Citation:
Su Changhui, Liu Xia, Ding Zhiyuan, Cui Kai, Ma Jiejie. Synthesis of Methoxy Polyethylene Glycol-1, 2-Distearoyl-glycero-3-phosphoethanolamine[J]. Chemistry,
;2017, 80(3): 304-306.
-
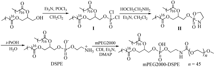
1, 2-Distearoyl-glycero-3-phosphoethanolamine (DSPE) was synthesized with glycerol-1, 2-distearate, phosphorus oxychloride and 2-aminoethanol as starting materials. Subsequently, reaction of DSPE with N, N'-carbonyldiimidazole (CDI) and mPEG2000 gave the target compound mPEG2000-DSPE, which was characterized by IR analysis, 1H NMR spectroscopy and mass spectrometry.
-
-
-
[1]
Y Huang, X M Chen, B X Zhao et al. AAPS PharmSciTech., 2010, 11:752-759.
-
[2]
T Steenpaß, A Lung, R Schubert. Biochim. Biophys. Acta, 2006, 1758:20-28.
- [3]
-
[4]
K Takara, H Hatakeyama, N Ohga et al. Int. J. Pharm., 2010, 396:143-148.
-
[5]
K R Poudel, D J Keller, J A Brozik. Langmuir, 2011, 27(1):320-327.
-
[6]
J C Su, C L Tseng, T G Chang et al. Bioorg. Med. Chem. Lett., 2008, 18:4593-4596.
-
[7]
-
[8]
-
[1]
-
-
-
[1]
Lifang HE , Wenjie TANG , Yaoze LUO , Mingsheng LIANG , Jianxin TANG , Yuxuan WU , Fuxing ZHANG , Xiaoming ZHU . Synthesis, structure, and anticancer activity of two dialkyltin complexes constructed based on 2, 2′-bipyridin-6, 6′-dicarboxylic acid. Chinese Journal of Inorganic Chemistry, 2025, 41(8): 1601-1609. doi: 10.11862/CJIC.20250012
-
[2]
Chunling Qin , Shuang Chen , Hassanien Gomaa , Mohamed A. Shenashen , Sherif A. El-Safty , Qian Liu , Cuihua An , Xijun Liu , Qibo Deng , Ning Hu . Regulating HER and OER Performances of 2D Materials by the External Physical Fields. Acta Physico-Chimica Sinica, 2024, 40(9): 2307059-0. doi: 10.3866/PKU.WHXB202307059
-
[3]
Lixing ZHANG , Yaowen WANG , Xu HAN , Junhong ZHOU , Jinghui WANG , Liping LI , Guangshe LI . Research progress in the synthesis of fluorine-containing perovskites and their derivatives. Chinese Journal of Inorganic Chemistry, 2025, 41(9): 1689-1701. doi: 10.11862/CJIC.20250007
-
[4]
Jing WU , Puzhen HUI , Huilin ZHENG , Pingchuan YUAN , Chunfei WANG , Hui WANG , Xiaoxia GU . Synthesis, crystal structures, and antitumor activities of transition metal complexes incorporating a naphthol-aldehyde Schiff base ligand. Chinese Journal of Inorganic Chemistry, 2024, 40(12): 2422-2428. doi: 10.11862/CJIC.20240278
-
[5]
Ying Chen , Ronghua Yan , Weiyan Yin . Research Progress on the Synthesis of Metal Single-Atom Catalysts and Their Applications in Electrocatalytic Hydrogen Evolution Reactions. University Chemistry, 2025, 40(9): 344-353. doi: 10.12461/PKU.DXHX202503066
-
[6]
Xinting XIONG , Zhiqiang XIONG , Panlei XIAO , Xuliang NIE , Xiuying SONG , Xiuguang YI . Synthesis, crystal structures, Hirshfeld surface analysis, and antifungal activity of two complexes Na(Ⅰ)/Cd(Ⅱ) assembled by 5-bromo-2-hydroxybenzoic acid ligands. Chinese Journal of Inorganic Chemistry, 2024, 40(9): 1661-1670. doi: 10.11862/CJIC.20240145
-
[7]
Bin SUN , Heyan JIANG . Glucose-modified bis-Schiff bases: Synthesis and bio-activities in Alzheimer′s disease therapy. Chinese Journal of Inorganic Chemistry, 2025, 41(7): 1338-1350. doi: 10.11862/CJIC.20240428
-
[8]
Jiaming Xu , Yu Xiang , Weisheng Lin , Zhiwei Miao . Research Progress in the Synthesis of Cyclic Organic Compounds Using Bimetallic Relay Catalytic Strategies. University Chemistry, 2024, 39(3): 239-257. doi: 10.3866/PKU.DXHX202309093
-
[9]
Yuanyuan Ping , Wangqing Kong . 光催化碳氢键官能团化合成1-苯基-1,2-乙二醇. University Chemistry, 2025, 40(6): 238-247. doi: 10.12461/PKU.DXHX202408092
-
[10]
Xinyi Zhang , Kai Ren , Yanning Liu , Zhenyi Gu , Zhixiong Huang , Shuohang Zheng , Xiaotong Wang , Jinzhi Guo , Igor V. Zatovsky , Junming Cao , Xinglong Wu . Progress on Entropy Production Engineering for Electrochemical Catalysis. Acta Physico-Chimica Sinica, 2024, 40(7): 2307057-0. doi: 10.3866/PKU.WHXB202307057
-
[11]
Lei Feng , Ze-Min Zhu , Ying Yang , Zongbin He , Jiafeng Zou , Man-Bo Li , Yan Zhao , Zhikun Wu . Long-Pursued Structure of Au23(S-Adm)16 and the Unexpected Doping Effects. Acta Physico-Chimica Sinica, 2024, 40(5): 2305029-0. doi: 10.3866/PKU.WHXB202305029
-
[12]
Xinhao Yan , Guoliang Hu , Ruixi Chen , Hongyu Liu , Qizhi Yao , Jiao Li , Lingling Li . Polyethylene Glycol-Ammonium Sulfate-Nitroso R Salt System for the Separation of Cobalt (II). University Chemistry, 2024, 39(6): 287-294. doi: 10.3866/PKU.DXHX202310073
-
[13]
Lirui Shen , Kun Liu , Ying Yang , Dongwan Li , Wengui Chang . Synthesis and Application of Decanedioic Acid-N-Hydroxysuccinimide Ester: Exploration of Teaching Reform in Comprehensive Applied Chemistry Experiment. University Chemistry, 2024, 39(8): 212-220. doi: 10.3866/PKU.DXHX202312035
-
[14]
Kexin Feng , Jie Zhang , Yujia Sun , Qiong Ai , Longchun Li . 乙酰二茂铁和二茂铁甲酰丙酮的合成、纯化及表征. University Chemistry, 2025, 40(8): 307-314. doi: 10.12461/PKU.DXHX202409045
-
[15]
Shiyi Chen , Jialong Fu , Jianping Qiu , Guoju Chang , Shiyou Hao . Waste medical mask-derived carbon quantum dots enhance the photocatalytic degradation of polyethylene terephthalate (PET) over BiOBr/g-C3N4 S-scheme heterojunction. Acta Physico-Chimica Sinica, 2026, 42(1): 100135-0. doi: 10.1016/j.actphy.2025.100135
-
[16]
Liangzhen Hu , Li Ni , Ziyi Liu , Xiaohui Zhang , Bo Qin , Yan Xiong . A Green Chemistry Experiment on Electrochemical Synthesis of Benzophenone. University Chemistry, 2024, 39(6): 350-356. doi: 10.3866/PKU.DXHX202312001
-
[17]
Liping GUO . Synthesis and crystal structure characterization of yttrium imido complex: The reactivity of 2-substituted-1-amino-o-carborane with yttrium dialkyl complex. Chinese Journal of Inorganic Chemistry, 2025, 41(7): 1409-1415. doi: 10.11862/CJIC.20250065
-
[18]
Yinuo Wang , Siran Wang , Yilong Zhao , Dazhen Xu . Selective Synthesis of Diarylmethyl Anilines and Triarylmethanes via Multicomponent Reactions: Introduce a Comprehensive Experiment of Organic Chemistry. University Chemistry, 2024, 39(8): 324-330. doi: 10.3866/PKU.DXHX202401063
-
[19]
Zhuoming Liang , Ming Chen , Zhiwen Zheng , Kai Chen . Multidimensional Studies on Ketone-Enol Tautomerism of 1,3-Diketones By 1H NMR. University Chemistry, 2024, 39(7): 361-367. doi: 10.3866/PKU.DXHX202311029
-
[20]
Yinwu Su , Xuanwen Zheng , Jianghui Du , Boda Li , Tao Wang , Zhiyan Huang . Green Synthesis of 1,3-Dibromoacetone Using Halogen Exchange Method: Recommending a Basic Organic Synthesis Teaching Experiment. University Chemistry, 2024, 39(5): 307-314. doi: 10.3866/PKU.DXHX202311092
-
[1]
Metrics
- PDF Downloads(20)
- Abstract views(1480)
- HTML views(273)
Login In
DownLoad: