Citation: CHENG Fu-long, GUO He-qin, CUI Jing-lei, HOU Bo, LI De-bao. Effect of calcination temperature on MgAlOx mixed oxides for converting formaldehyde and acetaldehyde to propanal[J]. Journal of Fuel Chemistry and Technology, ;2018, 46(7): 841-847. shu

Effect of calcination temperature on MgAlOx mixed oxides for converting formaldehyde and acetaldehyde to propanal

  • Corresponding author: GUO He-qin, heqinguo@sxicc.ac.cn LI De-bao, dbli@sxicc.ac.cn
  • Received Date: 15 January 2018
    Revised Date: 11 May 2018

    Fund Project: the National Natural Science Foundation of China 21736007The project was supported by the National Natural Science Foundation of China (21736007, 21303241)the National Natural Science Foundation of China 21303241

Figures(6)

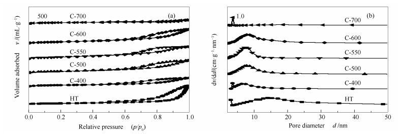
  • A series of MgAlOx mixed oxides were prepared by calcination of hydrotalcite materials at various temperatures ranging from 400 to 700℃. The physical and chemical properties of the catalysts were characterized by XRD, TG, N2 adsorption/desorption, NH3-TPD, and CO2-TPD techniques. The catalytic activity was evaluated by the condensation of formaldehyde and acetaldehyde. The results show that as the calcination temperatures increase, both the conversion of acetaldehyde and the space time yield of propanal first increase and then decrease, which shows the same trend with the amount of moderate basic sites, and the C-550 catalyst has the maximum of 39.22% and 103.86 g/(kg·h), respectively. Moreover, the yields of by-products including methanol and CO2 are also significantly related to the moderate and strong basic sites.
  • 加载中
    1. [1]

      CUI Xiao-ming. Production, application, and market prospect pf propaldehyde[J]. Hangzhou Chem Ind, 2003,33(3):17-20.  

    2. [2]

      LI Ming. Production, application, and market prospect pf propaldehyde[J]. Fine Chem Ind Raw Mater Intermed, 2005,23(6):23-29.  

    3. [3]

      ZHU X, LOBBAN L L, MALLINSON R G, RESASCO D E. Tailoring the mesopore structure of HZSM-5 to control product distribution in the conversion of propanal[J]. J Catal, 2010,271(1):88-98. doi: 10.1016/j.jcat.2010.02.004

    4. [4]

      ZHANG Fu-sheng. Preparation and application of propanal[J]. Jiangsu Chem Ind, 1996,24(4):35-37.  

    5. [5]

      KAINULAINEN T A, NIEMELA M K, KRAUSE A O I. Ethene hydroformylation on Co/SiO2 catalysts[J]. Catal Lett, 1998,53(1/2):97-101. doi: 10.1023/A:1019053805618

    6. [6]

      TRICAS H, DIEBOLT O, VAN LEEUWEN P W N M. Bulky monophosphite ligands for ethene hydroformylation[J]. J Catal, 2013,298:198-205. doi: 10.1016/j.jcat.2012.11.031

    7. [7]

      AI M. Formation of acrylaldehyde by vapor-phase aldol condensation 2. Phosphate catalysts[J]. Bull Chem Soc Jpn, 1991,64(4):1346-1350. doi: 10.1246/bcsj.64.1346

    8. [8]

      AI M. Formation of acrylaldehyde by vapor-phase aldol condensation 1. Basic oxide catalysts[J]. Bull Chem Soc Jpn, 1991,64(4):1342-1345. doi: 10.1246/bcsj.64.1342

    9. [9]

      AZZOUZ A, MESSAD D, NISTOR D, CATRINESCU C, ZVOLINSCHI A, ASAFTEI S. Vapor phase aldol condensation over fully ion-exchanged montmorillonite-rich catalysts[J]. Appl Catal A:Gen, 2003,241(1/2):1-13.  

    10. [10]

      DUMITRIU E, HULEA V, CHELARU C, CATRINESCU C, TICHIT D, DURAND R. Influence of the acid-base properties of solid catalysts derived from hydrotalcite-like compounds on the condensation of formaldehyde and acetaldehyde[J]. Appl Catal A:Gen, 1999,178(2):145-157. doi: 10.1016/S0926-860X(98)00282-8

    11. [11]

      CAVANI F, TRIFIRO F, VACCARI A. Hydrotalcite-type anionic clays:Preparation, properties and applications[J]. Catal Today, 1991,11(2):173-301. doi: 10.1016/0920-5861(91)80068-K

    12. [12]

      RAMASAMY K K, GRAY M, JOB H, SANTOSA D, LI X S, DEVARAJ A, KARKAMKAR A, WANG Y. Role of calcination temperature on the hydrotalcite derived MgO-Al2O3 in converting ethanol to butanol[J]. Top Catal, 2016,59(1):46-54. doi: 10.1007/s11244-015-0504-8

    13. [13]

      STOSIC D, HOSOGLU F, BENNICI S, TRAVERT A, CAPRON M, DUMEIGNIL F, COUTURIER J L, DUBOIS J L, AUROUX A. Methanol and ethanol reactivity in the presence of hydrotalcites with Mg/Al ratios varying from 2 to 7[J]. Catal Commun, 2017,89:8-14.  

    14. [14]

      GAO P, LI F, ZHAO N, XIAO F K, WEI W, ZHONG L S, SUN Y H. Influence of modifier (Mn, La, Ce, Zr and Y) on the performance of Cu/Zn/Al catalysts via hydrotalcite-like precursors for CO2 hydrogenation to methanol[J]. Appl Catal A:Gen, 2013,468:442-452. doi: 10.1016/j.apcata.2013.09.026

    15. [15]

      LUO Jing, LI Hong-guang, ZHAO Ning, WANG Feng, XIAO Fu-kui. Selective oxidation of glycerol to dihydroxyacetone over layer double hydroxide intercalated with sulfonato-salen metal complexes[J]. J Fuel Chem Technol, 2015,43(6):677-683.  

    16. [16]

      CANTRELL D G, GILLIE L J, LEE A F, WILSON K. Structure-reactivity correlations in MgAl hydrotalcite catalysts for biodiesel synthesis[J]. App Catal A:Gen, 2005,287(2):183-190. doi: 10.1016/j.apcata.2005.03.027

    17. [17]

      GAO P, LI F, ZHAN H J, ZHAO N, XIAO F K, WEI W, ZHONG L S, WANG H, SUN Y H. Influence of Zr on the performance of Cu/Zn/Al/Zr catalysts via hydrotalcite-like precursors for CO2 hydrogenation to methanol[J]. J Catal, 2013,298:51-60. doi: 10.1016/j.jcat.2012.10.030

    18. [18]

      DU Ya-li, XIE Xian-mei, WU xu, HU Qiu-xia, WANG Zhi-zhong. TG-DTA technology used in thermal decomposition of hydrotalcite-like compounds[J]. App Chem Ind, 2005,34(9):5-12.  

    19. [19]

      SHEN J Y, TU M, HU C. Structural and surface acid/base properties of hydrotalcite-derived MgAlO oxides calcined at varying temperatures[J]. J Solid State Chem, 1998,137(2):295-301. doi: 10.1006/jssc.1997.7739

    20. [20]

      DI COSIMO J I, DIEZ V K, XU M, IGLESIA E, APESTEGUIA C R. Structure and surface and catalytic properties of Mg-Al basic oxides[J]. J Catal, 1998,178(2):499-510. doi: 10.1006/jcat.1998.2161

    21. [21]

      ZHANG Jun, WANG Xiu-zhi, ZAHO Ning, XIAO Fu-kui, WEI wei, SUN Yu-han. Application of fluorine-modified Ni-Mg-Al hydrotalcite catalyst in the partial oxidation of methane to syngas[J]. J Fuel Chem Technol, 2012,40(4):424-429.  

    22. [22]

      LIU Y X, SUN K P, MA H W, XU X L, WANG X L. Zr-incorporated hydrotalcites and their application in the synthesis of isophorone[J]. Catal Commun, 2010,11(10):880-883. doi: 10.1016/j.catcom.2010.03.014

  • 加载中
    1. [1]

      Qin ZHUJiao MAZhihui QIANYuxu LUOYujiao GUOMingwu XIANGXiaofang LIUPing NINGJunming GUO . Morphological evolution and electrochemical properties of cathode material LiAl0.08Mn1.92O4 single crystal particles. Chinese Journal of Inorganic Chemistry, 2024, 40(8): 1549-1562. doi: 10.11862/CJIC.20240022

    2. [2]

      Yuchen ZhouHuanmin LiuHongxing LiXinyu SongYonghua TangPeng Zhou . Designing thermodynamically stable noble metal single-atom photocatalysts for highly efficient non-oxidative conversion of ethanol into high-purity hydrogen and value-added acetaldehyde. Acta Physico-Chimica Sinica, 2025, 41(6): 100067-0. doi: 10.1016/j.actphy.2025.100067

    3. [3]

      Chuanming GUOKaiyang ZHANGYun WURui YAOQiang ZHAOJinping LIGuang LIU . Performance of MnO2-0.39IrOx composite oxides for water oxidation reaction in acidic media. Chinese Journal of Inorganic Chemistry, 2024, 40(6): 1135-1142. doi: 10.11862/CJIC.20230459

    4. [4]

      Wang WangYucheng LiuShengli Chen . Use of NiFe Layered Double Hydroxide as Electrocatalyst in Oxygen Evolution Reaction: Catalytic Mechanisms, Electrode Design, and Durability. Acta Physico-Chimica Sinica, 2024, 40(2): 2303059-0. doi: 10.3866/PKU.WHXB202303059

    5. [5]

      Mingxin LULiyang ZHOUXiaoyu XUXiaoying FENGHui WANGBin YANJie XUChao CHENHui MEIFeng GAO . Preparation of La-doped lead-based piezoelectric ceramics with both high electrical strain and Curie temperature. Chinese Journal of Inorganic Chemistry, 2025, 41(2): 329-338. doi: 10.11862/CJIC.20240206

    6. [6]

      Qianping Li Hua Guan Changfeng Wan Yonghai Song Jianwen Jiang . 大学有机化学复习课项目式教学——以“液晶化合物4-正戊基苯甲酸-4′-正戊基苯酯的合成路线设计与产品制备”为例. University Chemistry, 2025, 40(8): 100-116. doi: 10.12461/PKU.DXHX202410070

    7. [7]

      Huafeng SHI . Construction of MnCoNi layered double hydroxide@Co-Ni-S amorphous hollow polyhedron composite with excellent electrocatalytic oxygen evolution performance. Chinese Journal of Inorganic Chemistry, 2025, 41(7): 1380-1386. doi: 10.11862/CJIC.20240378

    8. [8]

      Yaping ZHANGTongchen WUYun ZHENGBizhou LIN . Z-scheme heterojunction β-Bi2O3 pillared CoAl layered double hydroxide nanohybrid: Fabrication and photocatalytic degradation property. Chinese Journal of Inorganic Chemistry, 2025, 41(3): 531-539. doi: 10.11862/CJIC.20240256

    9. [9]

      Heng ChenLonghui NieKai XuYiqiong YangCaihong Fang . Remarkable Photocatalytic H2O2 Production Efficiency over Ultrathin g-C3N4 Nanosheet with Large Surface Area and Enhanced Crystallinity by Two-Step Calcination. Acta Physico-Chimica Sinica, 2024, 40(11): 2406019-0. doi: 10.3866/PKU.WHXB202406019

    10. [10]

      Yongmei Liu Lisen Sun Zhen Huang Tao Tu . Curriculum-Based Ideological and Political Design for the Experiment of Methanol Oxidation to Formaldehyde Catalyzed by Electrolytic Silver. University Chemistry, 2024, 39(2): 67-71. doi: 10.3866/PKU.DXHX202308020

    11. [11]

      Ping ZHANGChenchen ZHAOXiaoyun CUIBing XIEYihan LIUHaiyu LINJiale ZHANGYu'nan CHEN . Preparation and adsorption-photocatalytic performance of ZnAl@layered double oxides. Chinese Journal of Inorganic Chemistry, 2024, 40(10): 1965-1974. doi: 10.11862/CJIC.20240014

    12. [12]

      Xueyu LinRuiqi WangWujie DongFuqiang Huang . Rational Design of Bimetallic Oxide Anodes for Superior Li+ Storage. Acta Physico-Chimica Sinica, 2025, 41(3): 100021-0. doi: 10.3866/PKU.WHXB202311005

    13. [13]

      Rongzhan LOUQiaoling KANGZhenchao BAIDongyun LIYang XURui WANGQingyi LU . Research progress of sodium ion high entropy layered oxide cathode. Chinese Journal of Inorganic Chemistry, 2025, 41(12): 2411-2428. doi: 10.11862/CJIC.20250142

    14. [14]

      Ye WangRuixiang GeXiang LiuJing LiHaohong Duan . An Anion Leaching Strategy towards Metal Oxyhydroxides Synthesis for Electrocatalytic Oxidation of Glycerol. Acta Physico-Chimica Sinica, 2024, 40(7): 2307019-0. doi: 10.3866/PKU.WHXB202307019

    15. [15]

      Xiaofeng ZhuBingbing XiaoJiaxin SuShuai WangQingran ZhangJun Wang . Transition Metal Oxides/Chalcogenides for Electrochemical Oxygen Reduction into Hydrogen Peroxides. Acta Physico-Chimica Sinica, 2024, 40(12): 2407005-0. doi: 10.3866/PKU.WHXB202407005

    16. [16]

      Chengxin ChenHongfei ShiXiaoyan CaiLiang MaoZhe Chen . Enhanced bifunctional photocatalytic performances for H2 evolution and HCHO elimination with an S-scheme CoWO4/CdIn2S4 heterojunction. Acta Physico-Chimica Sinica, 2025, 41(12): 100155-0. doi: 10.1016/j.actphy.2025.100155

    17. [17]

      Xiaotian ZHUFangding HUANGWenchang ZHUJianqing ZHAO . Layered oxide cathode for sodium-ion batteries: Surface and interface modification and suppressed gas generation effect. Chinese Journal of Inorganic Chemistry, 2025, 41(2): 254-266. doi: 10.11862/CJIC.20240260

    18. [18]

      Yuying JIANGJia LUOZhan GAO . Development status and prospects of solid oxide cell high entropy electrode catalysts. Chinese Journal of Inorganic Chemistry, 2025, 41(9): 1719-1730. doi: 10.11862/CJIC.20250124

    19. [19]

      Xin HanZhihao ChengJinfeng ZhangJie LiuCheng ZhongWenbin Hu . Design of Amorphous High-Entropy FeCoCrMnBS (Oxy) Hydroxides for Boosting Oxygen Evolution Reaction. Acta Physico-Chimica Sinica, 2025, 41(4): 100033-0. doi: 10.3866/PKU.WHXB202404023

    20. [20]

      Endong YANGHaoze TIANKe ZHANGYongbing LOU . Efficient oxygen evolution reaction of CuCo2O4/NiFe-layered bimetallic hydroxide core-shell nanoflower sphere arrays. Chinese Journal of Inorganic Chemistry, 2024, 40(5): 930-940. doi: 10.11862/CJIC.20230369

Metrics
  • PDF Downloads(10)
  • Abstract views(1506)
  • HTML views(121)

通讯作者: 陈斌, bchen63@163.com
  • 1. 

    沈阳化工大学材料科学与工程学院 沈阳 110142

  1. 本站搜索
  2. 百度学术搜索
  3. 万方数据库搜索
  4. CNKI搜索
Address:Zhongguancun North First Street 2,100190 Beijing, PR China Tel: +86-010-82449177-888
Powered By info@rhhz.net

/

DownLoad:  Full-Size Img  PowerPoint
Return