Citation: Jin Dan, Zhao Zhigang, Meng Han, Huang Congying, Fang Mougui. Synthesis, Structure and Optical Property of a New Pyridinium Salt[J]. Chemistry, ;2019, 82(8): 758-761. shu

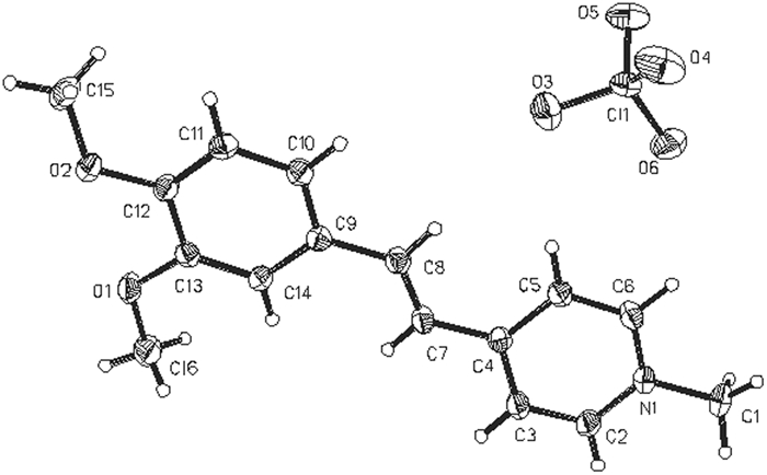
Synthesis, Structure and Optical Property of a New Pyridinium Salt

  • Corresponding author: Jin Dan, jindande@126.com
  • Received Date: 22 February 2019
    Accepted Date: 12 April 2019

Figures(5)

Metrics
  • PDF Downloads(3)
  • Abstract views(509)
  • HTML views(43)

通讯作者: 陈斌, bchen63@163.com
  • 1. 

    沈阳化工大学材料科学与工程学院 沈阳 110142

  1. 本站搜索
  2. 百度学术搜索
  3. 万方数据库搜索
  4. CNKI搜索
Address:Zhongguancun North First Street 2,100190 Beijing, PR China Tel: +86-010-82449177-888
Powered By info@rhhz.net

/

DownLoad:  Full-Size Img  PowerPoint
Return