Citation: LI Wen-xiu, WANG Bao-feng, REN Jie, ZHANG Kai, YANG Feng-ling, CHENG Fang-qin. Effect of mineral matter on emissions of SO2 and NOx during combustion of lean coal in O2/CO2 atmosphere[J]. Journal of Fuel Chemistry and Technology, ;2017, 45(10): 1200-1208. shu

Effect of mineral matter on emissions of SO2 and NOx during combustion of lean coal in O2/CO2 atmosphere

  • Corresponding author: CHENG Fang-qin, cfangqin@sxu.edu.cn
  • Received Date: 1 June 2017
    Revised Date: 23 August 2017

    Fund Project: Shanxi Provincial Science and Technology Major Projects MD2015-01The project was supported by the National Natural Science Foundation of China-Shanxi coal based low carbon joint fund(U1610254), Shanxi Provincial Science and Technology Major Projects (MD2015-01) and Key Research and Development program of Shanxi province (International Cooperation) (201603D421041)the National Natural Science Foundation of China-Shanxi coal based low carbon joint fund U1610254Key Research and Development program of Shanxi province (International Cooperation) 201603D421041

Figures(8)

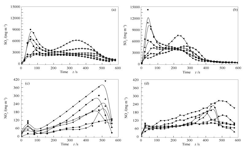
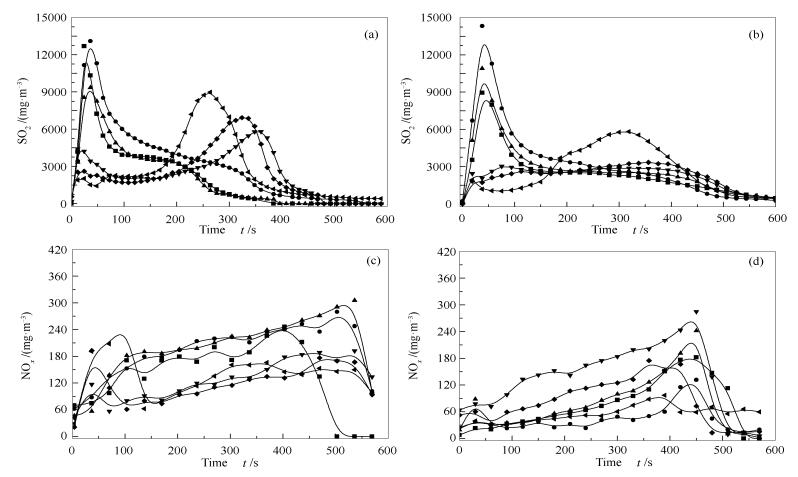
  • Combustion experiments of Changzhi coal at 550-1 000℃ were conducted in a tube furnace reactor in air and O2/CO2, respectively. The XRF, XRD etc. were employed to study the characteristics of raw coal and its demineralized coal. Effects of mineral matter in coal on combustion characteristics and release of SO2 and NOx during combustion were investigated using TG-DTG and Antaris-IGS. The results show that ignition and burnout temperature of the demineralized coal are lower than those of raw coal. In O2/CO2 the ignition and burnout temperature of raw coal and the demineralized coal are all higher. This shows that when oxygen concentration is 20%, the coals are easier to ignite and burnout in air. Besides that, SO2 emission of the demineralized coal is higher than that of raw coal; while NOx emission is opposite. For raw coal, SO2 emission is higher when combusted in O2/CO2; while for the demineralized coal, it is opposite. During combustion in O2/CO2, NOx emission is always lower whether for the raw or the demineralized coal.
  • 加载中
    1. [1]

      FU Xing-min, ZHANG Yu-xiu, GUO Zhang-ying, LIU Hai-bing, LIU Shu-cheng, JIA Jin-wei, SHU Xin-qian. Characteristics and kinetics of the pyrolysis of coking coal tailings[J]. J China Coal Soc, 2013,38(2):320-325.  

    2. [2]

      CHEN Zhao-rui. Influence of Gas Residence Time on Product Distribution Of Coal Pyrolysis[D]. Zhejiang:Zhejiang University, 2015.

    3. [3]

      CHEN Hao-kan, LI Bao-qing, ZHANG bi-jiang. Effects of mineral matter on evolution of sulfur-containing gases in pyrolysis and hydropyrolysis[J]. J Fuel Chem Technol, 1999,27(S1):6-11.  

    4. [4]

      LIU Yan-hua. An Investigation on the Forms and the Fates of Coal Nitrogen/Sulfur Functionalities[D]. Xi'an:Xi'an Jiaotong University, 2002.

    5. [5]

      ZHAO Zong-bin, LI Wen, LI Bao-qing. Effect of mineral matter on release of no during coal char combustion[J]. J Chem Ind Eng, 2003,54(1):100-106.  

    6. [6]

      YANG Zhi-zhong. An analysis technology of mineral substance character in coal[J]. Power Syst Eng, 1996(2):39-41.  

    7. [7]

      YAN Rong, ZHOU Yan-ling. Effect of mineral matters on coal combustion properties[J]. Therm Power Gener, 1996(3):33-37.  

    8. [8]

      KOZLOWSKI M, MAES I I, WACHOWSKA H, YPERMAN J, FRANCO D V, MULLENS J, VAN POUCKE L C. Reduction of high-sulphur coal in the potassium-liquid ammonia system[J]. Fuel, 1999,78(78):769-774.

    9. [9]

      SHIMIZU K, IWAMI Y, SUGANUMA A, SAITO I. Behaviour of sulfur in high-sulfur coal in a superacidic medium without gaseous hydrogen[J]. Fuel, 1997,76(10):939-943. doi: 10.1016/S0016-2361(97)00097-5

    10. [10]

      LIU Yan-hua, CHE De-fu, XU Tong-mo. Effects of minerals on pollutant emission during coal combustion[J]. J Fuel Chem Technol, 2005,33(1):18-23.  

    11. [11]

      HUANG Ying-hua, WANG Zeng-hui, HANG Yue-zhen. Experiment of Coal Chemistry and Technology[M]. Shanghai:East China School of Chemical Engineering Press, 1988.

    12. [12]

      MA Zhi-bin, BAI Jin, LI Wen, CHENG Fang-qin.Quantitative analysis of mineral matters in coal ash under reducing atmosphere at high temperature[J]. J Fuel Chem Technol, 2016, 44(6):641-647.

    13. [13]

      ZHEN Qing-rong, ZENG Fan-gui, ZHANG Shi-tong. FT-IR study on structure evolution of middle maturate coals[J]. J China Coal Soc, 2011,36(3):481-486.  

    14. [14]

      ZHOU Li, YU Heng-da, YANG Hai-tao, HAN Chao-long. SEM-EDS analysis of deep soft rock for Xing'an mine[J]. J Heilongjiang Univ Sci Technol, 2012(2):148-153.  

    15. [15]

      JIANG Song. Properties of Power Coal Blending and the Influence of Minerals on Its Combustion Characteristics[D]. Jiangsu:China University of Mining and Technology, 2014.

    16. [16]

      NORMANN F, ANDERSSON K, LECKNER B, JOHNSSON F. Emission control of nitrogen oxides in the oxy-fuel process[J]. Prog Energy Combust Sci, 2009,35(5):385-397. doi: 10.1016/j.pecs.2009.04.002

    17. [17]

      LIU Fen-rong, DONG Xue-song, LI Wen, MA Qing-lan, HU Rui-sheng, SU Mei-quan, LI Bao-qing. Combustion behavior of coals and its kinetic model studied by a thermogravimetric analysis[J]. Coal Conv, 2011,34(2):8-12.  

    18. [18]

      SHIMP N F, KUHN J K, HELFINSTINE R J. Determination of Forms of Sulfur in Coal[J]. Energy Sources, 1977,32(2):93-109.  

    19. [19]

      TAN Y W, CROISET E, DOUGLAS M A, THAMBIMUTHU K V. Combustion characteristics of coal in a mixture of oxygen and recycled flue gas[J]. Fuel, 2006,85(4):507-512. doi: 10.1016/j.fuel.2005.08.010

    20. [20]

      YANG Z Z, ZHANG Y Y, LIU L L, WANG X D, ZHANG Z T. Environmental i Environmental investigation on co-combustion of sewage sludge and coal gangue:SO2, NOx and trace elements emissions[J]. Waste Manag, 2016,50:213-221. doi: 10.1016/j.wasman.2015.11.011

  • 加载中
    1. [1]

      Haitao WangLianglang YuJizhou JiangArramelJing Zou . S-Doping of the N-Sites of g-C3N4 to Enhance Photocatalytic H2 Evolution Activity. Acta Physico-Chimica Sinica, 2024, 40(5): 2305047-0. doi: 10.3866/PKU.WHXB202305047

    2. [2]

      Yinjie XuSuiqin LiLihao LiuJiahui HeKai LiMengxin WangShuying ZhaoChun LiZhengbin ZhangXing ZhongJianguo Wang . Enhanced Electrocatalytic Oxidation of Sterols using the Synergistic Effect of NiFe-MOF and Aminoxyl Radicals. Acta Physico-Chimica Sinica, 2024, 40(3): 2305012-0. doi: 10.3866/PKU.WHXB202305012

    3. [3]

      Wenjuan TanYong YeXiujuan SunBei LiuJiajia ZhouHailong LiaoXiulin WuRui DingEnhui LiuPing Gao . Building P-Poor Ni2P and P-Rich CoP3 Heterojunction Structure with Cation Vacancy for Enhanced Electrocatalytic Hydrazine and Urea Oxidation. Acta Physico-Chimica Sinica, 2024, 40(6): 2306054-0. doi: 10.3866/PKU.WHXB202306054

    4. [4]

      Shiqian WEIXinyu TIANHong LIUMaoxia CHENFan TANGQiang FANWeifeng FANYu HU . Oxygen reduction reaction/oxygen evolution reaction catalytic performances of different active sites on nitrogen-doped graphene loaded with iron single atoms. Chinese Journal of Inorganic Chemistry, 2025, 41(9): 1776-1788. doi: 10.11862/CJIC.20250102

    5. [5]

      Xiaofeng ZhuBingbing XiaoJiaxin SuShuai WangQingran ZhangJun Wang . Transition Metal Oxides/Chalcogenides for Electrochemical Oxygen Reduction into Hydrogen Peroxides. Acta Physico-Chimica Sinica, 2024, 40(12): 2407005-0. doi: 10.3866/PKU.WHXB202407005

    6. [6]

      Hailang JIAHongcheng LIPengcheng JIYang TENGMingyun GUAN . Preparation and performance of N-doped carbon nanotubes composite Co3O4 as oxygen reduction reaction electrocatalysts. Chinese Journal of Inorganic Chemistry, 2024, 40(4): 693-700. doi: 10.11862/CJIC.20230402

    7. [7]

      Chao WUQingxiu SHITao XUZhengxi PENGZhongping XIONGYinglin ZHANGYujun SIChaozhong GUO . Enhancement of oxygen reduction reaction performance of iron-nitrogen doped carbon based catalysts by sodium carboxymethyl cellulose pre-deoxygenation. Chinese Journal of Inorganic Chemistry, 2026, 42(4): 737-746. doi: 10.11862/CJIC.20250305

    8. [8]

      Tao WangQin DongCunpu LiZidong Wei . Sulfur Cathode Electrocatalysis in Lithium-Sulfur Batteries: A Comprehensive Understanding. Acta Physico-Chimica Sinica, 2024, 40(2): 2303061-0. doi: 10.3866/PKU.WHXB202303061

    9. [9]

      Qianqian LiuXing DuWanfei LiWei-Lin DaiBo Liu . Synergistic Effects of Internal Electric and Dipole Fields in SnNb2O6/Nitrogen-Enriched C3N5 S-Scheme Heterojunction for Boosting Photocatalytic Performance. Acta Physico-Chimica Sinica, 2024, 40(10): 2311016-0. doi: 10.3866/PKU.WHXB202311016

    10. [10]

      Yachao HUANGChuanwang ZENGGuiyong LIUJinming ZENGChao LIUXiaopeng QI . Oxygen vacancies and phosphorus doping enhanced metal-organic framework derived nitrogen-doped carbon-coated Co3O4 bifunctional electrocatalyst. Chinese Journal of Inorganic Chemistry, 2025, 41(11): 2251-2260. doi: 10.11862/CJIC.20250133

    11. [11]

      Weihan ZhangMenglu WangAnkang JiaWei DengShuxing Bai . Surface Sulfur Species Influence Hydrogenation Performance of Palladium-Sulfur Nanosheets. Acta Physico-Chimica Sinica, 2024, 40(11): 2309043-0. doi: 10.3866/PKU.WHXB202309043

    12. [12]

      Haozhe Hu Haoyu Zhang Changsheng Lu . Study on the Precipitation Process of Elemental Sulfur from the Decomposition Products of Thiosulfuric Acid: Is It an Unexpected Failed Experiment?. University Chemistry, 2025, 40(11): 409-415. doi: 10.12461/PKU.DXHX202412034

    13. [13]

      Hongyao Li Youyan Liu Luwei Dai Min Yang Qihui Wang . The Blessing of Indium Sulfide:Confronting the Narrow Path with Uric Acid. University Chemistry, 2024, 39(5): 325-335. doi: 10.3866/PKU.DXHX202311104

    14. [14]

      Jing Wang Pingping Li Yuehui Wang Yifan Xiu Bingqian Zhang Shuwen Wang Hongtao Gao . Treatment and Discharge Evaluation of Phosphorus-Containing Wastewater. University Chemistry, 2024, 39(5): 52-62. doi: 10.3866/PKU.DXHX202309097

    15. [15]

      Qinjin DAIShan FANPengyang FANXiaoying ZHENGWei DONGMengxue WANGYong ZHANG . Performance of oxygen vacancy-rich V-doped MnO2 for high-performance aqueous zinc ion battery. Chinese Journal of Inorganic Chemistry, 2025, 41(3): 453-460. doi: 10.11862/CJIC.20240326

    16. [16]

      Ting YANGJia ANJinyu ZHANGRuonan FANRong YANXiaoxia JINGPanpan CHANGWei YAN . Synergistic enhancement of ion migration and sulfur conversion kinetics in lithium-sulfur batteries by CeO2/g-C3N4. Chinese Journal of Inorganic Chemistry, 2026, 42(3): 519-530. doi: 10.11862/CJIC.20250274

    17. [17]

      Ruiqing LIUWenxiu LIUKun XIEYiran LIUHui CHENGXiaoyu WANGChenxu TIANXiujing LINXiaomiao FENG . Three-dimensional porous titanium nitride as a highly efficient sulfur host. Chinese Journal of Inorganic Chemistry, 2024, 40(5): 867-876. doi: 10.11862/CJIC.20230441

    18. [18]

      Jinyao Du Xingchao Zang Ningning Xu Yongjun Liu Weisi Guo . Electrochemical Thiocyanation of 4-Bromoethylbenzene. University Chemistry, 2024, 39(6): 312-317. doi: 10.3866/PKU.DXHX202310039

    19. [19]

      Nan Xiao Fang Sun . 二芳基硫醚化合物的构建及应用. University Chemistry, 2025, 40(6): 360-363. doi: 10.12461/PKU.DXHX202407099

    20. [20]

      Chuan′an DINGWeibo YANShaoying WANGHao XIN . Preparation of wide-band gap copper indium gallium sulfide solar cells by solution method. Chinese Journal of Inorganic Chemistry, 2025, 41(9): 1755-1764. doi: 10.11862/CJIC.20250198

Metrics
  • PDF Downloads(1)
  • Abstract views(2818)
  • HTML views(268)

通讯作者: 陈斌, bchen63@163.com
  • 1. 

    沈阳化工大学材料科学与工程学院 沈阳 110142

  1. 本站搜索
  2. 百度学术搜索
  3. 万方数据库搜索
  4. CNKI搜索
Address:Zhongguancun North First Street 2,100190 Beijing, PR China Tel: +86-010-82449177-888
Powered By info@rhhz.net

/

DownLoad:  Full-Size Img  PowerPoint
Return