Citation: CAO Zhong-yang, HUANG Xing-liang, GONG Yan, ZI Qin, DAI Xiao-ping, PENG Wen-yu, GAO Yue. A comparison of different zeolites in their catalytic performance in the skeletal isomerization of 1-hexene[J]. Journal of Fuel Chemistry and Technology, ;2018, 46(7): 848-855. shu

A comparison of different zeolites in their catalytic performance in the skeletal isomerization of 1-hexene

  • Corresponding author: HUANG Xing-liang, xlhuang@cpu.edu.cn
  • Received Date: 4 January 2018
    Accepted Date: 4 April 2018

    Fund Project: The project was supported by the National Natural Science Foundation of China (21576288)the National Natural Science Foundation of China 21576288

Figures(7)

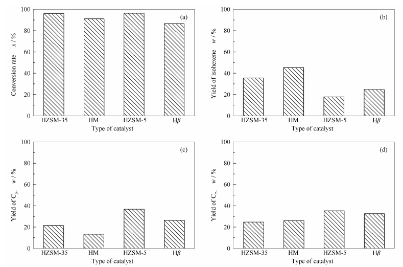
  • HZSM-35, HZSM-5, HM and Hβ zeolites were used as the catalysts for the skeletal isomerization of 1-hexene; the relationship between their catalytic performance and physicochemical properties was investigated. The results show that in comparison with HZSM-5 and Hβ, HZSM-35 and HM are provided with suitable acid amount and effective pore size between 0.4-0.6 nm, without bug hole and cross channel; as a result, the later two zeolites exhibit better shape selectivity. With a high conversion of 1-hexene (> 95%), the by-products such as C5- and C7+ in the products are about 20% and the yield of iso-hexene reaches 40%-50%. After the acid-base modification treatment, a slight change in the acidity is observed; however, the catalytic performance of one-dimensional HZSM-35 and HM zeolites in pore isomerization is still much better than that of HZSM-5 and Hβ zeolites with multidimensional pore structure, suggesting that the pore structure plays a key role in the isomerization reaction.
  • 加载中
    1. [1]

      WO Wen-ying. Development and utilization of pure isobutylene[J]. Contemp Chem Ind, 2001,30(1):21-24.  

    2. [2]

      JIN Shan. The development of downstream products of high purity isobutene[J]. Fine Chem Ind Raw Mater Inter, 2003,6:20-21.  

    3. [3]

      ZHANG Ming-sen, KE Li, YANG Jing, FENG Yan, HE Li-ming. Study on dimerization of propylene to produce 4-methyl-1-pentene[J]. Petrochem Technol, 2002,31(9):737-740.  

    4. [4]

      BAI Er-zheng, JIN Guo-lin. Advance in skeletal isomerization of light olefins[J]. Chem world, 2001,9:498-501. doi: 10.3969/j.issn.0367-6358.2001.09.018

    5. [5]

      ZHAN Zhi-wen. Production and market of isobutylene and its derivatives[J]. Fine Chem Ind Raw Mater Inter, 2011(8):28-33.  

    6. [6]

      LIU Li, ZHOU Feng, QIAO Kai, LIU Zhen-hua. Study on skeletal isomerization of n-butenes into isobutene on molecular sieve with 10 MR pore structures[J]. Pet Process Petrochem, 2013,44(4):55-58.  

    7. [7]

      QIN Ji-qiang, FU Jian-song, XIE Jia-ming. Advances in the research on skeletal isomerization of n-amylene[J]. Fine Chem, 2006,23(3):63-66.  

    8. [8]

      SARATHY P R, SUFFRIDGE G S. Etherify field butanes:Part 2[J]. Hydrocarbon Process, 1993,722.  

    9. [9]

      WANG Ting-ting, HUANG Xing-liang. Preparation and performance of catalyst for skeletal isomerization of C5 linear olefin[J]. Chem Ind Eng Prog, 2011,9:498-501.  

    10. [10]

      WANG Zhe-ming, YAN Zi-feng. Synthesis of SAPO-11 zeolites[J]. J Fuel Chem Technol, 2003,31(4):360-366.  

    11. [11]

      ZHU Xiao-yi, CHEN Zhi-wei, CHE Xiao-ou, ZHOU Guang-lin, ZHOU Hong-jun. Activity and Regenerability of ZSM-35 Zeolite for n-Butene Skeleton Isomerization[J]. Fine Chem, 2013,30(12):1384-1388.  

    12. [12]

      HÖCHTL M, JENTYS A, VINEK H. Isomerization of 1-pentene over SAPO, CoAPO (AEL, AFI) molecular sieves and HZSM-5[J]. Appl Catal A:Gen, 2001,207(1/2):397-405.  

    13. [13]

      ZHAO Liu-zhou, SHI Zhi-cheng. Influence of pore structure of zeolite on isomerization of 1-hexene[J]. Pet Process Petrochem, 2003(1):42-44.  

    14. [14]

      HOUZVICKA J, HANSILDAAR S, PONEC V. The shape selectivity in the skeletal isomerization of n-butene to isobutene[J]. J Catal, 1994,167(2):273-278.  

    15. [15]

      JIANG Jie, SONG Chun-min, XU Ben-jing, YAN Zi-feng. Development in the catalysts for light linear olefins isomerization[J]. J Mol Catal, 2007,21(6):605-611.  

    16. [16]

      SONG Yi, BAI Jie, WU Zhi-hua, ZHAI Yu-chun, XU Long-ya. The isomerization of 1-hexene over ZSM-35 zeolite catalyst[J]. Nat Gas Ind, 2005,30(3):1-4.  

    17. [17]

      DOMOKOS L, LEFFERTS L, SESHAN K, LERCHER J A. The importance of acid site locations for n-butene skeletal isomerization on ferrierite[J]. J Mol Catal A:Chem, 2000,162(1/2):147-157.  

    18. [18]

      FÖTTINGER K, KINGER G, VINEK H. 1-Pentene isomerization over FER and BEA[J]. Appl Catal A:Gen, 2003,249(2):205-212. doi: 10.1016/S0926-860X(03)00192-3

    19. [19]

      GONG Yan, HUANG Xing-liang. Effects of template temoval of ZSM-35 zeolite on 1-hexene skeletal isomerization[J]. J Chem Eng Chin Univ, 2017,31(3):593-594.  

  • 加载中
    1. [1]

      Pei LiYuenan ZhengZhankai LiuAn-Hui Lu . Boron-Containing MFI Zeolite: Microstructure Control and Its Performance of Propane Oxidative Dehydrogenation. Acta Physico-Chimica Sinica, 2025, 41(4): 100034-0. doi: 10.3866/PKU.WHXB202406012

    2. [2]

      Qinhui GuanYuhao GuoNa LiJing LiTingjiang Yan . Molecular sieve-mediated indium oxide catalysts for enhancing photocatalytic CO2 hydrogenation. Acta Physico-Chimica Sinica, 2025, 41(11): 100133-0. doi: 10.1016/j.actphy.2025.100133

    3. [3]

      Jia WangQing QinZhe WangXuhao ZhaoYunfei ChenLiqiang HouShangguo LiuXien Liu . P-Doped Carbon-Supported ZnxPyOz for Efficient Ammonia Electrosynthesis under Ambient Conditions. Acta Physico-Chimica Sinica, 2024, 40(3): 2304044-0. doi: 10.3866/PKU.WHXB202304044

    4. [4]

      Yufang GAONan HOUYaning LIANGNing LIYanting ZHANGZelong LIXiaofeng LI . Nano-thin layer MCM-22 zeolite: Synthesis and catalytic properties of trimethylbenzene isomerization reaction. Chinese Journal of Inorganic Chemistry, 2024, 40(6): 1079-1087. doi: 10.11862/CJIC.20240036

    5. [5]

      Yuhao SUNQingzhe DONGLei ZHAOXiaodan JIANGHailing GUOXianglong MENGYongmei GUO . Synthesis and antibacterial properties of silver-loaded sod-based zeolite. Chinese Journal of Inorganic Chemistry, 2024, 40(4): 761-770. doi: 10.11862/CJIC.20230169

    6. [6]

      Jiali CHENGuoxiang ZHAOYayu YANWanting XIAQiaohong LIJian ZHANG . Machine learning exploring the adsorption of electronic gases on zeolite molecular sieves. Chinese Journal of Inorganic Chemistry, 2025, 41(1): 155-164. doi: 10.11862/CJIC.20240408

    7. [7]

      Yiping HUANGLiqin TANGYufan JICheng CHENShuangtao LIJingjing HUANGXuechao GAOXuehong GU . Hollow fiber NaA zeolite membrane for deep dehydration of ethanol solvent by vapor permeation. Chinese Journal of Inorganic Chemistry, 2025, 41(2): 225-234. doi: 10.11862/CJIC.20240224

    8. [8]

      Hexing SONGZan SUN . Synthesis, crystal structure, Hirshfeld surface analysis, and fluorescent sensing for Fe3+ of an Mn(Ⅱ) complex based on 1-naphthalic acid. Chinese Journal of Inorganic Chemistry, 2025, 41(5): 885-892. doi: 10.11862/CJIC.20240402

    9. [9]

      Shanghua LiMalin LiXiwen ChiXin YinZhaodi LuoJihong Yu . High-Stable Aqueous Zinc Metal Anodes Enabled by an Oriented ZnQ Zeolite Protective Layer with Facile Ion Migration Kinetics. Acta Physico-Chimica Sinica, 2025, 41(1): 100003-0. doi: 10.3866/PKU.WHXB202309003

    10. [10]

      Huijuan Liao Yulin Xiao Dong Xue Mingyu Yang Jianyang Dong . Synthesis of 1-Benzyl Isoquinoline via the Minisci Reaction. University Chemistry, 2025, 40(7): 294-299. doi: 10.12461/PKU.DXHX202409092

    11. [11]

      Lu XUChengyu ZHANGWenjuan JIHaiying YANGYunlong FU . Zinc metal-organic framework with high-density free carboxyl oxygen functionalized pore walls for targeted electrochemical sensing of paracetamol. Chinese Journal of Inorganic Chemistry, 2024, 40(5): 907-918. doi: 10.11862/CJIC.20230431

    12. [12]

      Jing SUBingrong LIYiyan BAIWenjuan JIHaiying YANGZhefeng Fan . Highly sensitive electrochemical dopamine sensor based on a highly stable In-based metal-organic framework with amino-enriched pores. Chinese Journal of Inorganic Chemistry, 2024, 40(7): 1337-1346. doi: 10.11862/CJIC.20230414

    13. [13]

      Zhi FANGLiang SUNMingze ZHENGWenhao SHENGHongliang HUANGChongli ZHONG . An aluminum-based metal-organic framework with slit pores for the efficient separation and recovery of electronic specialty gas C3F8. Chinese Journal of Inorganic Chemistry, 2025, 41(10): 2054-2062. doi: 10.11862/CJIC.20250096

    14. [14]

      Zhifang SUZongjie GUANYu FANG . Process of electrocatalytic synthesis of small molecule substances by porous framework materials. Chinese Journal of Inorganic Chemistry, 2024, 40(12): 2373-2395. doi: 10.11862/CJIC.20240290

    15. [15]

      Yuanyuan Ping Wangqing Kong . 光催化碳氢键官能团化合成1-苯基-1,2-乙二醇. University Chemistry, 2025, 40(6): 238-247. doi: 10.12461/PKU.DXHX202408092

    16. [16]

      Zhuoming Liang Ming Chen Zhiwen Zheng Kai Chen . Multidimensional Studies on Ketone-Enol Tautomerism of 1,3-Diketones By 1H NMR. University Chemistry, 2024, 39(7): 361-367. doi: 10.3866/PKU.DXHX202311029

    17. [17]

      Wen-Bing Hu . Systematic Introduction of Polymer Chain Structures. University Chemistry, 2025, 40(4): 15-19. doi: 10.3866/PKU.DXHX202401014

    18. [18]

      Rong-Nan YiWei-Min He . Photocatalytic Minisci-type multicomponent reaction for the synthesis of 1-(halo)alkyl-3-heteroaryl bicyclo[1.1.1]pentanes. Chinese Chemical Letters, 2024, 35(10): 110115-. doi: 10.1016/j.cclet.2024.110115

    19. [19]

      Yue ZhangBao LiLixin Wu . GO-Assisted Supramolecular Framework Membrane for High-Performance Separation of Nanosized Oil-in-Water Emulsions. Acta Physico-Chimica Sinica, 2024, 40(5): 2305038-0. doi: 10.3866/PKU.WHXB202305038

    20. [20]

      Xiaoling LUOPintian ZOUXiaoyan WANGZheng LIUXiangfei KONGQun TANGSheng WANG . Synthesis, crystal structures, and properties of lanthanide metal-organic frameworks based on 2, 5-dibromoterephthalic acid ligand. Chinese Journal of Inorganic Chemistry, 2024, 40(6): 1143-1150. doi: 10.11862/CJIC.20230271

Metrics
  • PDF Downloads(5)
  • Abstract views(1093)
  • HTML views(147)

通讯作者: 陈斌, bchen63@163.com
  • 1. 

    沈阳化工大学材料科学与工程学院 沈阳 110142

  1. 本站搜索
  2. 百度学术搜索
  3. 万方数据库搜索
  4. CNKI搜索
Address:Zhongguancun North First Street 2,100190 Beijing, PR China Tel: +86-010-82449177-888
Powered By info@rhhz.net

/

DownLoad:  Full-Size Img  PowerPoint
Return