Preparation and Application of Copper Ion Imprinted Electrochemical Sensor Based on Graphene Modified Carbon Electrode
- Corresponding author: Zhang Zhaohui, zhaohuizhang77@163.com
Citation:
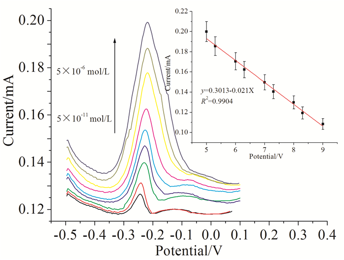
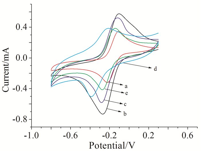
Wang Jing, Zhang Zhaohui, Yan Liang, Lv Piaopiao. Preparation and Application of Copper Ion Imprinted Electrochemical Sensor Based on Graphene Modified Carbon Electrode[J]. Chemistry,
;2017, 80(4): 367-372.
V Yilmaz, S Kartal. Int. J. Environ. Anal. Chem., 2015, 95(2): 106~120.
W Peng, Z Z Xie, G Cheng. J. Hazard. Mater., 2015, 294(4): 9~16.
X B Luo, B Guo, J M Luo et al. ACS Sustain Chem. Eng., 2015, 3:460~467.
J Q Fu, L X Chen, J H Li et al. J. Mater. Chem., 2015, 3:13598~13627.
Z H Wang, X L Liu, J M Yang et al. Electrochim. Acta, 2015, 58: 750~756.
S Griveau, D Mercier, C Vautrin-Ul et al. Electrochem. Commun., 2007, 9: 2768~2773.
Z J Wang, X Z Zhou, J Zhang et al. J. Phys. Chem. C, 2009, 113: 14071~14075.
H P Bai, S X Wang, P Liu. J. Electroanal. Chem., 2016, 771(6): 29~36.
Chaolin Mi , Yuying Qin , Xinli Huang , Yijie Luo , Zhiwei Zhang , Chengxiang Wang , Yuanchang Shi , Longwei Yin , Rutao Wang . Galvanic Replacement Synthesis of Graphene Coupled Amorphous Antimony Nanoparticles for High-Performance Sodium-Ion Capacitor. Acta Physico-Chimica Sinica, 2024, 40(5): 2306011-0. doi: 10.3866/PKU.WHXB202306011
Jiarong Feng , Yejie Duan , Chu Chu , Dezhen Xie , Qiu'e Cao , Peng Liu . Preparation and Application of a Streptomycin Molecularly Imprinted Electrochemical Sensor: A Suggested Comprehensive Analytical Chemical Experiment. University Chemistry, 2024, 39(8): 295-305. doi: 10.3866/PKU.DXHX202401016
Zhihuan XU , Qing KANG , Yuzhen LONG , Qian YUAN , Cidong LIU , Xin LI , Genghuai TANG , Yuqing LIAO . Effect of graphene oxide concentration on the electrochemical properties of reduced graphene oxide/ZnS. Chinese Journal of Inorganic Chemistry, 2024, 40(7): 1329-1336. doi: 10.11862/CJIC.20230447
Yuanchun Pan , Xinyun Lin , Leyi Yang , Wenya Hu , Dekui Song , Nan Liu . Artificial Intelligence Science Practice: Preparation of Electronic Skin by Chemical Vapor Deposition of Graphene. University Chemistry, 2025, 40(11): 272-280. doi: 10.12461/PKU.DXHX202412052
Lin′an CAO , Dengyue MA , Gang XU . Research advances in electrically conductive metal-organic frameworks-based electrochemical sensors. Chinese Journal of Inorganic Chemistry, 2025, 41(10): 1953-1972. doi: 10.11862/CJIC.20250160
Hong LI , Xiaoying DING , Cihang LIU , Jinghan ZHANG , Yanying RAO . Detection of iron and copper ions based on gold nanorod etching colorimetry. Chinese Journal of Inorganic Chemistry, 2024, 40(5): 953-962. doi: 10.11862/CJIC.20230370
Hao BAI , Weizhi JI , Jinyan CHEN , Hongji LI , Mingji LI . Preparation of Cu2O/Cu-vertical graphene microelectrode and detection of uric acid/electroencephalogram. Chinese Journal of Inorganic Chemistry, 2024, 40(7): 1309-1319. doi: 10.11862/CJIC.20240001
Anbang Du , Yuanfan Wang , Zhihong Wei , Dongxu Zhang , Li Li , Weiqing Yang , Qianlu Sun , Lili Zhao , Weigao Xu , Yuxi Tian . Photothermal Microscopy of Graphene Flakes with Different Thicknesses. Acta Physico-Chimica Sinica, 2024, 40(5): 2304027-0. doi: 10.3866/PKU.WHXB202304027
Hailang JIA , Yujie LU , Pengcheng JI . Preparation and properties of nitrogen and phosphorus co-doped graphene carbon aerogel supported ruthenium electrocatalyst for hydrogen evolution reaction. Chinese Journal of Inorganic Chemistry, 2025, 41(11): 2327-2336. doi: 10.11862/CJIC.20250021
Lu XU , Chengyu ZHANG , Wenjuan JI , Haiying YANG , Yunlong FU . Zinc metal-organic framework with high-density free carboxyl oxygen functionalized pore walls for targeted electrochemical sensing of paracetamol. Chinese Journal of Inorganic Chemistry, 2024, 40(5): 907-918. doi: 10.11862/CJIC.20230431
Jing SU , Bingrong LI , Yiyan BAI , Wenjuan JI , Haiying YANG , Zhefeng Fan . Highly sensitive electrochemical dopamine sensor based on a highly stable In-based metal-organic framework with amino-enriched pores. Chinese Journal of Inorganic Chemistry, 2024, 40(7): 1337-1346. doi: 10.11862/CJIC.20230414
Tao Xu , Wei Sun , Tianci Kong , Jie Zhou , Yitai Qian . Stable Graphite Interface for Potassium Ion Battery Achieving Ultralong Cycling Performance. Acta Physico-Chimica Sinica, 2024, 40(2): 2303021-0. doi: 10.3866/PKU.WHXB202303021
Shuhui Li , Xucen Wang , Yingming Pan . Exploring the Role of Electrochemical Technologies in Everyday Life. University Chemistry, 2025, 40(3): 302-307. doi: 10.12461/PKU.DXHX202406059
Yuan ZHU , Xiaoda ZHANG , Shasha WANG , Peng WEI , Tao YI . Conditionally restricted fluorescent probe for Fe3+ and Cu2+ based on the naphthalimide structure. Chinese Journal of Inorganic Chemistry, 2025, 41(1): 183-192. doi: 10.11862/CJIC.20240232
Ke Zhao , Zhen Liu , Luyao Liu , Changyuan Yu , Jingshun Pan , Xuguang Huang . Functionalized Reflective Structure Fiber-Optic Interferometric Sensor for Trace Detection of Lead Ions. Acta Physico-Chimica Sinica, 2024, 40(4): 2304029-0. doi: 10.3866/PKU.WHXB202304029
Yang Meiqing , Lu Wang , Haozi Lu , Yaocheng Yang , Song Liu . Recent Advances of Functional Nanomaterials for Screen-Printed Photoelectrochemical Biosensors. Acta Physico-Chimica Sinica, 2025, 41(2): 100018-0. doi: 10.3866/PKU.WHXB202310046
Wei GUO , Zhuoyi GUO , Xiaoxin LI , Wei ZHANG , Juanzhi YAN , Tingting GUO . Electrochemical sensor based on a Co(Ⅱ)-based metal-organic framework for the detection of Cd2+ and Pb2+. Chinese Journal of Inorganic Chemistry, 2025, 41(9): 1889-1902. doi: 10.11862/CJIC.20250097
Jie XIE , Hongnan XU , Jianfeng LIAO , Ruoyu CHEN , Lin SUN , Zhong JIN . Nitrogen-doped 3D graphene-carbon nanotube network for efficient lithium storage. Chinese Journal of Inorganic Chemistry, 2024, 40(10): 1840-1849. doi: 10.11862/CJIC.20240216
Tian TIAN , Meng ZHOU , Jiale WEI , Yize LIU , Yifan MO , Yuhan YE , Wenzhi JIA , Bin HE . Ru-doped Co3O4/reduced graphene oxide: Preparation and electrocatalytic oxygen evolution property. Chinese Journal of Inorganic Chemistry, 2025, 41(2): 385-394. doi: 10.11862/CJIC.20240298
Yun Chen , Daijie Deng , Li Xu , Xingwang Zhu , Henan Li , Chengming Sun . Covalent bond modulation of charge transfer for sensitive heavy metal ion analysis in a self-powered electrochemical sensing platform. Acta Physico-Chimica Sinica, 2026, 42(1): 100144-0. doi: 10.1016/j.actphy.2025.100144