Citation: TIAN Ren, WANG Shi-yao, LIAN Chen-shuai, WU Xu, AN Xia, XIE Xian-mei. Synthesis of the hierarchical Fe-substituted porous HBeta zeolite and the exploration of its catalytic performance[J]. Journal of Fuel Chemistry and Technology, ;2019, 47(12): 1476-1485. shu

Synthesis of the hierarchical Fe-substituted porous HBeta zeolite and the exploration of its catalytic performance

  • Corresponding author: XIE Xian-mei, xxmtougao@sina.com
  • Received Date: 9 September 2019
    Revised Date: 25 October 2019

    Fund Project: the National Natural Science Foundation of China 51541210The project was supported by the National Natural Science Foundation of China (51541210), Natural Science Foundation of Shanxi Province(201701D121042)Natural Science Foundation of Shanxi Province 201701D121042

Figures(14)

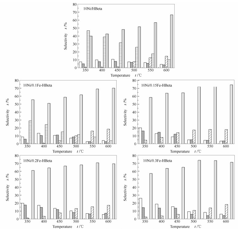
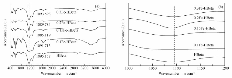
  • A series of hierarchical isomorphically Fe-substituted porous beta zeolites (BEAs) was synthesised in a one-step process via soft-template approach (nFe-HBeta, n=Fe/Al) and a series of Ni-based catalysts (10Ni/nFe-HBeta) was prepared by equal volume impregnation. The results showed that the nFe-HBeta zeolites possessed a sheet-like structure with a high crystallinity and numerous porous channels. The introduction of the heterogeneous iron atoms could reduce the degree of order of the mesoporous phase and decrease the size of the zeolite particles and the number of moderate and strong acidic sites. For the 10Ni/nFe-HBeta catalyst, a synergistic effect existed between the framework iron and NiO species, which could enhance the interaction between the active Ni and HBeta support, increase the dispersion of the active metal Ni, and reduce the NiO particle size. In the ethanol steam reforming (ESR) reaction, Fe introduction could inhibit the ethanol dehydration reaction through the shielding of acidic sites and could promote the steam reforming reaction of CO and CH4, effectively improving the H2 selectivity. Among the Fe-containing catalysts, 10Ni/0.15Fe-HBeta showed a H2 selectivity of up to 72.15% and an ethanol conversion rate of 99.6% at 500 ℃, while the amount of coke deposition was only 4.3% after a 12 h reaction.
  • 加载中
    1. [1]

      LI D, ZENG L, LI X Y, WANG X, MA H Y, ASSABUMRUNGRAT S, GONG J L. Ceria-promoted Ni/SBA-15 catalysts for ethanol steam reforming with enhanced activity and resistance to deactivation[J]. Appl Catal B:Environ, 2015,176:532-541.  

    2. [2]

      VIZCAÍNO A J, CARRERO A, CALLES J A. Comparison of ethanol steam reforming using Co and Ni catalysts supported on SBA-15 modified by Ca and Mg[J]. Fuel Process Technol, 2016,146:99-109. doi: 10.1016/j.fuproc.2016.02.020

    3. [3]

      LI Bao-ru, YIN Xue-mei, WU Xu, AN Xia, XIE Xian-mei. Study on hydrogen production by steam reforming of ethanol over Ni-Fe/montmorillonite catalyst[J]. J Fuel Chem Technol, 2016,44(8):993-1000. doi: 10.3969/j.issn.0253-2409.2016.08.014 

    4. [4]

      GOICOECHEA S, KRALEVA E, SOKOLOV S, SCHNEIDER M, POHL M, KOCKMANN N, EHRICH H. Support effect on structure and performance of Co and Ni catalysts for steam reforming of acetic acid[J]. Appl Catal A:Gen, 2016,514:182-191. doi: 10.1016/j.apcata.2015.12.025

    5. [5]

      BILAL M, JACKSON S D. Ethanol steam reforming over Pt/Al2O3 and Rh/Al2O3 catalysts:The effect of impurities on selectivity and catalyst deactivation[J]. Appl Catal A:Gen, 2017,529:98-107. doi: 10.1016/j.apcata.2016.10.020

    6. [6]

      WANG Y J, YANG X X, WANG Y H. Catalytic performance of mesoporous MgO supported Ni catalyst in steam reforming of model compounds of biomass fermentation for hydrogen production[J]. In J Hydrogen Energy, 2016,41(40):17846-17857. doi: 10.1016/j.ijhydene.2016.07.258

    7. [7]

      LIU B Y, ZHENG L M, ZHU Z H, LI C, XI H X, QIAN Y. Hierarchically structured Beta zeolites with intercrystal mesopores and the improved catalytic properties[J]. Appl Catal A:Gen, 2014,470:412-419. doi: 10.1016/j.apcata.2013.11.015

    8. [8]

      LIU B Y, DUAN Q Q, LI C, ZHU Z H, XI H X, QIAN Y. Template synthesis of the hierarchically structured MFI zeolite with nanosheet frameworks and tailored structure[J]. New J Chem, 2014,38(9):4380-4387. doi: 10.1039/C4NJ00756E

    9. [9]

      LIU H, ZHANG S, XIE S J, ZHANG W S, XIN W J, LIU S L, XU L Y. Synthesis, characterization, and catalytic performance of hierarchical ZSM-11 zeolite synthesized via dual-template route[J]. Chin J Catal, 2018,39(1):167-180. doi: 10.1016/S1872-2067(17)62984-X

    10. [10]

      ZHANG X F, ZHANG K, ZHANG X G, FENG Y, YAO J F. Controlled synthesis of hierarchical beta zeolite through design template to enhance gas-phase beckmann rearrangement performance[J]. Microporous Mesoporous Mater, 2018,272:202-208. doi: 10.1016/j.micromeso.2018.06.034

    11. [11]

      PARLETT C M A, AYDIN A, DURNDELL L J, FRATTINI L, ISAACS M A, LEE A F, LIU X T, OLIVI L, TROFIMOVAITE R, WILSON K, WU C F. Tailored mesoporous silica supports for Ni catalysed hydrogen production from ethanol steam reforming[J]. Catal Commun, 2017,91:76-79. doi: 10.1016/j.catcom.2016.12.021

    12. [12]

      HOU T F, ZHANG S Y, CHEN Y D, WANG D Z, CAI W J. Hydrogen production from ethanol reforming:Catalysts and reaction mechanism[J]. Renewable Sustainable Energy Rev, 2015,44:132-148. doi: 10.1016/j.rser.2014.12.023

    13. [13]

      WANG S Y, HE B, TIAN R, SUN C, DAI R, LI X, WU X, AN X, XIE X M. Ni-hierarchical beta zeolite catalysts were applied to ethanol steam reforming:Effect of sol gel method on loading Ni and the role of hierarchical structure[J]. Mol Catal, 2018,453:64-73. doi: 10.1016/j.mcat.2018.04.034

    14. [14]

      KUMAR N, LINDFORS L E, BYGGNINGSBACKA R. Synthesis and characterization of H-ZSM-22, Zn-H-ZSM-22 and Ga-H-ZSM-22 zeolite catalysts and their catalytic activity in the aromatization of n-butane[J]. Appl Catal A:Gen, 1996,139(1/2):189-199.  

    15. [15]

      BAECK S H, LEE W Y. Skeletal isomerization of 1-butene to isobutene over Mg-ZSM-22[J]. Appl Catal A:Gen, 1997,164(1/2):291-301.  

    16. [16]

      XIAO Zhi-wen, HE Hong-yun. Synthesis, characterization and catalytic performance of double heteroatom Fe-V-β zeolite[J]. Chin J Catal, 2010,31(6):705-710.  

    17. [17]

      SONG S, WU G J, DAI W L, GUAN N J, LI L D. Al-free Fe-beta as a robust catalyst for selective reduction of nitric oxide by ammonia[J]. Catal Sci Technol, 2016,6(23):8325-8335. doi: 10.1039/C6CY02124G

    18. [18]

      ZHANG Y H, GAO F, WAN H Q, WU C, KONG Y, WU X C, ZHAO B, DONG L, CHEN Y. Synthesis, characterization of bimetallic Ce-Fe-SBA-15 and its catalytic performance in the phenol hydroxylation[J]. Microporous Mesoporous Mater, 2008,113(1/3):393-401.  

    19. [19]

      SIG K Y, AHN W S. Isomorphous substitution of Fe3- in zeolite LTL[J]. Microporous Mater, 1997,9(3/4):131-140.

    20. [20]

      INUI T, MATSUDA H, YAMASE O, NAGATA H, FUKUDA K, UKAWA T, MIYAMOTO A. Highly selective synthesis of light olefins from methanol on a novel Fe-silicate[J]. J Catal, 1986,98(2):491-501.  

    21. [21]

      LIU S Y, REN J, ZHU S J, ZHANG H K, LV E, XU J, LI Y F. Synthesis and characterization of the Fe-substituted ZSM-22 zeolite catalyst with high n-dodecane isomerization performance[J]. J Catal, 2015,330:485-496. doi: 10.1016/j.jcat.2015.07.027

    22. [22]

      JIANG X, SU X F, BAI X F, LI Y Z, YANG L, ZHANG K, ZHANG Y, LIU Y, WU W. Conversion of methanol to light olefins over nanosized[Fe, Al] ZSM-5 zeolites:Influence of Fe incorporated into the framework on the acidity and catalytic performance[J]. Microporous Mesoporous Mater, 2018,263:243-250. doi: 10.1016/j.micromeso.2017.12.029

    23. [23]

      KOEKKOEK A J J, XIN H C, YANG Q H, LI C, HENSEN E J M. Hierarchically structured Fe/ZSM-5 as catalysts for the oxidation of benzene to phenol[J]. Microporous Mesoporous Mater, 2011,145(1/3):172-181.  

    24. [24]

      YUE Y Y, LIU H Y, YUAN P, YU C Z, BAO X J. One-pot synthesis of hierarchical FeZSM-5 zeolites from natural aluminosilicates for selective catalytic reduction of NO by NH3[J]. Sci Rep-UK, 2015,59270. doi: 10.1038/srep09270

    25. [25]

      LI J Q, MIAO P J, LI Z, HE T, HAN D Z, WU J L, WANG Z Q, WU J H. Hydrothermal synthesis of nanocrystalline H[Fe, Al] ZSM-5 zeolites for conversion of methanol to gasoline[J]. Energy Convers Manage, 2015,93:259-266. doi: 10.1016/j.enconman.2015.01.031

    26. [26]

      SUN Hui-yong, WU Dong. Synthesis and characterization of Heteroatom Fe-ZSM-5 molecular sieve[J]. J Fuel Chem Technol, 1999,27(1):7-10.  

    27. [27]

      NICHELE V, SIGNORETTO M, PINNA F, GHEDINI E, COMPAGNONI M, ROSSETTI I, CRUCIANI G, MICHELE A D. Bimetallic Ni-Cu catalysts for the low-temperature ethanol steam reforming:Importance of metal-support interactions[J]. Catal Lett, 2015,145(2):549-558.

  • 加载中
    1. [1]

      Dan Li Hui Xin Xiaofeng Yi . Comprehensive Experimental Design on Ni-based Catalyst for Biofuel Production. University Chemistry, 2024, 39(8): 204-211. doi: 10.3866/PKU.DXHX202312046

    2. [2]

      Xue LiuLipeng WangLuling LiKai WangWenju LiuBiao HuDaofan CaoFenghao JiangJunguo LiKe Liu . Research on Cu-Based and Pt-Based Catalysts for Hydrogen Production through Methanol Steam Reforming. Acta Physico-Chimica Sinica, 2025, 41(5): 100049-0. doi: 10.1016/j.actphy.2025.100049

    3. [3]

      Yi RUTao MENGZhaoteng XUEDongsen MAO . Synergistic catalysis of Al distribution and pore structure in ZSM-5 zeolite for bioethanol-to-propylene. Chinese Journal of Inorganic Chemistry, 2026, 42(2): 247-262. doi: 10.11862/CJIC.20250255

    4. [4]

      Qinhui GuanYuhao GuoNa LiJing LiTingjiang Yan . Molecular sieve-mediated indium oxide catalysts for enhancing photocatalytic CO2 hydrogenation. Acta Physico-Chimica Sinica, 2025, 41(11): 100133-0. doi: 10.1016/j.actphy.2025.100133

    5. [5]

      Yiping HUANGLiqin TANGYufan JICheng CHENShuangtao LIJingjing HUANGXuechao GAOXuehong GU . Hollow fiber NaA zeolite membrane for deep dehydration of ethanol solvent by vapor permeation. Chinese Journal of Inorganic Chemistry, 2025, 41(2): 225-234. doi: 10.11862/CJIC.20240224

    6. [6]

      Yuhao SUNQingzhe DONGLei ZHAOXiaodan JIANGHailing GUOXianglong MENGYongmei GUO . Synthesis and antibacterial properties of silver-loaded sod-based zeolite. Chinese Journal of Inorganic Chemistry, 2024, 40(4): 761-770. doi: 10.11862/CJIC.20230169

    7. [7]

      Yufang GAONan HOUYaning LIANGNing LIYanting ZHANGZelong LIXiaofeng LI . Nano-thin layer MCM-22 zeolite: Synthesis and catalytic properties of trimethylbenzene isomerization reaction. Chinese Journal of Inorganic Chemistry, 2024, 40(6): 1079-1087. doi: 10.11862/CJIC.20240036

    8. [8]

      Lele FengXueying BaiJifeng PangHongchen CaoXiaoyan LiuWenhao LuoXiaofeng YangPengfei WuMingyuan Zheng . Single-atom Pd boosted Cu catalysts for ethanol dehydrogenation. Acta Physico-Chimica Sinica, 2025, 41(9): 100100-0. doi: 10.1016/j.actphy.2025.100100

    9. [9]

      Jiali CHENGuoxiang ZHAOYayu YANWanting XIAQiaohong LIJian ZHANG . Machine learning exploring the adsorption of electronic gases on zeolite molecular sieves. Chinese Journal of Inorganic Chemistry, 2025, 41(1): 155-164. doi: 10.11862/CJIC.20240408

    10. [10]

      Pei LiYuenan ZhengZhankai LiuAn-Hui Lu . Boron-Containing MFI Zeolite: Microstructure Control and Its Performance of Propane Oxidative Dehydrogenation. Acta Physico-Chimica Sinica, 2025, 41(4): 100034-0. doi: 10.3866/PKU.WHXB202406012

    11. [11]

      Xichen YAOShuxian WANGYun WANGCheng WANGChuang ZHANG . Oxygen reduction performance of self?supported Fe/N/C three-dimensional aerogel catalyst layers. Chinese Journal of Inorganic Chemistry, 2025, 41(7): 1387-1396. doi: 10.11862/CJIC.20240384

    12. [12]

      Xuejie WangGuoqing CuiCongkai WangYang YangGuiyuan JiangChunming Xu . Research Progress on Carbon-based Catalysts for Catalytic Dehydrogenation of Liquid Organic Hydrogen Carriers. Acta Physico-Chimica Sinica, 2025, 41(5): 100044-0. doi: 10.1016/j.actphy.2024.100044

    13. [13]

      Shanghua LiMalin LiXiwen ChiXin YinZhaodi LuoJihong Yu . High-Stable Aqueous Zinc Metal Anodes Enabled by an Oriented ZnQ Zeolite Protective Layer with Facile Ion Migration Kinetics. Acta Physico-Chimica Sinica, 2025, 41(1): 100003-0. doi: 10.3866/PKU.WHXB202309003

    14. [14]

      Huiwei DingBo PengZhihao WangQiaofeng Han . Advances in Metal or Nonmetal Modification of Bismuth-Based Photocatalysts. Acta Physico-Chimica Sinica, 2024, 40(4): 2305048-0. doi: 10.3866/PKU.WHXB202305048

    15. [15]

      Yushan CaiFang-Xing Xiao . Revisiting MXenes-based Photocatalysis Landscape: Progress, Challenges, and Future Perspectives. Acta Physico-Chimica Sinica, 2024, 40(8): 2306048-0. doi: 10.3866/PKU.WHXB202306048

    16. [16]

      Yuanyin CuiJinfeng ZhangHailiang ChuLixian SunKai Dai . Rational Design of Bismuth Based Photocatalysts for Solar Energy Conversion. Acta Physico-Chimica Sinica, 2024, 40(12): 2405016-0. doi: 10.3866/PKU.WHXB202405016

    17. [17]

      Yuchen ZhouHuanmin LiuHongxing LiXinyu SongYonghua TangPeng Zhou . Designing thermodynamically stable noble metal single-atom photocatalysts for highly efficient non-oxidative conversion of ethanol into high-purity hydrogen and value-added acetaldehyde. Acta Physico-Chimica Sinica, 2025, 41(6): 100067-0. doi: 10.1016/j.actphy.2025.100067

    18. [18]

      Qing LiGuangxun ZhangYuxia XuYangyang SunHuan Pang . P-Regulated Hierarchical Structure Ni2P Assemblies toward Efficient Electrochemical Urea Oxidation. Acta Physico-Chimica Sinica, 2024, 40(9): 2308045-0. doi: 10.3866/PKU.WHXB202308045

    19. [19]

      Wen YANGDidi WANGZiyi HUANGYaping ZHOUYanyan FENG . La promoted hydrotalcite derived Ni-based catalysts: In situ preparation and CO2 methanation performance. Chinese Journal of Inorganic Chemistry, 2024, 40(3): 561-570. doi: 10.11862/CJIC.20230276

    20. [20]

      Zhiquan ZhangBaker RhimiZheyang LiuMin ZhouGuowei DengWei WeiLiang MaoHuaming LiZhifeng Jiang . Insights into the Development of Copper-Based Photocatalysts for CO2 Conversion. Acta Physico-Chimica Sinica, 2024, 40(12): 2406029-0. doi: 10.3866/PKU.WHXB202406029

Metrics
  • PDF Downloads(20)
  • Abstract views(1659)
  • HTML views(241)

通讯作者: 陈斌, bchen63@163.com
  • 1. 

    沈阳化工大学材料科学与工程学院 沈阳 110142

  1. 本站搜索
  2. 百度学术搜索
  3. 万方数据库搜索
  4. CNKI搜索
Address:Zhongguancun North First Street 2,100190 Beijing, PR China Tel: +86-010-82449177-888
Powered By info@rhhz.net

/

DownLoad:  Full-Size Img  PowerPoint
Return