Citation: ZHANG Yun-peng, LI Ming-gang, XING En-hui, LUO Yi-bin, SHU Xing-tian. Methanol to propylene reaction performance and trapped carbonaceous species over zeolites with different topologies[J]. Journal of Fuel Chemistry and Technology, ;2018, 46(9): 1101-1112. shu

Methanol to propylene reaction performance and trapped carbonaceous species over zeolites with different topologies

Figures(11)

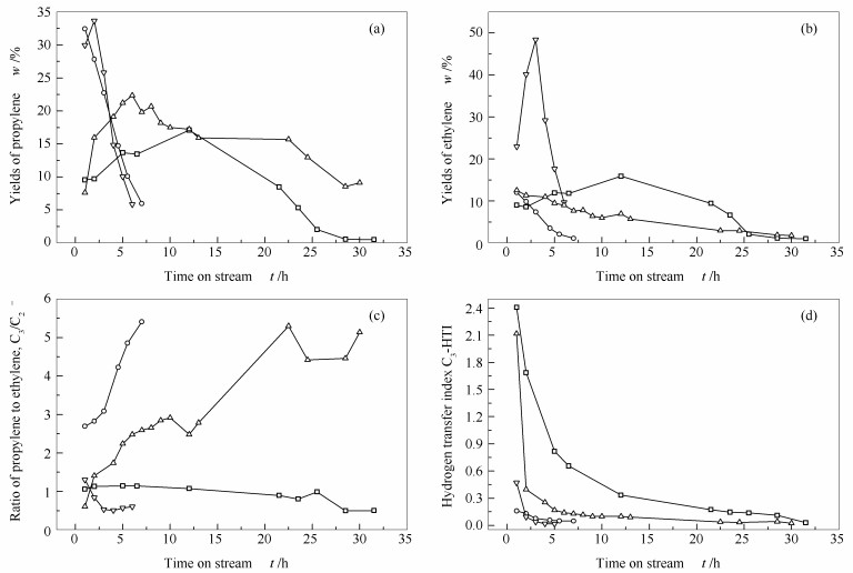
  • Mesoporous ZSM-5 (MFI), MCM-22 (MWW), ZSM-22 (TON) and SSZ-13 (CHA) zeolites were obtained by TEAOH and NaOH solution treatment. Under the following operating conditions:t=480℃, p=0.1 MPa, m(methanol):m(H2O)=1:1 and WHSV (methanol)=1.5 h-1, the catalytic properties of four mesoporous zeolites with different topologies were investigated in the methanol to propylene (MTP) reaction. The fresh and spent samples after 2 h were characterized with XRD, nitrogen adsorption experiments, NH3-TPD, TG, UV-Rama and GC-MS techniques. It demonstrated that both zeolites exist mesopores after treated by alkali. The mesoporous T-ZSM-5 zeolite had the highest lifetime; the lifetime of T-MCM-22 zeolite with was secondary and deactivation rate was slow; The N-ZSM-22 with one-dimensional channel structure and N-SSZ-13 zeolite with 8-member ring channels both deactivated rapidly. Due to the difference of topology structure and diffusion performance, their coke contents after 2 h increased in the order:T-ZSM-5 < N-ZSM-22 < T-MCM-22 < N-SSZ-13. Moreover, the molecular weight of soluble coke increased with the increasing of coke contents, changed from pentamethylbenzene to polycyclic aromatic hydrocarbons, such as phenanthrene and pyrene.
  • 加载中
    1. [1]

      STOCKER M. Methanol-to-hydrocarbons:Catalytic materials and their behavior[J]. Microporous Mesoporous Mater, 1999,29(1):3-48.  

    2. [2]

      CHEN J Q, BOZZANO A, GLOVER B, FUGLERUD T, KVISLE S. Recent advancements in ethylene and propylene production using the UOP/Hydro MTO process[J]. Catal today, 2005,106(1):103-107.  

    3. [3]

      MEI C, WEN P, LIU Z, LIU H, WANG Y, YANG W, XIE Z, HUA W, GAO Z. Selective production of propylene from methanol:Mesoporosity development in high silica HZSM-5[J]. J Catal, 2008,258(1):243-249. doi: 10.1016/j.jcat.2008.06.019

    4. [4]

      CUI T L, LV L B, ZHANG W B, LI X H, CHEN J S. Programmable synthesis of mesoporous ZSM-5 nanocrystals as selective and stable catalysts for the methanol-to-propylene process[J]. Catal Sci Technol, 2016,6(14):5262-5266. doi: 10.1039/C6CY00379F

    5. [5]

      SUN C, DU J, LIU J, YANG Y, REN N, SHEN W, XU H, TANG Y. A facile route to synthesize endurable mesopore containing ZSM-5 catalyst for methanol to propylene reaction[J]. Chem Commun, 2010,46(15):2671-2673. doi: 10.1039/b925850g

    6. [6]

      LI H, WANG Y, FAN C, SUN C, WANG X, WANG C, ZHANG X, WANG S. Facile synthesis of a superior MTP catalyst:Hierarchical micro-meso-macroporous ZSM-5 zeolites[J]. App Catal A:Gen, 2018,551:34-48. doi: 10.1016/j.apcata.2017.12.007

    7. [7]

      DAI C, ZHANG A, LI L, HOU K, DING F, LI J, MU D, SONG C, LIU M, GUO X. Synthesis of hollow nanocubes and macroporous monoliths of silicalite-1 by alkaline treatment[J]. Chem Mater, 2013,25(21):4197-4205. doi: 10.1021/cm401739e

    8. [8]

      HE Y, LIU M, DAI C, XU S, WEI Y, LIU Z, GUO X. Modification of nanocrystalline HZSM-5 zeolite with tetrapropylammonium hydroxide and its catalytic performance in methanol to gasoline reaction[J]. Chin J Catal, 2013,34(6):1148-1158. doi: 10.1016/S1872-2067(12)60579-8

    9. [9]

      SHI Y, XING E, XIE W, ZHANG F, MU X, SHU X. Enhancing activity without loss of selectivity-Liquid-phase alkylation of benzene with ethylene over MCM-49 zeolites by TEAOH post-synthesis[J]. App Catal A:Gen, 2015,497(1):135-144.  

    10. [10]

      CAMPO P D, BEATO P, REY F, NVARRO M T, OLSBYE U, LILLERUD K P, SVELLE S. Influence of post-synthetic modifications on the composition, acidity and textural properties of ZSM-22 zeolite[J]. Catal Today, 2017,299:120-134.  

    11. [11]

      CAMPO P D, OLSBYE U, LILLERUD K P, SVELLE S, BEATO P. Impact of post-synthetic treatments on unidirectional H-ZSM-22 zeolite catalyst:Towards improved clean MTG catalytic process[J]. Catal Today, 2017,299:135-145.  

    12. [12]

      SOMMER L, MORES D, SVELLE S, STOCKER M, WECKHUYSEN B M, OLSBYE U. Mesopore formation in zeolite H-SSZ-13 by desilication with NaOH[J]. Microporous Mesoporous Mater, 2013,132(3):384-394.  

    13. [13]

      JI W P, LEE J Y, KIM K S, HONG S B, SEO G. Effects of cage shape and size of 8-membered ring molecular sieves on their deactivation in methanol-to-olefin (MTO) reactions[J]. App Catal A:Gen, 2008,339(1):36-44. doi: 10.1016/j.apcata.2008.01.005

    14. [14]

      BLEKEN F, SKISRAD W, BARBERA K, KUSTOVA M, BORDIGA S, BEATO P, LILLERUD K P, SVELLE S, OLSBYE U. Conversion of methanol over 10-ring zeolites with differing volumes at channel intersections:comparison of TNU-9, IM-5, ZSM-11 and ZSM-5[J]. Phys Chem Chem Phys, 2011,13(7):2539-2549. doi: 10.1039/C0CP01982H

    15. [15]

      OLSBYE U, SVELLE S, BJORGEN M, BEATO P, JANSSENS T V W, JOENSEN F, BORDIGA S, LILLERUD K P. Conversion of methanol to hydrocarbons:How zeolite cavity and pore size controls product selectivity[J]. Angew Chem Int Ed, 2012,51(24):5810-5831. doi: 10.1002/anie.201103657

    16. [16]

      HU Si, GONG Yan-jun, ZHANG qin, ZHANG Jun-liang, ZHANG Ya-fei, YANG Fei-ying, DOU Tao. Methanol to propylene reaction over zeolite catalysts with different topologies[J]. J Fuel Chem Technol, 2012,63(12):3889-3896. doi: 10.3969/j.issn.0438-1157.2012.12.022

    17. [17]

      MAPNOUX P, ROGER P, CANFF C, FOUCHE V, GNEP N S, GUISNET M. New technique for the characterization of carboNceous compounds responsible for zeolite deactivation[J]. Stud Surf Sci Catal, 1987,34:317-330. doi: 10.1016/S0167-2991(09)60370-0

    18. [18]

      ILIAS S, KHARE R, MALEK A, BHAN A. A descriptor for the relative propagation of the aromatic-and olefin-based cycles in methanol-to-hydrocarbons conversion on H-ZSM-5[J]. J Catal, 2013,303:135-140. doi: 10.1016/j.jcat.2013.03.021

    19. [19]

      KHARE R, MILLAR D, BHAN A. A mechanistic basis for the effects of crystallite size on light olefin selectivity in methanol-to-hydrocarbons conversion on MFI[J]. J Catal, 2015,321:23-31. doi: 10.1016/j.jcat.2014.10.016

    20. [20]

      WANG P, HUANG L, LI J, DONG M, WANG J, TATSUMIC T, FAN W. Catalytic properties and deactivation behavior of H-MCM-22 in the conversion of methanol to hydrocarbons[J]. RSC Adv, 2015,5(36):28794-28802. doi: 10.1039/C5RA00048C

    21. [21]

      ZHANG L, WANG H, LIU G, GAO K, WU J. Methanol-to-olefin conversion over H-MCM-22 catalyst[J]. J Mol Catal A:Chem, 2016,411(1):311-316.  

    22. [22]

      GENG Rui, DONG Mei, WANG Hao, NIU Xian-jun, FAN Wei-bin, WANG Jian-guo, QIN Zhang-feng. An investigation on the catalytic performance of 10 MR zeolites in methanol aromatization reaction[J]. J Fuel Chem Technol, 2014,42(9):1119-1127. doi: 10.3969/j.issn.0253-2409.2014.09.013 

    23. [23]

      BJORGEN M, AKYALCIN S, OLSBYE U, BENRD S, KOLBOE S, SVELLE S. Methanol to hydrocarbons over large cavity zeolites:Toward a unified description of catalyst deactivation and the reaction mechanism[J]. J Catal, 2010,275(1):170-180. doi: 10.1016/j.jcat.2010.08.001

    24. [24]

      LEE K, LEE S, JUN Y, CHOI M. Cooperative effects of zeolite mesoporosity and defect sites on the amount and location of coke formation and its consequence in deactivation[J]. J Catal, 2017,347:222-230. doi: 10.1016/j.jcat.2017.01.018

    25. [25]

      WAN Z, LI G, WANG C, YANG H, ZHANG D. Relating coke formation and characteristics to deactivation of ZSM-5 Zeolite in methanol to gasoline conversion[J]. App Catal A:Gen, 2018,549:141-151. doi: 10.1016/j.apcata.2017.09.035

    26. [26]

      FERRARI A C, ROBERTSON J. Interpretation of Raman spectra of disordered and amorphous carbon[J]. Phys Rev B, 2008,61(20):14095-14107.  

    27. [27]

      IGLESIAS-JUEZ A, BEALE A M, MAAIJENK , WENG T, GLATZEL P, WECKHUYSEN B M. A combined in situ time-resolved UV-Vis, Raman and high-energy resolution X-ray absorption spectroscopy study on the deactivation behavior of Pt and PtSn propane dehydrogenation catalysts under industrial reaction conditions[J]. J Catal, 2010,276(2):268-279. doi: 10.1016/j.jcat.2010.09.018

    28. [28]

      LI J, XIONG G, Feng Z, LIU Z, XIN Q, LI C. Coke formation during the methanol conversion to olefins in zeolites studied by UV Raman spectroscopy[J]. Microporous Mesoporous Mater, 2000,39(1/2):275-280.  

    29. [29]

      LI K, CHANG Q, YIN J, ZHAO C, HUANG L, TAO Z, YUN Y, ZHANG C, XIANG H, YANG Y, LI Y. Deactivation of Pt/KL catalyst during n-heptane aromatization reaction[J]. J Catal, 2018,361:193-203. doi: 10.1016/j.jcat.2018.03.001

    30. [30]

      WANG Sen, CHEN Yan-yan, WEI Zhi-hong, QIN Zhang-feng, LI Jun-fen, DONG Mei, FAN Wei-bin, WANG Jian-guo. Recent research progresses in the effect of framework structure and acidity of zeolites on their catalytic performance in methanol to olefins(MTO)[J]. J Fuel Chem Technol, 2015,43(10):1202-1214. doi: 10.3969/j.issn.0253-2409.2015.10.008 

    31. [31]

      WANG S, CHEN Y, WEI Z, QIN Z, LIANG T, DONG M, LI J, FAN W, WANG J. Evolution of aromatic species in supercages and its effect on the conversion of methanol to olefins over H-MCM-22 Zeolite:A density functional theory study[J]. J Phys Chem C, 2016,120(49):27964-27979. doi: 10.1021/acs.jpcc.6b08154

    32. [32]

      LI J, WEI Y, QI Y, TIAN P, LI B, HE Y, CHANG F, SUN X, LIU Z. Conversion of methanol over H-ZSM-22:The reaction mechanism and deactivation[J]. Catal Today, 2011,164(1):288-292. doi: 10.1016/j.cattod.2010.10.095

  • 加载中
    1. [1]

      Xingyang LITianju LIUYang GAODandan ZHANGYong ZHOUMeng PAN . A superior methanol-to-propylene catalyst: Construction via synergistic regulation of pore structure and acidic property of high-silica ZSM-5 zeolite. Chinese Journal of Inorganic Chemistry, 2024, 40(7): 1279-1289. doi: 10.11862/CJIC.20240026

    2. [2]

      Yi RUTao MENGZhaoteng XUEDongsen MAO . Synergistic catalysis of Al distribution and pore structure in ZSM-5 zeolite for bioethanol-to-propylene. Chinese Journal of Inorganic Chemistry, 2026, 42(2): 247-262. doi: 10.11862/CJIC.20250255

    3. [3]

      Pei LiYuenan ZhengZhankai LiuAn-Hui Lu . Boron-Containing MFI Zeolite: Microstructure Control and Its Performance of Propane Oxidative Dehydrogenation. Acta Physico-Chimica Sinica, 2025, 41(4): 100034-0. doi: 10.3866/PKU.WHXB202406012

    4. [4]

      Bing LIUHuang ZHANGHongliang HANChangwen HUYinglei ZHANG . Visible light degradation of methylene blue from water by triangle Au@TiO2 mesoporous catalyst. Chinese Journal of Inorganic Chemistry, 2024, 40(5): 941-952. doi: 10.11862/CJIC.20230398

    5. [5]

      Yuanpei ZHANGJiahong WANGJinming HUANGZhi HU . Preparation of magnetic mesoporous carbon loaded nano zero-valent iron for removal of Cr(Ⅲ) organic complexes from high-salt wastewater. Chinese Journal of Inorganic Chemistry, 2024, 40(9): 1731-1742. doi: 10.11862/CJIC.20240077

    6. [6]

      Zehao ZhangZheng WangHaibo Li . Preparation of 2D V2O3@Pourous Carbon Nanosheets Derived from V2CFx MXene for Capacitive Desalination. Acta Physico-Chimica Sinica, 2024, 40(8): 2308020-0. doi: 10.3866/PKU.WHXB202308020

    7. [7]

      Ruifeng CHENChao XUJianting JIANGTianshe YANG . Gold nanorod/zinc oxide/mesoporous silica nanoplatform: A triple-modal platform for synergistic anticancer therapy. Chinese Journal of Inorganic Chemistry, 2025, 41(11): 2272-2282. doi: 10.11862/CJIC.20250117

    8. [8]

      Ning CHENJingle CHENHongyuan ZHUHuali CHENLiguang WUTing WANG . Mechanism and performance regulation of Co/Zr-doped mesoporous TiO2 catalysts in activating sodium persulfate for tetracycline degradation. Chinese Journal of Inorganic Chemistry, 2026, 42(3): 507-518. doi: 10.11862/CJIC.20250275

    9. [9]

      Yuhao SUNQingzhe DONGLei ZHAOXiaodan JIANGHailing GUOXianglong MENGYongmei GUO . Synthesis and antibacterial properties of silver-loaded sod-based zeolite. Chinese Journal of Inorganic Chemistry, 2024, 40(4): 761-770. doi: 10.11862/CJIC.20230169

    10. [10]

      Jiali CHENGuoxiang ZHAOYayu YANWanting XIAQiaohong LIJian ZHANG . Machine learning exploring the adsorption of electronic gases on zeolite molecular sieves. Chinese Journal of Inorganic Chemistry, 2025, 41(1): 155-164. doi: 10.11862/CJIC.20240408

    11. [11]

      Yiping HUANGLiqin TANGYufan JICheng CHENShuangtao LIJingjing HUANGXuechao GAOXuehong GU . Hollow fiber NaA zeolite membrane for deep dehydration of ethanol solvent by vapor permeation. Chinese Journal of Inorganic Chemistry, 2025, 41(2): 225-234. doi: 10.11862/CJIC.20240224

    12. [12]

      Qinhui GuanYuhao GuoNa LiJing LiTingjiang Yan . Molecular sieve-mediated indium oxide catalysts for enhancing photocatalytic CO2 hydrogenation. Acta Physico-Chimica Sinica, 2025, 41(11): 100133-0. doi: 10.1016/j.actphy.2025.100133

    13. [13]

      Yufang GAONan HOUYaning LIANGNing LIYanting ZHANGZelong LIXiaofeng LI . Nano-thin layer MCM-22 zeolite: Synthesis and catalytic properties of trimethylbenzene isomerization reaction. Chinese Journal of Inorganic Chemistry, 2024, 40(6): 1079-1087. doi: 10.11862/CJIC.20240036

    14. [14]

      Shanghua LiMalin LiXiwen ChiXin YinZhaodi LuoJihong Yu . High-Stable Aqueous Zinc Metal Anodes Enabled by an Oriented ZnQ Zeolite Protective Layer with Facile Ion Migration Kinetics. Acta Physico-Chimica Sinica, 2025, 41(1): 100003-0. doi: 10.3866/PKU.WHXB202309003

    15. [15]

      Yongmei Liu Lisen Sun Zhen Huang Tao Tu . Curriculum-Based Ideological and Political Design for the Experiment of Methanol Oxidation to Formaldehyde Catalyzed by Electrolytic Silver. University Chemistry, 2024, 39(2): 67-71. doi: 10.3866/PKU.DXHX202308020

    16. [16]

      Qingqing SHENXiangbowen DUKaicheng QIANZhikang JINZheng FANGTong WEIRenhong LI . Self-supporting Cu/α-FeOOH/foam nickel composite catalyst for efficient hydrogen production by coupling methanol oxidation and water electrolysis. Chinese Journal of Inorganic Chemistry, 2024, 40(10): 1953-1964. doi: 10.11862/CJIC.20240028

    17. [17]

      Xue LiuLipeng WangLuling LiKai WangWenju LiuBiao HuDaofan CaoFenghao JiangJunguo LiKe Liu . Research on Cu-Based and Pt-Based Catalysts for Hydrogen Production through Methanol Steam Reforming. Acta Physico-Chimica Sinica, 2025, 41(5): 100049-0. doi: 10.1016/j.actphy.2025.100049

    18. [18]

      Feifei YangWei ZhouChaoran YangTianyu ZhangYanqiang Huang . Enhanced Methanol Selectivity in CO2 Hydrogenation by Decoration of K on MoS2 Catalyst. Acta Physico-Chimica Sinica, 2024, 40(7): 2308017-0. doi: 10.3866/PKU.WHXB202308017

    19. [19]

      Shi-Yu LuWenzhao DouJun ZhangLing WangChunjie WuHuan YiRong WangMeng Jin . Amorphous-Crystalline Interfaces Coupling of CrS/CoS2 Few-Layer Heterojunction with Optimized Crystallinity Boosted for Water-Splitting and Methanol-Assisted Energy-Saving Hydrogen Production. Acta Physico-Chimica Sinica, 2024, 40(8): 2308024-0. doi: 10.3866/PKU.WHXB202308024

    20. [20]

      Zhipeng Bao Yilin Wang Yu Chen Beirui Jia Congcong Wang Zean Xie Xuehua Yu Zhen Zhao . Digital and Intelligent Integration under the “Dual Carbon” Strategy: Plasma Reaction-Separation Coupling for CO2 Hydrogenation to Methanol. University Chemistry, 2026, 41(1): 29-40. doi: 10.12461/PKU.DXHX202506009

Metrics
  • PDF Downloads(3)
  • Abstract views(1317)
  • HTML views(160)

通讯作者: 陈斌, bchen63@163.com
  • 1. 

    沈阳化工大学材料科学与工程学院 沈阳 110142

  1. 本站搜索
  2. 百度学术搜索
  3. 万方数据库搜索
  4. CNKI搜索
Address:Zhongguancun North First Street 2,100190 Beijing, PR China Tel: +86-010-82449177-888
Powered By info@rhhz.net

/

DownLoad:  Full-Size Img  PowerPoint
Return