Citation: Wang Haina, Zhang Hui, Yu Tianzhi, Zhao Yuling. Synthesis and Evaluation of Dicoumarin Acylhydrazone Derivatives as Fluorescent Probes for Cu2+[J]. Chemistry, ;2020, 83(3): 240-245, 252. shu

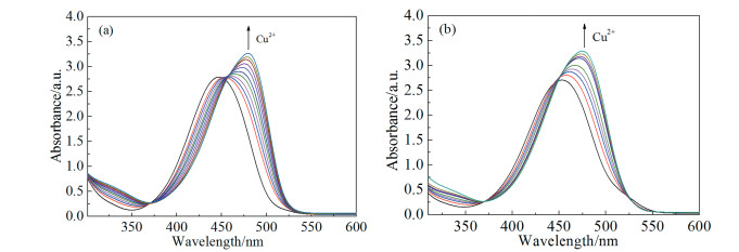
Synthesis and Evaluation of Dicoumarin Acylhydrazone Derivatives as Fluorescent Probes for Cu2+

  • Corresponding author: Yu Tianzhi, yutianzhi@hotmail.com
  • Received Date: 22 September 2019
    Accepted Date: 30 November 2019

Figures(10)

Metrics
  • PDF Downloads(5)
  • Abstract views(1862)
  • HTML views(360)

通讯作者: 陈斌, bchen63@163.com
  • 1. 

    沈阳化工大学材料科学与工程学院 沈阳 110142

  1. 本站搜索
  2. 百度学术搜索
  3. 万方数据库搜索
  4. CNKI搜索
Address:Zhongguancun North First Street 2,100190 Beijing, PR China Tel: +86-010-82449177-888
Powered By info@rhhz.net

/

DownLoad:  Full-Size Img  PowerPoint
Return