu Buxing Han . Electrocatalytic CO2 Conversion: A Key to Unlocking a Low-Carbon Future. University Chemistry, 2026, 41(2): 1-13. doi: 10.12461/PKU.DXHX202502023

    2. [2]

      Jiayi Yang Jianxiu Hao Huacong Zhou Quansheng Liu . “Gorgeous Transformation” of Carbon Dioxide into Cyclic Carbonates: Catalyst Types and Roles. University Chemistry, 2026, 41(2): 178-189. doi: 10.12461/PKU.DXHX202502105

    3. [3]

      Xiaolong Li Shiqi Zhong Xiangfeng Wei Zhiqiang Liu Pan Zhan Jiehua Liu . Carbon Dioxide: From the Past to the Future. University Chemistry, 2026, 41(2): 242-247. doi: 10.12461/PKU.DXHX202503013

    4. [4]

      Yanhui GuoLi WeiZhonglin WenChaorong QiHuanfeng Jiang . Recent Progress on Conversion of Carbon Dioxide into Carbamates. Acta Physico-Chimica Sinica, 2024, 40(4): 2307004-0. doi: 10.3866/PKU.WHXB202307004

    5. [5]

      Xiaofei LiuHe WangLi TaoWeimin RenXiaobing LuWenzhen Zhang . Electrocarboxylation of Benzylic Phosphates and Phosphinates with Carbon Dioxide. Acta Physico-Chimica Sinica, 2024, 40(9): 2307008-0. doi: 10.3866/PKU.WHXB202307008

    6. [6]

      Jiayin Hu Yafei Guo Long Li Tianlong Deng . Teaching Innovation of Salt-Water System Phase Diagrams under the “Dual Carbon” Background: Introducing the Pressurized CO2 Carbonization Phase Equilibria. University Chemistry, 2025, 40(11): 31-36. doi: 10.12461/PKU.DXHX202412031

    7. [7]

      Honghong ZhangZhen WeiDerek HaoLin JingYuxi LiuHongxing DaiWeiqin WeiJiguang Deng . 非均相催化CO2与烃类协同催化转化的最新进展. Acta Physico-Chimica Sinica, 2025, 41(7): 100073-0. doi: 10.1016/j.actphy.2025.100073

    8. [8]

      Xiaomin Kang Chuanbao Jiao . Application of Metal-Organic Frameworks in CO2 Catalytic Conversion: Promoting “Double Carbon” Actions for a Beautiful China. University Chemistry, 2026, 41(2): 208-217. doi: 10.12461/PKU.DXHX202503011

    9. [9]

      Yucai Zhang Jun Jiang . Electrochemical Carbon Dioxide Reduction to Ethylene. University Chemistry, 2026, 41(2): 190-196. doi: 10.12461/PKU.DXHX202503006

    10. [10]

      Qiang ZhangYuanbiao HuangRong Cao . Imidazolium-Based Materials for CO2 Electroreduction. Acta Physico-Chimica Sinica, 2024, 40(4): 2306040-0. doi: 10.3866/PKU.WHXB202306040

    11. [11]

      Zhiquan ZhangBaker RhimiZheyang LiuMin ZhouGuowei DengWei WeiLiang MaoHuaming LiZhifeng Jiang . Insights into the Development of Copper-Based Photocatalysts for CO2 Conversion. Acta Physico-Chimica Sinica, 2024, 40(12): 2406029-0. doi: 10.3866/PKU.WHXB202406029

    12. [12]

      Bing WEIJianfan ZHANGZhe CHEN . Research progress in fine tuning of bimetallic nanocatalysts for electrocatalytic carbon dioxide reduction. Chinese Journal of Inorganic Chemistry, 2025, 41(3): 425-439. doi: 10.11862/CJIC.20240201

    13. [13]

      Jianan HongChenyu XuYan LiuChangqi LiMenglin WangYanwei Zhang . Decoding the interfacial competition between hydrogen evolution and CO2 reduction via edge-active-site modulation in photothermal catalysis. Acta Physico-Chimica Sinica, 2025, 41(9): 100099-0. doi: 10.1016/j.actphy.2025.100099

    14. [14]

      Bizhu ShaoHuijun DongYunnan GongJianhua MeiFengshi CaiJinbiao LiuDichang ZhongTongbu Lu . Metal-Organic Framework-Derived Nickel Nanoparticles for Efficient CO2 Electroreduction in Wide Potential Windows. Acta Physico-Chimica Sinica, 2024, 40(4): 2305026-0. doi: 10.3866/PKU.WHXB202305026

    15. [15]

      Yan KongWei WeiLekai XuChen Chen . Electrochemical Synthesis of Organonitrogen Compounds from N-integrated CO2 Reduction Reaction. Acta Physico-Chimica Sinica, 2024, 40(8): 2307049-0. doi: 10.3866/PKU.WHXB202307049

    16. [16]

      Zixuan Zhao Miao Fan . “Carbon” with No “Ester”: A Boundless Journey of CO2 Transformation. University Chemistry, 2025, 40(7): 213-217. doi: 10.12461/PKU.DXHX202409040

    17. [17]

      Chen Lin Huanjun Xu . ‘Thank-You Letter’ from CO2: Development of Technology Has Changed My Image. University Chemistry, 2026, 41(2): 238-241. doi: 10.12461/PKU.DXHX202502048

    18. [18]

      Yueguang Chen Wenqiang Sun . “Carbon” Adventures. University Chemistry, 2024, 39(9): 248-253. doi: 10.3866/PKU.DXHX202308074

    19. [19]

      Hui-Ying ChenHao-Lin ZhuPei-Qin LiaoXiao-Ming Chen . Integration of Ru(Ⅱ)-Bipyridyl and Zinc(Ⅱ)-Porphyrin Moieties in a Metal-Organic Framework for Efficient Overall CO2 Photoreduction. Acta Physico-Chimica Sinica, 2024, 40(4): 2306046-0. doi: 10.3866/PKU.WHXB202306046

    20. [20]

      Haoran Zhang Yaxin Jin Peng Kang Sheng Zhang . The Convergence and Innovative Application of Artificial Intelligence in Scientific Research: A Case Study of Electrocatalytic Carbon Dioxide Reduction in the Context of the Dual-Carbon Strategy. University Chemistry, 2025, 40(9): 148-155. doi: 10.12461/PKU.DXHX202412099

Metrics
  • PDF Downloads(1)
  • Abstract views(943)
  • HTML views(86)

通讯作者: 陈斌, bchen63@163.com
  • 1. 

    沈阳化工大学材料科学与工程学院 沈阳 110142

  1. 本站搜索
  2. 百度学术搜索
  3. 万方数据库搜索
  4. CNKI搜索
Address:Zhongguancun North First Street 2,100190 Beijing, PR China Tel: +86-010-82449177-888
Powered By info@rhhz.net

/

DownLoad:  Full-Size Img  PowerPoint
Return