Citation: CHENG Qing-yan, LIU Dong-jie, WANG Ming-ming, WANG Yan-ji. Study on catalytic performance of Ni-Co-P amorphous alloy for HDO of vanillin[J]. Journal of Fuel Chemistry and Technology, ;2019, 47(10): 1205-1213. shu

Study on catalytic performance of Ni-Co-P amorphous alloy for HDO of vanillin

  • Corresponding author: CHENG Qing-yan, chengqingyan@hebut.edu.cn
  • Received Date: 18 June 2019
    Revised Date: 25 August 2019

    Fund Project: The project was supported by the Natural Science Foundation of Hebei Province(B2018202293)the Natural Science Foundation of Hebei Province B2018202293

Figures(12)

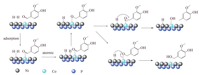
  • The Ni-P amorphous alloy was synthesized by chemical reduction, modified by adding element Co, and characterized by XRD, SEM, XPS and DSC. The hydrodeoxygenation (HDO) performance of the amorphous alloy was investigated by hydrodeoxygenation of vanillin to 2-methoxy-4-methylphenol (MMP). It is shown that the synergy between Ni and Co not only contributes to the reduction of Ni, increases the number of active centers of the catalyst, but also improves the dispersion, disorder and thermal stability of the amorphous alloy. Under the optimized reaction conditions:nCo/(nCo + nNi)=0.08 (molar ratio), H2 partial pressure of 2.0 MPa, reaction temperature of 150℃, reaction time of 180 min, catalyst dosage of 0.05 g, vanillin conversion and the MMP selectivity can reach 100% and 82.7%, respectively. After 5 cycles of the catalyst, the conversion of vanillin remains 100% and the selectivity of MMP decreases to 68.7%.
  • 加载中
    1. [1]

      NIU Miao-miao, YANG Jia-yao, LI Shang, SUN Ke, CAO Jian, LI Xin-yang. Review on biomass pyrolysis for bio-oil and upgrading research[J]. Biomass Chem Eng, 2018,52(5):55-61. doi: 10.3969/j.issn.1673-5854.2018.05.010

    2. [2]

      SHI Xun-wang, XIN Xin, LIU Zhao, LU Yao, LI Hong-xia, LI Jian-fen, CHEN Qun-peng. Preparation and characterization of Ni/TPC catalyst and applied in straw pyrolysis gas reforming[J]. J Fuel Chem Technol, 2018,46(6):659-665. doi: 10.3969/j.issn.0253-2409.2018.06.003 

    3. [3]

      HUANG F, LI W Z, LU Q, ZHU X F. Homogeneous catalytic hydrogenation of bio-oil and related model aldehydes with RuCl2(PPh3)3[J]. Chem Eng Technol, 2010,33(12):2082-2088. doi: 10.1002/ceat.201000229

    4. [4]

      NIE R F, PENG X L, ZHANG H F, YU X L, LU X H, ZHOU D, XIA Q G. Transfer hydrogenation of bio-fuel with formic acid over biomass-derived N-doped carbon supported acid-resistant Pd catalyst[J]. Catal Sci Technol, 2017,7(3):627-634. doi: 10.1039/C6CY02461K

    5. [5]

      ZHANG Q S, LI H F, GAO P, WANG L L. PVP-NiB amorphous catalyst for selective hydrogenation of phenol and its derivatives[J]. Chin J Catal, 2014,35(11):1793-1799. doi: 10.1016/S1872-2067(14)60203-5

    6. [6]

      MARUSCAL R, MAIRELES-TORRES P, OJEDA M, SADABA I, GRANADOS M L. Furfural:A renewable and versatile platform molecule for the synthesis of chemicals and fuels[J]. Energy Environ Sci, 2016,9(4):1144-1189. doi: 10.1039/C5EE02666K

    7. [7]

      HARVEY B G, GUENTHNER A J, MEYLEMANS H A, HAINES S R, LAMISON K R, GROSHENS T J, LAI W W. Renewable thermosetting resins and thermoplastics from vanillin[J]. Green Chem, 2015,17(2):1249-1258. doi: 10.1039/C4GC01825G

    8. [8]

      BINDWAL A B, VAIDYA P D. Reaction kinetics of vanillin hydrogenation in aqueous solutions using a Ru/C catalyst[J]. Energy Fuels, 2014,28(5):3357-3362. doi: 10.1021/ef500498z

    9. [9]

      DUAN H H, DONG J C, GU X R, PENG Y K, CHEN W X, TITIPONG I, WILLIAM K M, LI M J, YI N, ALEXANDER F R K, WANG Y, ZHENG X S, JI S F, WANG Q, FENG J T, CHEN D L, LI Y D, JEAN-CHARLES B, LIU H C, SHIK C E T, DERMOT O H. Hydrodeoxygenation of water-insoluble bio-oil to alkanes using a highly dispersed Pd-Mo catalyst[J]. Nat Commun, 2017,8(1)591. doi: 10.1038/s41467-017-00596-3

    10. [10]

      LIAO C J, LIU X X, REN Y S, GONG D X, ZHANG Z H. Catalytic deoxygenation of vanillin over layered double hydroxide supported Pd catalyst[J]. J Ind Eng Chem, 2018,68:380-386. doi: 10.1016/j.jiec.2018.08.012

    11. [11]

      CUI Zhi-qing, BI Ting. Fabrication of nickel foam supported palladium for hydrogenation of vanillin[J]. Appl Chem Ind, 2018,47(12):2678-2680. doi: 10.3969/j.issn.1671-3206.2018.12.030

    12. [12]

      YANG X M, LIANG Y, ZHAO X, SONG Y F, HU L H, WANG X F, WANG Z C, QIU J S. Au/CNTs catalyst for highly selective hydrodeoxygenation of vanillin at the water/oil interface[J]. RSC Adv, 2014,4(60):31932-31936. doi: 10.1039/C4RA04692G

    13. [13]

      YANG X M, LIANG Y, CHENG Y Y, SONG W, WANG X F, WANG Z C, QIU J S. Hydrodeoxygenation of vanillin over carbon nanotube-supported Ru catalysts assembled at the interfaces of emulsion droplets[J]. Catal Commun, 2014,47:28-31. doi: 10.1016/j.catcom.2013.12.027

    14. [14]

      WAN M M, ZHANG X L, LI M Y, CHEN B, YIN J, JIN H C, LIN L, CHEN C, ZHANG N. Hollow Pd/MOF nanosphere with double shells as multifunctional catalyst for hydrogenation reaction[J]. Small, 2017,13(38)1701395. doi: 10.1002/smll.201701395

    15. [15]

      FENG J F, HSE C Y, WANG K, YANG Z Z, JIANG J C, XU J M. Directional liquefaction of biomass for phenolic compounds and in situ hydrodeoxygenation upgrading of phenolics using bifunctional catalysts[J]. Energy, 2017,135:1-13. doi: 10.1016/j.energy.2017.06.032

    16. [16]

      WANG W Y, LI L, WU K, ZHANG K, JIE J, YANG Y Q. Preparation of Ni-Mo-S catalysts by hydrothermal method and their hydrodeoxygenation properties[J]. Appl Catal A:Gen, 2015,495:8-16. doi: 10.1016/j.apcata.2015.01.041

    17. [17]

      POURZOLFAGHAR H, ABNISA F, DAUD W M A W, AROUA M K. Atmospheric hydrodeoxygenation of bio-oil oxygenated model compounds:A review[J]. J Anal Appl Pyrolysis, 2018,133:117-127. doi: 10.1016/j.jaap.2018.04.013

    18. [18]

      LI H, LIU Z L. Hydrodeoxygenation of vanillin as model compound for pyrolysis oil over carboxylic carbon nanotubes-supported Ni catalysts[J]. Bioresour Technol Rep, 2019,5:86-90. doi: 10.1016/j.biteb.2018.12.001

    19. [19]

      FAN R Y, CHEN C, HAN M M, GONG W B, ZHANG H M, ZHANG Y X, ZHAO H J, WANG G Z. Highly dispersed copper nanoparticles supported on activated carbon as an efficient catalyst for selective reduction of vanillin[J]. Small, 2018,14(36)1801953. doi: 10.1002/smll.201801953

    20. [20]

      NIE R F, YANG H H, ZHANG H F, YU X L, LU X H, ZHOU D, XIA Q H. Mild-temperature hydrodeoxygenation of vanillin over porous nitrogen-doped carbon black supported nickel nanoparticles[J]. Green Chem, 2017,19(13):3126-3134. doi: 10.1039/C7GC00531H

    21. [21]

      LIAW B J, CHIANG S J, TSAI C H, CHEN Y Z. Preparation and catalysis of polymer-stabilized NiB catalysts on hydrogenation of carbonyl and olefinic groups[J]. Appl Catal A:Gen, 2005,284(1/2):239-246.  

    22. [22]

      GUO Y, LU G. Graphene supported Co-Mo-P catalyst for efficient photocatalyzed hydrogen generation[J]. Int J Hydrogen Energy, 2016,41(16):6706-6712. doi: 10.1016/j.ijhydene.2016.03.065

    23. [23]

      FERNANDES R, PATEL N, MIOTELLO A. Efficient catalytic properties of Co-Ni-P-B catalyst powders for hydrogen generation by hydrolysis of alkaline solution of NaBH4[J]. Int J Hydrogen Energy, 2009,34(7):2893-2900. doi: 10.1016/j.ijhydene.2009.02.007

    24. [24]

      WANG Wei-yan, LIU Peng-li, YANG Si-jun, QIAO Zhi-qiang, YANG Yun-quan. Preparation and performance of amorphous Co-P-B catalyst with high hydrodeoxygenation activity[J]. China Sciencepap, 2015,10(6):735-739+744. doi: 10.3969/j.issn.2095-2783.2015.06.024

    25. [25]

      HU Tao, YANG Yun-quan, WANG Wei-yan, LIU Wen-ying, HE Heng, GAO Bo. Preparation and catalytic properties of Ni(Co)-W-B amorphous catalysts for 4-cresol hydrodeoxygenation[J]. J Fuel Chem Technol, 2012,40(1):80-85. doi: 10.3969/j.issn.0253-2409.2012.01.013 

    26. [26]

      WANG Wei-yan, YANG Yun-quan, LUO He-an, PENG Hui-zuo, ZHANG Xiao-zhe, HU Tao. Preparation and hydrodeoxygenation properties of Ni-Co-W-B amorphous catalyst[J]. Chin J Catal, 2011,32(10):1645-1650.  

    27. [27]

      LIAW B J, CHIANG S J, CHEN S W, CHEN Y Z. Preparation and catalysis of amorphous CoNiB and polymer-stabilized CoNiB catalysts for hydrogenation of unsaturated aldehydes[J]. Appl Catal A:Gen, 2008,V346(1/2):179-188.  

    28. [28]

      LIU Peng-li. Preparation and hydrodeoxygenation activity of Ni(Co)-P-B amorphous catalysts[D]. Changsha: Xiangtan Univ, 2016.

    29. [29]

      GUO J, HOU Y J, YANG C H, WANG Y Q, WANG L. Effects of nickel ethylenediamine complex on the preparation of Ni-B amorphous alloy catalyst with ultrasonic assistance[J]. Mater Lett, 2012,67(1):51-153.  

    30. [30]

      WANG Ming-yuan, LENG Yi-xin, HUANG Chun-xiang, WANG Jun, SHAO Hui. Preparation of nickel phosphide and its catalytic hydrogenation of furfural to cyclopentanone[J]. Fine Chem, 2018,35(11):1893-1899.  

    31. [31]

      GUO Yue-ping, LV Gong-xuan. In situ synthesis of Co-P/GP photocatalysts for H2 evolution from water[J]. Chin J Inorg Chem, 2016,32(7):1177-1182.  

    32. [32]

      WANG W Y, YANG Y Q, LUO H A, LIU W Y. Effect of additive (Co, La) for Ni-Mo-B amorphous catalyst and its hydrodeoxygenation properties[J]. Catal Commun, 2010,11(9):803-807. doi: 10.1016/j.catcom.2010.02.019

    33. [33]

      WANG W Y, YANG Y Q, LUO H A, HU T, LIU W Y. Amorphous Co-Mo-B catalyst with high activity for the hydrodeoxygenation of bio-oil[J]. Catal Commun, 2011,12(6):436-440. doi: 10.1016/j.catcom.2010.11.001

    34. [34]

      WANG W Y, YANG S J, QIAO Z Q, LIU P L, WU K, YANG Y Q. Preparation of Ni-W-P-B amorphous catalyst for the hydrodeoxygenation of p-cresol[J]. Catal Commun, 2015,60:50-54. doi: 10.1016/j.catcom.2014.11.023

    35. [35]

      CHEN L F, CHEN Y W. Influence of additive (W, Mo, and Ru) on Ni-B amorphous alloy catalyst in hydrogenation of p-chloronitrobenzene[J]. Ind Eng Chem Res, 2006,45(26):8866-8873. doi: 10.1021/ie060751v

    36. [36]

      WANG W Y, YANG Y Q, BAO J G, LUO H A. Characterization and catalytic properties of Ni-Mo-B amorphous catalysts for phenol hydrodeoxygenation[J]. Catal Commun, 2010,11(2):100-105.  

    37. [37]

      LI H, ZHAO Q F, LI H X. Selective hydrogenation of p-chloronitrobenzene over Ni-P-B amorphous catalyst and synergistic promoting Influences of B and P[J]. J Mol Catal A:Chem, 2008,285(1):29-35.  

    38. [38]

      SONG Yan-fen, QIN Yu-cai, LIU Bing, ZHAO Sheng-nan, MO ZHOU-sheng, SONG Li-juan. Preparation and performance of NiCoB/SAPO-5 catalyst for hydrogenation of nitrobenzene to p-aminophenol[J]. Petrochem Technol Appl, 2015,33(4):301-304. doi: 10.3969/j.issn.1009-0045.2015.04.003

    39. [39]

      LI Hui, MA Chun-jing, LI He-xing. Study on cinnamaldehyde hydrogenation to 3-phenylpropyl aldehyde at atmospheric pressure over Ni-Co-B amorphous alloys[J]. J Chem Ind Eng (China), 2006,64(19):1947-1953. doi: 10.3321/j.issn:0567-7351.2006.19.002

    40. [40]

      SUN Ya-ling, DU Chang-hai, ZHOU Dan, XING Hua-qiong. Liquid phase furfural hydrogenation to furfuryl alcohol over CoNiB amorphous alloy catalyst[J]. Chem Eng, 2010,24(1):10-12+15. doi: 10.3969/j.issn.1002-1124.2010.01.004

    41. [41]

      WU Jia-chun, SHI Gen-xiang, REN Zhi-long, ZHU Xiao-dong. Study on Pd/C catalytic hydrogenolysis of vanillin[J]. Chem Enterp Manage, 2015(27):102-102+104. doi: 10.3969/j.issn.1008-4800.2015.27.088

    42. [42]

      PAN Deng, WANG Ya-ming, ZHONG Shen-jie, JIANG Li-hong. Optimization of Ni-P/APO-11 amorphous catalyst for catalytic hydrogenation of turpentine using response surface methodology[J]. J Chem Ind Eng (China), 2017,68(6):2376-2385.  

    43. [43]

      YANG B, GONG X Q, WANG H F, CAO X M, JOHN J R, HU P. Evidence to challenge the universality of the Horiuti-Polanyi mechanism for hydrogenation in heterogeneous catalysis:Origin and trend of the preference of a non-Horiuti-Polanyi mechanism[J]. J Am Chem Soc, 2013,135(40):15244-15250. doi: 10.1021/ja408314k

  • 加载中
    1. [1]

      Aiyi Xin Jiawei Li Xinyang Ran Chuanjiang Fu Zhiguo Wang . Collaborative Science and Education Based Experimental Design in Organic Chemistry: A Case Study of the Nucleophilic Substitution Reaction of 2-Hydroxymethyl-4,6-Di-Tert-Butylphenol. University Chemistry, 2025, 40(5): 366-375. doi: 10.12461/PKU.DXHX202407031

    2. [2]

      Chao WUQingxiu SHITao XUZhengxi PENGZhongping XIONGYinglin ZHANGYujun SIChaozhong GUO . Enhancement of oxygen reduction reaction performance of iron-nitrogen doped carbon based catalysts by sodium carboxymethyl cellulose pre-deoxygenation. Chinese Journal of Inorganic Chemistry, 2026, 42(4): 737-746. doi: 10.11862/CJIC.20250305

    3. [3]

      Wenlong LIXinyu JIAJie LINGMengdan MAAnning ZHOU . Photothermal catalytic CO2 hydrogenation over a Mg-doped In2O3-x catalyst. Chinese Journal of Inorganic Chemistry, 2024, 40(5): 919-929. doi: 10.11862/CJIC.20230421

    4. [4]

      Feifei YangWei ZhouChaoran YangTianyu ZhangYanqiang Huang . Enhanced Methanol Selectivity in CO2 Hydrogenation by Decoration of K on MoS2 Catalyst. Acta Physico-Chimica Sinica, 2024, 40(7): 2308017-0. doi: 10.3866/PKU.WHXB202308017

    5. [5]

      Qinhui GuanYuhao GuoNa LiJing LiTingjiang Yan . Molecular sieve-mediated indium oxide catalysts for enhancing photocatalytic CO2 hydrogenation. Acta Physico-Chimica Sinica, 2025, 41(11): 100133-0. doi: 10.1016/j.actphy.2025.100133

    6. [6]

      Shi-Yu LuWenzhao DouJun ZhangLing WangChunjie WuHuan YiRong WangMeng Jin . Amorphous-Crystalline Interfaces Coupling of CrS/CoS2 Few-Layer Heterojunction with Optimized Crystallinity Boosted for Water-Splitting and Methanol-Assisted Energy-Saving Hydrogen Production. Acta Physico-Chimica Sinica, 2024, 40(8): 2308024-0. doi: 10.3866/PKU.WHXB202308024

    7. [7]

      Xiyuan Zhang Rui Dong Yang Yang Jiapeng Ding Zhiwei Miao . Palladium-Catalyzed Tandem Cyclization of 4-Vinylbenzoxazinone and Indene-2-carbaldehyde: A Comprehensive Organic Chemistry Experiment. University Chemistry, 2025, 40(9): 361-367. doi: 10.12461/PKU.DXHX202410062

    8. [8]

      Liuyun ChenWenju WangTairong LuXuan LuoXinling XieKelin HuangShanli QinTongming SuZuzeng QinHongbing Ji . Soft template-induced deep pore structure of Cu/Al2O3 for promoting plasma-catalyzed CO2 hydrogenation to DME. Acta Physico-Chimica Sinica, 2025, 41(6): 100054-0. doi: 10.1016/j.actphy.2025.100054

    9. [9]

      Xiaorui ChenXuan LuoTongming SuXinling XieLiuyun ChenYuejing BinZuzeng QinHongbing Ji . Ga-doped Cu/γ-Al2O3 bifunctional interface sites promote the direct hydrogenation of CO2 to DME. Acta Physico-Chimica Sinica, 2025, 41(10): 100126-0. doi: 10.1016/j.actphy.2025.100126

    10. [10]

      Yongqing XuYuyao YangMengna WuXiaoxiao YangXuan BieShiyu ZhangQinghai LiYanguo ZhangChenwei ZhangRobert E. PrzekopBogna SztorchDariusz BrzakalskiHui Zhou . Review on Using Molybdenum Carbides for the Thermal Catalysis of CO2 Hydrogenation to Produce High-Value-Added Chemicals and Fuels. Acta Physico-Chimica Sinica, 2024, 40(4): 2304003-0. doi: 10.3866/PKU.WHXB202304003

    11. [11]

      Zhipeng Bao Yilin Wang Yu Chen Beirui Jia Congcong Wang Zean Xie Xuehua Yu Zhen Zhao . Digital and Intelligent Integration under the “Dual Carbon” Strategy: Plasma Reaction-Separation Coupling for CO2 Hydrogenation to Methanol. University Chemistry, 2026, 41(1): 29-40. doi: 10.12461/PKU.DXHX202506009

    12. [12]

      Beibei Gao Lipeng Zhou Dexin Yang . Integrating the “Dual Carbon” Concept into Teaching Reform of Physical Chemistry: A Case of CO2 Hydrogenation to CH3OH. University Chemistry, 2026, 41(3): 248-253. doi: 10.12461/PKU.DXHX202504011

    13. [13]

      Jingzhao ChengShiyu GaoBei ChengKai YangWang WangShaowen Cao . Construction of 4-Amino-1H-imidazole-5-carbonitrile Modified Carbon Nitride-Based Donor-Acceptor Photocatalyst for Efficient Photocatalytic Hydrogen Evolution. Acta Physico-Chimica Sinica, 2024, 40(11): 2406026-0. doi: 10.3866/PKU.WHXB202406026

    14. [14]

      Weihan ZhangMenglu WangAnkang JiaWei DengShuxing Bai . Surface Sulfur Species Influence Hydrogenation Performance of Palladium-Sulfur Nanosheets. Acta Physico-Chimica Sinica, 2024, 40(11): 2309043-0. doi: 10.3866/PKU.WHXB202309043

    15. [15]

      Yue Zhao Yanfei Li Tao Xiong . Copper Hydride-Catalyzed Nucleophilic Additions of Unsaturated Hydrocarbons to Aldehydes and Ketones. University Chemistry, 2024, 39(4): 280-285. doi: 10.3866/PKU.DXHX202309001

    16. [16]

      Jie Li Huida Qian Deyang Pan Wenjing Wang Daliang Zhu Zhongxue Fang . Efficient Synthesis of Anethaldehyde Induced by Visible Light. University Chemistry, 2024, 39(4): 343-350. doi: 10.3866/PKU.DXHX202310076

    17. [17]

      Chi Li Jichao Wan Qiyu Long Hui Lv Ying XiongN-Heterocyclic Carbene (NHC)-Catalyzed Amidation of Aldehydes with Nitroso Compounds. University Chemistry, 2024, 39(5): 388-395. doi: 10.3866/PKU.DXHX202312016

    18. [18]

      Ze LuoYukun ZhuYadan LuoGuangmin RenYonghong WangHua Tang . Photocatalytic selective oxidation of 5-hydroxymethylfurfural coupled with H2 evolution over In2O3/ZnIn2S4 S-scheme heterojunction. Acta Physico-Chimica Sinica, 2026, 42(3): 100166-0. doi: 10.1016/j.actphy.2025.100166

    19. [19]

      Zhaoyang WANGChun YANGYaoyao SongNa HANXiaomeng LIUQinglun WANG . Lanthanide(Ⅲ) complexes derived from 4′-(2-pyridyl)-2, 2′∶6′, 2″-terpyridine: Crystal structures, fluorescent and magnetic properties. Chinese Journal of Inorganic Chemistry, 2024, 40(8): 1442-1451. doi: 10.11862/CJIC.20240114

    20. [20]

      Xi Xu Chaokai Zhu Leiqing Cao Zhuozhao Wu Cao Guan . Experiential Education and 3D-Printed Alloys: Innovative Exploration and Student Development. University Chemistry, 2024, 39(2): 347-357. doi: 10.3866/PKU.DXHX202308039

Metrics
  • PDF Downloads(6)
  • Abstract views(2107)
  • HTML views(189)

通讯作者: 陈斌, bchen63@163.com
  • 1. 

    沈阳化工大学材料科学与工程学院 沈阳 110142

  1. 本站搜索
  2. 百度学术搜索
  3. 万方数据库搜索
  4. CNKI搜索
Address:Zhongguancun North First Street 2,100190 Beijing, PR China Tel: +86-010-82449177-888
Powered By info@rhhz.net

/

DownLoad:  Full-Size Img  PowerPoint
Return