Citation: WANG Bing, GUO Cong-xiu, WANG Ying-yong, JIN Guo-qiang, GUO Xiang-yun. Performance of Ni-Smx/SiC catalysts for CO2 reforming of CH4[J]. Journal of Fuel Chemistry and Technology, ;2016, 44(5): 587-596. shu

Performance of Ni-Smx/SiC catalysts for CO2 reforming of CH4

  • Corresponding author: JIN Guo-qiang, gqjin@sxicc.ac.cn
  • Received Date: 17 November 2015
    Revised Date: 1 February 2016

    Fund Project: the Major State Basic Research Development Program of China 2011CB201405the Major State Basic Research Development Program of China 973 program

Figures(10)

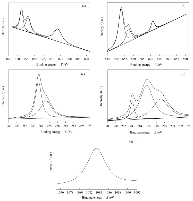
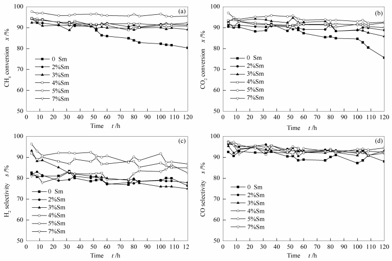
  • Ni-Smx/SiC (x=0, 2%, 3%, 4%, 5%, 7%) catalysts were prepared by impregnation method, and the performance of catalysts for carbon dioxide reforming of methane were tested in a fixed bed reactor. The catalysts were characterized by BET, ICP, XRD, H2-TPR, TG-DTA, XPS and TEM. The results showed that Ni-Sm5/SiC had excellent catalytic activity and stability, and the least amount of coke deposition. The addition of samarium effectively enhanced the interaction of metal active component and support, and reduced the formation of coke and therefore improved the catalyst stability.
  • 加载中
    1. [1]

      WANG Li, AO Xian-quan, WANG Shi-han. Catalysts for carbon dioxide catalytic reforming of methane to synthesis gas[J]. Prog Chem, 2012,24(9):1696-1706.  

    2. [2]

      YANG R Q, XING C, LV C X, SHI L, TSUBAKI N. Promotional effect of La2O3 and CeO2 on Ni/gamma-Al2O3 catalysts for CO2 reforming of CH4[J]. Appl Catal A: Gen, 2010,385(1/2):92-100.  

    3. [3]

      AMIN M H, MANTRI K, NEWNHAM J, TARDIO J. Highly stable ytterbium promoted Ni/gamma-Al2O3 catalysts for carbon dioxide reforming of methane[J]. Appl Catal B: Environ, 2012,119:217-226.  

    4. [4]

      GUO J J, LOU H, ZHAO H, CHAI D F, ZHENG X M. Dry reforming of methane over nickel catalysts supported on magnesium aluminate spinels[J]. Appl Catal A: Gen, 2004,273(1/2):75-82.  

    5. [5]

      SARKAR B, TIWARI R, SINGHA R K, SUMAN S, GHOSH S, ACHARYYA S S, MANTRI K, KONATHALA L N S, PENDEM C, BAL R. Reforming of methane with CO2 over Ni nanoparticle supported on mesoporous ZSM-5[J]. Catal Today, 2012,198(1):209-214. doi: 10.1016/j.cattod.2012.04.029

    6. [6]

      ZHANG Z L, VERYKIOS X E, MACDONALD S M, AFFROSSMAN S. Comparative study of carbon dioxide reforming of methane to synthesis gas over Ni/La2O3 and conventional nickel-based catalysts[J]. J Phys Chem, 1996,100:744-754. doi: 10.1021/jp951809e

    7. [7]

      SUN W Z, JIN G Q, GUO X Y. Partial oxidation of methane to syngas over Ni/SiC catalysts[J]. Catal Commun, 2005,6(2):135-139. doi: 10.1016/j.catcom.2004.11.013

    8. [8]

      LIU H T, LI S Q, ZHANG S B, WANG J M, ZHOU G J, CHEN L, WANG X L. Catalytic performance of novel Ni catalysts supported on SiC monolithic foam in carbon dioxide reforming of methane to synthesis gas[J]. Catal Commun, 2008,9(1):51-54. doi: 10.1016/j.catcom.2007.05.002

    9. [9]

      WANG Q, SUN W Z, JIN G Q, WANG Y Y, GUO X Y. Biomorphic SiC pellets as catalyst support for partial oxidation of methane to syngas[J]. Appl Catal B: Environ, 2008,79(4):307-312. doi: 10.1016/j.apcatb.2007.10.032

    10. [10]

      ZHANG W D, LIU B S, ZHAN Y P, TIAN T L. Syngas production via CO2 reforming of methane over Sm2O3-La2O3-supported Ni catalyst[J]. Ind Eng Chem Res, 2009,48:7498-7504. doi: 10.1021/ie9001298

    11. [11]

      GUO Peng-fei, JIN Guo-qiang, GUO Chong-xiu, WANG Ying-yong, TONG Xi-li, GUO Xiang-yun. Effect of Yb2O3 promotor on the performance of Ni/SiC catalysts in CO2 reforming of CH4[J]. J Fuel Chem Technol, 2014,42(6):719-726. doi: 10.1016/S1872-5813(14)60033-5 

    12. [12]

      ZHI G J, GUO X N, WANG Y Y, GUO X Y. Effect of La2O3 modification on the catalytic performance of Ni/SiC for methanation of carbon dioxide[J]. Catal Commun, 2011,16(1):56-59. doi: 10.1016/j.catcom.2011.08.037

    13. [13]

      ZHANG W D, LIU B S, TIAN Y L. CO2 reforming of methane over Ni/Sm2O3-CaO catalyst prepared by a sol-gel technique[J]. Catal Commun, 2007,8(4):661-667. doi: 10.1016/j.catcom.2006.08.020

    14. [14]

      JIN G Q, GUO X Y. Synthesis and characterization of mesoporous silicon carbide[J]. Microporous Mesoporous Mater, 2003,60(1/3):207-212.  

    15. [15]

      FANG L, HUANG X P, VIDAL-IGLESIAS F J, LIU Y P, WANG X L. Preparation, characterization and catalytic performance of a novel Pt/SiC[J]. Electrochem Commun, 2011,13(12):1309-1312. doi: 10.1016/j.elecom.2011.07.023

    16. [16]

      GUO J Z, HOU X Y, GAO J, ZHENG X M. Syngas production via combined oxy-CO2 reforming of methane over Gd2O3-modified Ni/SiO2 catalysts in a fluidized-bed reactor[J]. Fuel, 2008,87(7):1348-1354. doi: 10.1016/j.fuel.2007.06.018

    17. [17]

      LIU B S, AU C Y. Carbon deposition and catalyst stability over La2NiO4/γ-Al2O3 during CO2 reforming of methane to syngas[J]. Appl Catal A: Gen, 2003,244(1):181-195. doi: 10.1016/S0926-860X(02)00591-4

    18. [18]

      YU M J, ZHU K, XIAO H P, DENG W, ZHOU X G. Carbon dioxide reforming of methane over promoted NixMg1-xO (111) platelet catalyst derived from solvothermal synthesis[J]. Appl Catal B: Enviorn, 2014,148-149:177-190. doi: 10.1016/j.apcatb.2013.10.046

    19. [19]

      STAMATIN S N, SPEDER J, DHIMAN R, ARENZ M, SKOU E S. Electrochemical stability and postmortem studies of Pt/SiC catalysts for polymer electrolyte membrane fuel cells[J]. Acs Appl Mater Interfaces, 2015,7(11):6153-6161. doi: 10.1021/am508982d

    20. [20]

      LI J F, XIA C, AU C T, LIU B S. Y2O3-promoted NiO/SBA-15 catalysts highly active for CO2/CH4 reforming[J]. Int J Hydrogen Energy, 2014,39(21):10927-10940. doi: 10.1016/j.ijhydene.2014.05.021

    21. [21]

      GÓMEZ-SAINERO L M, BAKER R T, METCALFE I S, SAHIBZADA M, LOPEZ-NIETO J M. Investigation of Sm2O3-CeO2-supported palladium catalysts for the reforming of methanol: The role of the support[J]. Appl Catal A: Gen, 2005,294(2):177-187. doi: 10.1016/j.apcata.2005.07.022

  • 加载中
    1. [1]

      Jiaxi Xu Yuan Ma . Influence of Hyperconjugation on the Stability and Stable Conformation of Ethane, Hydrazine, and Hydrogen Peroxide. University Chemistry, 2024, 39(11): 374-377. doi: 10.3866/PKU.DXHX202402049

    2. [2]

      Wang WangYucheng LiuShengli Chen . Use of NiFe Layered Double Hydroxide as Electrocatalyst in Oxygen Evolution Reaction: Catalytic Mechanisms, Electrode Design, and Durability. Acta Physico-Chimica Sinica, 2024, 40(2): 2303059-0. doi: 10.3866/PKU.WHXB202303059

    3. [3]

      Hailian TangSiyuan ChenQiaoyun LiuGuoyi BaiBotao QiaoLiu Fei . Stabilized Rh/hydroxyapatite Catalyst for Furfuryl Alcohol Hydrogenation: Application of Oxidative Strong Metal-Support Interactions in Reducing Conditions. Acta Physico-Chimica Sinica, 2025, 41(4): 100036-0. doi: 10.3866/PKU.WHXB202408004

    4. [4]

      Shitao Fu Jianming Zhang Cancan Cao Zhihui Wang Chaoran Qin Jian Zhang Hui Xiong . Study on the Stability of Purple Cabbage Pigment. University Chemistry, 2024, 39(4): 367-372. doi: 10.3866/PKU.DXHX202401059

    5. [5]

      Mingxuan QiLanyu JinHonghe YaoZipeng XuTeng ChengQi ChenCheng ZhuYang Bai . Recent progress on electrical failure and stability of perovskite solar cells under reverse bias. Acta Physico-Chimica Sinica, 2025, 41(8): 100088-0. doi: 10.1016/j.actphy.2025.100088

    6. [6]

      Bo YANGGongxuan LÜJiantai MA . Corrosion inhibition of nickel-cobalt-phosphide in water by coating TiO2 layer. Chinese Journal of Inorganic Chemistry, 2025, 41(2): 365-384. doi: 10.11862/CJIC.20240063

    7. [7]

      Yihan XueXue HanJie ZhangXiaoru Wen . NCQDs修饰FeOOH基复合材料的制备及其电容脱盐性能. Acta Physico-Chimica Sinica, 2025, 41(7): 100072-0. doi: 10.1016/j.actphy.2025.100072

    8. [8]

      Meng-Yin WangRuo-Bei HuangJian-Feng XiongJing-Hua TianJian-Feng LiZhong-Qun Tian . Critical Role and Recent Development of Separator in Zinc-Air Batteries. Acta Physico-Chimica Sinica, 2024, 40(6): 2307017-0. doi: 10.3866/PKU.WHXB202307017

    9. [9]

      Xuechen HuQiuying XiaFan YueXinyi HeZhenghao MeiJinshi WangHui XiaXiaodong Huang . Electrochemical Characteristics of LiNbO3 Anode Film and Its Applications in All-Solid-State Thin-Film Lithium-Ion Battery. Acta Physico-Chimica Sinica, 2024, 40(2): 2309046-0. doi: 10.3866/PKU.WHXB202309046

    10. [10]

      Qiang ZhangYuanbiao HuangRong Cao . Imidazolium-Based Materials for CO2 Electroreduction. Acta Physico-Chimica Sinica, 2024, 40(4): 2306040-0. doi: 10.3866/PKU.WHXB202306040

    11. [11]

      Yanhui GuoLi WeiZhonglin WenChaorong QiHuanfeng Jiang . Recent Progress on Conversion of Carbon Dioxide into Carbamates. Acta Physico-Chimica Sinica, 2024, 40(4): 2307004-0. doi: 10.3866/PKU.WHXB202307004

    12. [12]

      Zhiquan ZhangBaker RhimiZheyang LiuMin ZhouGuowei DengWei WeiLiang MaoHuaming LiZhifeng Jiang . Insights into the Development of Copper-Based Photocatalysts for CO2 Conversion. Acta Physico-Chimica Sinica, 2024, 40(12): 2406029-0. doi: 10.3866/PKU.WHXB202406029

    13. [13]

      Renqing Lü Shutao Wang Fang Wang Guoping Shen . Computational Chemistry Aided Organic Chemistry Teaching: A Case of Comparison of Basicity and Stability of Diazine Isomers. University Chemistry, 2025, 40(3): 76-82. doi: 10.12461/PKU.DXHX202404119

    14. [14]

      Wentao XuXuyan MoYang ZhouZuxian WengKunling MoYanhua WuXinlin JiangDan LiTangqi LanHuan WenFuqin ZhengYoujun FanWei Chen . Bimetal Leaching Induced Reconstruction of Water Oxidation Electrocatalyst for Enhanced Activity and Stability. Acta Physico-Chimica Sinica, 2024, 40(8): 2308003-0. doi: 10.3866/PKU.WHXB202308003

    15. [15]

      Bing WEIJianfan ZHANGZhe CHEN . Research progress in fine tuning of bimetallic nanocatalysts for electrocatalytic carbon dioxide reduction. Chinese Journal of Inorganic Chemistry, 2025, 41(3): 425-439. doi: 10.11862/CJIC.20240201

    16. [16]

      Jianan HongChenyu XuYan LiuChangqi LiMenglin WangYanwei Zhang . Decoding the interfacial competition between hydrogen evolution and CO2 reduction via edge-active-site modulation in photothermal catalysis. Acta Physico-Chimica Sinica, 2025, 41(9): 100099-0. doi: 10.1016/j.actphy.2025.100099

    17. [17]

      Bizhu ShaoHuijun DongYunnan GongJianhua MeiFengshi CaiJinbiao LiuDichang ZhongTongbu Lu . Metal-Organic Framework-Derived Nickel Nanoparticles for Efficient CO2 Electroreduction in Wide Potential Windows. Acta Physico-Chimica Sinica, 2024, 40(4): 2305026-0. doi: 10.3866/PKU.WHXB202305026

    18. [18]

      Yan KongWei WeiLekai XuChen Chen . Electrochemical Synthesis of Organonitrogen Compounds from N-integrated CO2 Reduction Reaction. Acta Physico-Chimica Sinica, 2024, 40(8): 2307049-0. doi: 10.3866/PKU.WHXB202307049

    19. [19]

      Xiaofei LiuHe WangLi TaoWeimin RenXiaobing LuWenzhen Zhang . Electrocarboxylation of Benzylic Phosphates and Phosphinates with Carbon Dioxide. Acta Physico-Chimica Sinica, 2024, 40(9): 2307008-0. doi: 10.3866/PKU.WHXB202307008

    20. [20]

      Jiayin Hu Yafei Guo Long Li Tianlong Deng . Teaching Innovation of Salt-Water System Phase Diagrams under the “Dual Carbon” Background: Introducing the Pressurized CO2 Carbonization Phase Equilibria. University Chemistry, 2025, 40(11): 31-36. doi: 10.12461/PKU.DXHX202412031

Metrics
  • PDF Downloads(2)
  • Abstract views(2762)
  • HTML views(224)

通讯作者: 陈斌, bchen63@163.com
  • 1. 

    沈阳化工大学材料科学与工程学院 沈阳 110142

  1. 本站搜索
  2. 百度学术搜索
  3. 万方数据库搜索
  4. CNKI搜索
Address:Zhongguancun North First Street 2,100190 Beijing, PR China Tel: +86-010-82449177-888
Powered By info@rhhz.net

/

DownLoad:  Full-Size Img  PowerPoint
Return