Citation: MA Ya-ya, MA Feng-yun, MO Wen-long, FAN Xing. Influence of acid treatment on the structure and extraction performance of Xinjiang Hefeng low-rank coal[J]. Journal of Fuel Chemistry and Technology, ;2019, 47(6): 649-660. shu

Influence of acid treatment on the structure and extraction performance of Xinjiang Hefeng low-rank coal

  • Corresponding author: MA Feng-yun, ma_fy@126.com MO Wen-long, mowenlong@xju.edu.cn
  • Received Date: 28 December 2018
    Revised Date: 24 March 2019

    Fund Project: The project was supported by the National Natural Science Foundation of China-Key Project of Xinjiang Joint Fundation (U1503293) and the National Natural Science Foundation of China (21276219)the National Natural Science Foundation of China-Key Project of Xinjiang Joint Fundation U1503293the National Natural Science Foundation of China 21276219

Figures(14)

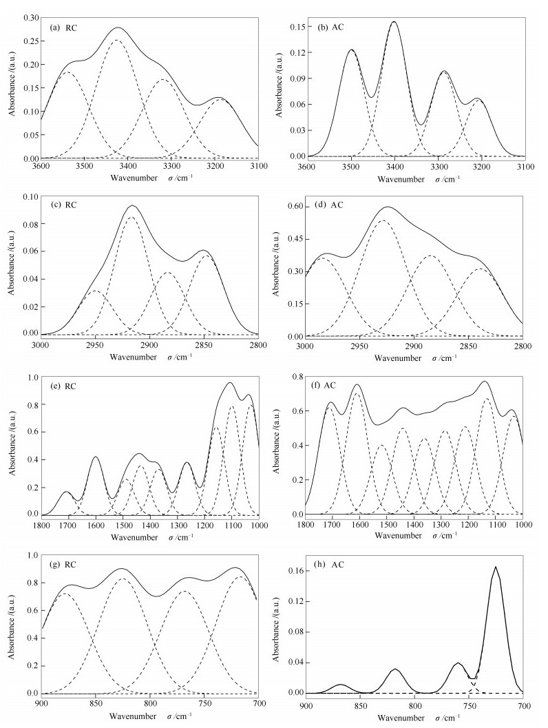
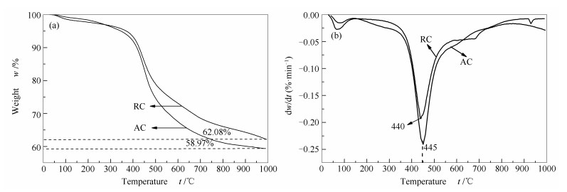
  • The acid treatment experiment to remove the inorganic minerals in Xinjiang Hefeng low-rank coal was conducted, and the effects of deashing treatment on the main structure of coal sample and its extraction performance by petroleum ether and CS2 were analyzed by instrumental characterizations. The FT-IR results show that the main structure of the treated coal changes slightly compared with the untreated one. And the acid-washed coal sample (AC) presents a very weak absorption peak at 1712 cm-1 attributed to carboxylic acid (C=O), which could not be observed in the raw coal sample (RC). It can also be seen from TG-DTG characterization that the process of acid treatment results in a cleavage of small molecular bonds in the coal without destroying the macromolecular network structure. The performance of two-stage ultrasonic extraction of RC and AC samples with petroleum ether (PE) and CS2 as solvents proposes that the extraction proportions of PE and CS2 of AC sample are higher than that of RC sample, from 0.16% and 0.53% (RC) to 0.17% and 0.64%, respectively, and the extraction rate of AC sample is larger than that of RC sample, reducing the number of solvent extraction operation significantly.FT-IR and GC-MS analysis of the extracts shows that the acid treatment not only effectively removes the heteroatoms in the coal sample, but also increases the type of CS2 extracts. In addition, from the results of TG-DTG for the residues, it can be noted that the ultrasonic extraction is a physical swelling process, and does not destroy the macromolecular structure of the coal sample.
  • 加载中
    1. [1]

      MARZEC A. Towards an understanding of the coal structure:A review[J]. Fuel Process Technol, 2002,77:25-32.  

    2. [2]

      ASHIDA R, MORIMOTO M, MAKINO Y, UMEMOTO S, NAKAGAWA H, MIURA K. Fractionation of brown coal by sequential high temperature solvent extraction[J]. Fuel, 2009,88(8):1485-1490. doi: 10.1016/j.fuel.2008.12.003

    3. [3]

      TAHMASEBI A, YU J, HAN Y, YIN F, BHATTACHARYA S, STOKIE D. Study of chemical structure changes of Chinese lignite upon drying in superheated steam, microwave, and hot air[J]. Energy Fuels, 2012,26(6):3651-3660. doi: 10.1021/ef300559b

    4. [4]

      ZHENG A L, FAN X, WANG S Z, LIU F J, WEI X Y, ZHAO Y P. Analysis of the products from the oxidation of Geting bituminous coal by atmospheric pressure photoionization-mass spectrometry[J]. Anal Lett, 2014,47(6):958-969. doi: 10.1080/00032719.2013.860541

    5. [5]

      IINO M. Network structure of coals and association behavior of coal-derived materials[J]. Fuel Process Technol, 2000,62(2):89-101.  

    6. [6]

      WANG J, TAKARADA T. Characterization of high-temperature coal tar and supercritical-water extracts of coal by laser desorption ionization-mass spectrometry[J]. Fuel Process Technol, 2003,81(3):247-258. doi: 10.1016/S0378-3820(03)00025-0

    7. [7]

      WANG S Q, TANG Y G, SCHOBERT H H, GUO Y N, GAO W C, LU X K. FTIR and simultaneous TG/MS/FTIR study of Late Permian coals from Southern China[J]. J Anal Appl Pyrolysis, 2013,100:75-80. doi: 10.1016/j.jaap.2012.11.021

    8. [8]

      MAO J D, SCHIMMELMANN A, MASTALERZ M, HATCHER P, LI Y. Structural features of a bituminous coal and their changes during low-temperature oxidation and loss of volatiles investigated by advanced solid-state NMR spectroscopy[J]. Energy Fuels, 2010,24(4):2536-2544. doi: 10.1021/ef9015069

    9. [9]

      FAN X, JIANG J, CHEN L, ZHOU C C, ZHU J L, ZHU T G, WEI X Y. Identification of organic fluorides and distribution of organic species in an anthracite with high content of fluorine[J]. Fuel Process Technol, 2016,142:54-58. doi: 10.1016/j.fuproc.2015.09.024

    10. [10]

      GRYGLEWICZ G, RUTKOWSKI P, YPERMAN J. Characterization of sulfur compounds in supercritical coal extracts by gas chromatography-mass spectrometry[J]. Fuel Process Technol, 2002,77:167-172.  

    11. [11]

      YU X Y, WEI X Y, LI Z K, CHEN Y, ZONG Z M, MA F Y. Comparison of three methods for extracting Liuhuanggou bituminous coal[J]. Fuel, 2017,210:290-297. doi: 10.1016/j.fuel.2017.08.071

    12. [12]

      IINO M, TAKANOHASHI T, OHSUGA H, TODA K. Extraction of coals with CS2-N-methyl-2-pyrrolidinone mixed solvent at room temperature[J]. Fuel, 1988,67(12):1639-1647. doi: 10.1016/0016-2361(88)90208-6

    13. [13]

      WEI X Y, SHEN J L, TAKANOHASHI T, IINO M. Effect of extractable substances on coal dissolution. Use of CS2-N-methyl-2-pyrrolidinone mixed solvent for dissolution re-action products[J]. Energy Fuels, 1989,3(5):575-579. doi: 10.1021/ef00017a008

    14. [14]

      TAKANOHASHI T, XIAO F, TAKAHIRO YOSHIDA A, SAITO I. Difference in extraction yields between CS2/NMP and NMP for upper freeport coal[J]. Energy Fuels, 2003,17(1):255-256. doi: 10.1021/ef020141h

    15. [15]

      TAKANOHASHI T, TAKAYUKI YANAGIDA A, IINO M, MAINWARING D E. Extraction and swelling of low-rank coals with various solvents at room temperature[J]. Energy Fuels, 1996,10(5):1128-1132. doi: 10.1021/ef960033t

    16. [16]

      LU H Y, WEI X Y, YU R, PENG Y L, QI X Z, QIE L M. Sequential thermal dissolution of Huolinguole lignite in methanol and in ethanol[J]. Energy Fuels, 2011,25(6):2741-2745. doi: 10.1021/ef101734f

    17. [17]

      ISHIZUKA T, TAKANOHASHI T, ITO O, LINO M. Effects of additives and oxygen on ex-traction yield with CS2-NMP mixed solvent for argonne premium coal samples[J]. Fuel, 1993,72(4):579-580. doi: 10.1016/0016-2361(93)90120-Q

    18. [18]

      NISHIOKA M. Multistep extraction of coal[J]. Fuel, 1991,70(12):1413-1419. doi: 10.1016/0016-2361(91)90007-W

    19. [19]

      LI Q C, TAKANOHASHI T, YOSHIDA T, SAITO I, AOKI H, MASHIMO K. Effect of acid treatment on thermal extraction yield in ashless coal production[J]. Fuel, 2004,83(6):727-732. doi: 10.1016/j.fuel.2003.06.002

    20. [20]

      LIU L L, YUAN Y, KUMAR S, WANG Z H, HE Y, LV Y, LIU J Z, GUL-E-RANA J, CEN K F. Catalytic effect of metal chlorides on coal pyrolysis and gasification part Ⅱ. Effects of acid washing on coal characteristics[J]. Thermochim Acta, 2018,666:41-50. doi: 10.1016/j.tca.2018.06.001

    21. [21]

      GENG W, NAKAJIMA T, TAKANASHI H, OHKI A. Analysis of carboxyl group in coal and coal aromaticity by Fourier transform infrared (FT-IR) spectrometry[J]. Fuel, 2009,88(1):139-144. doi: 10.1016/j.fuel.2008.07.027

    22. [22]

      WIJAYA N, ZHANG L. A critical review of coal demineralization and its implication on understanding the speciation of organically bound metals and submicrometer mineral grains in coal[J]. Energy Fuels, 2011,25(1):1-16.  

    23. [23]

      LIU X P, WU X T, WANG J. Substantial upgrading of a high-ash lignite by hydrothermal treatment followed by Ca(OH)2 digestion/acid leaching[J]. Fuel, 2018,222:269-277. doi: 10.1016/j.fuel.2018.02.034

    24. [24]

      TANG L F, CHEN S J, WANG S W, TAO X X, HE H, FENG L, ZHENG L, MA C Y, ZHAO Y D. Exploration on the action mechanism of microwave with peroxyacetic acid in the process of coal desulfurization[J]. Fuel, 2018,214:554-560. doi: 10.1016/j.fuel.2017.10.087

  • 加载中
    1. [1]

      Yongwei ZHANGChuang ZHUWenbin WUYongyong MAHeng YANG . Efficient hydrogen evolution reaction activity induced by ZnSe@nitrogen doped porous carbon heterojunction. Chinese Journal of Inorganic Chemistry, 2025, 41(4): 650-660. doi: 10.11862/CJIC.20240386

    2. [2]

      Fan YangZheng LiuDa WangKwunNam HuiYelong ZhangZhangquan Peng . Preparation and Properties of P-Bi2Te3/MXene Superstructure-based Anode for Potassium-Ion Battery. Acta Physico-Chimica Sinica, 2024, 40(2): 2303006-0. doi: 10.3866/PKU.WHXB202303006

    3. [3]

      Xiaogang YANGXinya ZHANGJing LIHuilin WANGMin LIXiaotian WEIXinci WULufang MA . Synthesis, structure, and photoelectric properties of Zinc(Ⅱ)-triphenylamine based metal-organic framework. Chinese Journal of Inorganic Chemistry, 2025, 41(10): 2078-2086. doi: 10.11862/CJIC.20250167

    4. [4]

      Pei LiYuenan ZhengZhankai LiuAn-Hui Lu . Boron-Containing MFI Zeolite: Microstructure Control and Its Performance of Propane Oxidative Dehydrogenation. Acta Physico-Chimica Sinica, 2025, 41(4): 100034-0. doi: 10.3866/PKU.WHXB202406012

    5. [5]

      Lihui Jiang Wanrong Dong Hua Yang Yongqing Xia Hongjian Peng Jun Yuan Xiaoqian Hu Zihan Zeng Yingping Zou Yiming Luo . Study on Extraction of p-Hydroxyacetophenone. University Chemistry, 2024, 39(11): 259-268. doi: 10.12461/PKU.DXHX202402056

    6. [6]

      Qiaowen CHANGKe ZHANGGuangying HUANGNuonan LIWeiping LIUFuquan BAICaixian YANYangyang FENGChuan ZUO . Syntheses, structures, and photo-physical properties of iridium phosphorescent complexes with phenylpyridine derivatives bearing different substituting groups. Chinese Journal of Inorganic Chemistry, 2025, 41(2): 235-244. doi: 10.11862/CJIC.20240311

    7. [7]

      Zhilong SongShuaihua LuQionghua ZhouJinlan Wang . T2MAT (text-to-material): A universal agent for generating material structures with goal properties from a single sentence. Acta Physico-Chimica Sinica, 2026, 42(5): 100213-0. doi: 10.1016/j.actphy.2025.100213

    8. [8]

      Zhanxiang Liu Chengshan Yuan Jie Han Shuanglian Cai Qihan Zhang Lin Wu Yuan Zheng Xingwen Sun Qingwen Liu Ying Xiong Guangao Yu Xin Du Houjin Li Jianrong Zhang Shuyong Zhang . Recommendations for Basic Operations and Standards for Organic Chemical Extraction and Washing Experiments. University Chemistry, 2025, 40(5): 55-65. doi: 10.12461/PKU.DXHX202410039

    9. [9]

      Siwei Hou Yaxin Niu Guanglu Zhang Yanmei Yang Xu Wang Zhenzhen Chen . Application of Solid-Phase Microextraction and Mass Spectrometry in Environmental Detection. University Chemistry, 2026, 41(3): 297-306. doi: 10.12461/PKU.DXHX202504078

    10. [10]

      Yingchun ZHANGYiwei SHIRuijie YANGXin WANGZhiguo SONGMin WANG . Dual ligands manganese complexes based on benzene sulfonic acid and 2, 2′-bipyridine: Structure and catalytic properties and mechanism in Mannich reaction. Chinese Journal of Inorganic Chemistry, 2024, 40(8): 1501-1510. doi: 10.11862/CJIC.20240078

    11. [11]

      Yonghui ZHOURujun HUANGDongchao YAOAiwei ZHANGYuhang SUNZhujun CHENBaisong ZHUYouxuan ZHENG . Synthesis and photoelectric properties of fluorescence materials with electron donor-acceptor structures based on quinoxaline and pyridinopyrazine, carbazole, and diphenylamine derivatives. Chinese Journal of Inorganic Chemistry, 2024, 40(4): 701-712. doi: 10.11862/CJIC.20230373

    12. [12]

      Dongdong Yao JunweiGu Yi Yan Junliang Zhang Yaping Zheng . Teaching Phase Separation Mechanism in Polymer Blends Using Process Representation Teaching Method: A Teaching Design for Challenging Theoretical Concepts in “Polymer Structure and Properties” Course. University Chemistry, 2025, 40(4): 131-137. doi: 10.12461/PKU.DXHX202408125

    13. [13]

      Yahui HANJinjin ZHAONing RENJianjun ZHANG . Synthesis, crystal structure, thermal decomposition mechanism, and fluorescence properties of benzoic acid and 4-hydroxy-2, 2′: 6′, 2″-terpyridine lanthanide complexes. Chinese Journal of Inorganic Chemistry, 2025, 41(5): 969-982. doi: 10.11862/CJIC.20240395

    14. [14]

      Xiaoqi LANWei LIDeyi YANGHao WANGZheng LIURongting GUOQizhi CHEN . Preparation and electrochemical performance of “sandwich structured” MXene Ti3C2Tx/hollow ZIF-67 sulfur host composites. Chinese Journal of Inorganic Chemistry, 2026, 42(4): 760-772. doi: 10.11862/CJIC.20250273

    15. [15]

      Zunxiang Zeng Yuling Hu Yufei Hu Hua Xiao . Analysis of Plant Essential Oils by Supercritical CO2Extraction with Gas Chromatography-Mass Spectrometry: An Instrumental Analysis Comprehensive Experiment Teaching Reform. University Chemistry, 2024, 39(3): 274-282. doi: 10.3866/PKU.DXHX202309069

    16. [16]

      Yanhui Zhong Ran Wang Zian Lin . Analysis of Halogenated Quinone Compounds in Environmental Water by Dispersive Solid-Phase Extraction with Liquid Chromatography-Triple Quadrupole Mass Spectrometry. University Chemistry, 2024, 39(11): 296-303. doi: 10.12461/PKU.DXHX202402017

    17. [17]

      Fangxuan LiuZiyan LiuGuowei ZhouTingting GaoWenyu LiuBin Sun . 中空结构光催化剂. Acta Physico-Chimica Sinica, 2025, 41(7): 100071-0. doi: 10.1016/j.actphy.2025.100071

    18. [18]

      Yan Liu Yuexiang Zhu Luhua Lai . Introduction to Blended and Small-Class Teaching in Structural Chemistry: Exploring the Structure and Properties of Crystals. University Chemistry, 2024, 39(3): 1-4. doi: 10.3866/PKU.DXHX202306084

    19. [19]

      Zitong Chen Zipei Su Jiangfeng Qian . Aromatic Alkali Metal Reagents: Structures, Properties and Applications. University Chemistry, 2024, 39(8): 149-162. doi: 10.3866/PKU.DXHX202311054

    20. [20]

      Wen-Bing Hu . Systematic Introduction of Polymer Chain Structures. University Chemistry, 2025, 40(4): 15-19. doi: 10.3866/PKU.DXHX202401014

Metrics
  • PDF Downloads(4)
  • Abstract views(2339)
  • HTML views(242)

通讯作者: 陈斌, bchen63@163.com
  • 1. 

    沈阳化工大学材料科学与工程学院 沈阳 110142

  1. 本站搜索
  2. 百度学术搜索
  3. 万方数据库搜索
  4. CNKI搜索
Address:Zhongguancun North First Street 2,100190 Beijing, PR China Tel: +86-010-82449177-888
Powered By info@rhhz.net

/

DownLoad:  Full-Size Img  PowerPoint
Return