Citation: Shan Guangcheng, Pan Yumei, Chen Zhijuan, Gu Bei, Shen Jian, Wu shishan, Chen Qiang. Preparation of Zwitterionic Polymer and Its Effect on Enzyme Activity[J]. Chemistry, ;2017, 80(7): 688-691. shu

Preparation of Zwitterionic Polymer and Its Effect on Enzyme Activity

  • Corresponding author: Chen Qiang, chem100@nju.edu.cn
  • Received Date: 29 December 2016
    Accepted Date: 20 February 2017

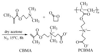
Figures(4)

Metrics
  • PDF Downloads(32)
  • Abstract views(3156)
  • HTML views(1402)

通讯作者: 陈斌, bchen63@163.com
  • 1. 

    沈阳化工大学材料科学与工程学院 沈阳 110142

  1. 本站搜索
  2. 百度学术搜索
  3. 万方数据库搜索
  4. CNKI搜索
Address:Zhongguancun North First Street 2,100190 Beijing, PR China Tel: +86-010-82449177-888
Powered By info@rhhz.net

/

DownLoad:  Full-Size Img  PowerPoint
Return