Citation:
Ma Xiaoyan, Hu Xinjun. Recent Advances in Enantioselective Povarov Reaction with Enamides[J]. Chemistry,
;2018, 81(5): 409-413.
-
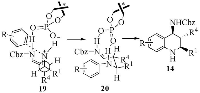
The nitrogen-activated C=C double bonds of enamides have considerable potential for use in the construction of various nitrogen-containing products, and organocatalyzed α, β-difunctionalization of nitrogen-activated double bonds proved to be an efficient and versatile concept, and allowed us to obtain a wide range of useful building blocks. The Povarov reaction with enamides, an extended method for vicinal difunctionalization, provides a straightforward and modular entry to 4-amino-1, 2, 3, 4-tetrahydroquinolines. Despite its importance, it was only very recently that several highly efficient catalytic asymmetric protocols for this reaction have been developed as summarized in this review.
-
-
- [1]
- [2]
- [3]
-
[4]
T Courant, G Dagousset, G Masson. Synthesis, 2015, 47(13):1799~1856.
- [5]
-
[6]
N Gigant, L Chausset-Boissarie, I Gillaizeau. Chem. Eur. J., 2014, 20(25):7548~7564.
-
[7]
M Fochi, L Caruana, L Bernardi. Synthesis, 2014, 46(2):135~157.
-
[8]
V A Glushkov, A G Tolstikov. Russ. Chem. Rev., 2008, 77(2):137~159.
- [9]
-
[10]
G Masson, C Lalli, M Benohoud et al. Chem. Soc. Rev., 2013, 42(3):902~923.
-
[11]
P D Leeson, R W Carling, K W Moore et al. J. Med. Chem., 1992, 35(11):1954~1968.
-
[12]
K M Witherup, R W Ransom, A C Graham et al. J. Am. Chem. Soc., 1995, 117(25):6682~6685.
-
[13]
Y Xia, Z Y Yang, P Xia et al. J. Med. Chem., 1998, 41(7):1155~1162.
-
[14]
R Di Fabio, E Tranquillini, B Bertani et al. Bioorg. Med. Chem. Lett., 2003, 13(21):3863~3866.
-
[15]
M Guinó, P H Phua, J C Caille et al. J. Org. Chem. 2007, 72(16):6290~6293.
-
[16]
H Liu, G Dagousset, G Masson et al. J. Am. Chem. Soc., 2009, 131(13):4598~4599.
-
[17]
C Wang, Z Y Han, H W Luo et al. Org. Lett., 2010, 12(10):2266~2269.
-
[18]
G Dagousset, J Zhu, G Masson et al. J. Am. Chem. Soc., 2011, 133(37):14804~14813.
-
[19]
G Dagousset, P Retailleau, G Masson et al. Chem. Eur. J., 2012, 18(19):5869~5873.
-
[20]
J H Lin, G Zong, R B Du et al. Chem. Commun., 2012, 48(62):7738~7740.
- [21]
-
[22]
J Brioche, T Courant, L Alcarez et al. Adv. Synth. Catal., 2014, 356(8):1719~1724.
-
[23]
H Xu, S J Zuend, M G Woll et al. Science, 2010, 327(5968):986~990.
-
[24]
C Min, N Mittal, D X Sun et al. Angew. Chem. Int. Ed., 2013, 52(52):14084~14088.
-
-
-
[1]
Renxiao Liang , Zhe Zhong , Zhangling Jin , Lijuan Shi , Yixia Jia . A Palladium/Chiral Phosphoric Acid Relay Catalysis for the One-Pot Three-Step Synthesis of Chiral Tetrahydroquinoline. University Chemistry, 2024, 39(5): 209-217. doi: 10.3866/PKU.DXHX202311024
-
[2]
Hong Lu , Yidie Zhai , Xingxing Cheng , Yujia Gao , Qing Wei , Hao Wei . Advancements and Expansions in the Proline-Catalyzed Asymmetric Aldol Reaction. University Chemistry, 2024, 39(5): 154-162. doi: 10.3866/PKU.DXHX202310074
-
[3]
Ke QIAO , Yanlin LI , Shengli HUANG , Guoyu YANG . Advancements in asymmetric catalysis employing chiral iridium (ruthenium) complexes. Chinese Journal of Inorganic Chemistry, 2024, 40(11): 2091-2104. doi: 10.11862/CJIC.20240265
-
[4]
Dan Liu . 可见光-有机小分子协同催化的不对称自由基反应研究进展. University Chemistry, 2025, 40(6): 118-128. doi: 10.12461/PKU.DXHX202408101
-
[5]
Tingyu Zhu , Hui Zhang , Wenwei Zhang . Exploration and Practice of Ideological and Political Education in the Course of Experiments on Chemical Functional Molecules: Synthesis and Catalytic Performance Study of Chiral Mn(III)Cl-Salen Complex. University Chemistry, 2024, 39(4): 75-80. doi: 10.3866/PKU.DXHX202311011
-
[6]
Weina Wang , Lixia Feng , Fengyi Liu , Wenliang Wang . Computational Chemistry Experiments in Facilitating the Study of Organic Reaction Mechanism: A Case Study of Electrophilic Addition of HCl to Asymmetric Alkenes. University Chemistry, 2025, 40(3): 206-214. doi: 10.12461/PKU.DXHX202407022
-
[7]
Qianwen Han , Tenglong Zhu , Qiuqiu Lü , Mahong Yu , Qin Zhong . Performance and Electrochemical Asymmetry Optimization of Hydrogen Electrode Supported Reversible Solid Oxide Cell. Acta Physico-Chimica Sinica, 2025, 41(1): 100005-0. doi: 10.3866/PKU.WHXB202309037
-
[8]
Danqing Wu , Jiajun Liu , Tianyu Li , Dazhen Xu , Zhiwei Miao . Research Progress on the Simultaneous Construction of C—O and C—X Bonds via 1,2-Difunctionalization of Olefins through Radical Pathways. University Chemistry, 2024, 39(11): 146-157. doi: 10.12461/PKU.DXHX202403087
-
[9]
Linjie ZHU , Xufeng LIU . Electrocatalytic hydrogen evolution performance of tetra-iron complexes with bridging diphosphine ligands. Chinese Journal of Inorganic Chemistry, 2025, 41(2): 321-328. doi: 10.11862/CJIC.20240207
-
[10]
Fugui XI , Du LI , Zhourui YAN , Hui WANG , Junyu XIANG , Zhiyun DONG . Functionalized zirconium metal-organic frameworks for the removal of tetracycline from water. Chinese Journal of Inorganic Chemistry, 2025, 41(4): 683-694. doi: 10.11862/CJIC.20240291
-
[11]
Xiaofeng Xia , Jielian Zhu . Innovative Comprehensive Experimental Design: Synthesis of 6-Fluoro-N-benzoyl Tetrahydroquinoline. University Chemistry, 2024, 39(10): 344-352. doi: 10.12461/PKU.DXHX202405063
-
[12]
Qi Zhang , Ziyu Liu , Hongxia Tan , Jun Tong , Dazhen Xu . Research Progress on Direct Synthesis of β-Hydroxy Sulfones via Difunctionalization of Olefins. University Chemistry, 2025, 40(11): 199-209. doi: 10.12461/PKU.DXHX202412064
-
[13]
Shiqian WEI , Xinyu TIAN , Hong LIU , Maoxia CHEN , Fan TANG , Qiang FAN , Weifeng FAN , Yu HU . Oxygen reduction reaction/oxygen evolution reaction catalytic performances of different active sites on nitrogen-doped graphene loaded with iron single atoms. Chinese Journal of Inorganic Chemistry, 2025, 41(9): 1776-1788. doi: 10.11862/CJIC.20250102
-
[14]
Hao Wu , Zhen Liu , Dachang Bai . 1H NMR Spectrum of Amide Compounds. University Chemistry, 2024, 39(3): 231-238. doi: 10.3866/PKU.DXHX202309020
-
[15]
Hailang JIA , Yujie LU , Pengcheng JI . Preparation and properties of nitrogen and phosphorus co-doped graphene carbon aerogel supported ruthenium electrocatalyst for hydrogen evolution reaction. Chinese Journal of Inorganic Chemistry, 2025, 41(11): 2327-2336. doi: 10.11862/CJIC.20250021
-
[16]
Huijuan Liao , Yulin Xiao , Dong Xue , Mingyu Yang , Jianyang Dong . Synthesis of 1-Benzyl Isoquinoline via the Minisci Reaction. University Chemistry, 2025, 40(7): 294-299. doi: 10.12461/PKU.DXHX202409092
-
[17]
Xueting Cao , Shuangshuang Cha , Ming Gong . Interfacial Electrical Double Layer in Electrocatalytic Reactions: Fundamentals, Characterizations and Applications. Acta Physico-Chimica Sinica, 2025, 41(5): 100041-0. doi: 10.1016/j.actphy.2024.100041
-
[18]
Yue Zhao , Yanfei Li , Tao Xiong . Copper Hydride-Catalyzed Nucleophilic Additions of Unsaturated Hydrocarbons to Aldehydes and Ketones. University Chemistry, 2024, 39(4): 280-285. doi: 10.3866/PKU.DXHX202309001
-
[19]
Haodong JIN , Qingqing LIU , Chaoyang SHI , Danyang WEI , Jie YU , Xuhui XU , Mingli XU . NiCu/ZnO heterostructure photothermal electrocatalyst for efficient hydrogen evolution reaction. Chinese Journal of Inorganic Chemistry, 2025, 41(6): 1068-1082. doi: 10.11862/CJIC.20250048
-
[20]
Rui Gao , Ying Zhou , Yifan Hu , Siyuan Chen , Shouhong Xu , Qianfu Luo , Wenqing Zhang . Design, Synthesis and Performance Experiment of Novel Photoswitchable Hybrid Tetraarylethenes. University Chemistry, 2024, 39(5): 125-133. doi: 10.3866/PKU.DXHX202310050
-
[1]
Metrics
- PDF Downloads(40)
- Abstract views(2149)
- HTML views(603)
Login In
DownLoad: