Citation: WANG Qin, LI Feng, ZHAO Hai-hong, KUANG Zhi-qi, WANG Feng, LI Lei, ZHAO Ning, XIAO Fu-kui. Preparation of Mg-Al based solid base for the transesterification of propylene carbonate and methanol[J]. Journal of Fuel Chemistry and Technology, ;2020, 48(4): 448-455. shu

Preparation of Mg-Al based solid base for the transesterification of propylene carbonate and methanol

  • Corresponding author: ZHAO Ning, zhaoning@sxicc.ac.cn XIAO Fu-kui, xiaofk@sxicc.ac.cn
  • Received Date: 7 January 2020
    Revised Date: 17 February 2020

    Fund Project: National Natural Science Foundation of China 21776294Shanxi Province Key R & D program 201903D421083Natural Science Foundation of Shanxi Province 201701D221052National Natural Science Foundation of China 21802158Natural Science Foundation of Shanxi Province 201801D121070National Natural Science Foundation of China 2191101419Independent Research Project of the State Key Laboratory of Coal Conversion 2018BWZ002the State Key Laboratory of High-Efficiency Utilization of Coal and Green Chemical Engineering, Ningxia University 2018-K11The project was supported by the National Natural Science Foundation of China (21802158, 21776294, 2191101419), the Natural Science Foundation of Shanxi Province (201801D121070, 201701D221052), Shanxi Province Key R & D program (201903D421083), the Independent Research Project of the State Key Laboratory of Coal Conversion (2018BWZ002) and the State Key Laboratory of High-Efficiency Utilization of Coal and Green Chemical Engineering, Ningxia University (2018-K11)

Figures(9)

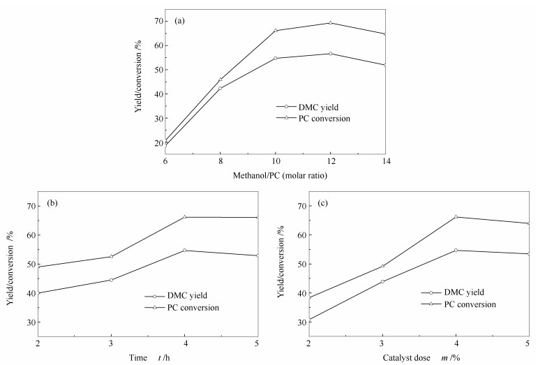
  • A series of transition metals (Fe, Cu, Zr) modified Mg-Al solid bases were synthesized by co-precipitation method and characterized by XRD, N2 adsorption-desorption, FT-IR, XPS, CO2-TPD. The catalytic performances were investigated for the synthesis of dimethyl carbonate via transesterification of propylene carbonate (PC) and methanol. The results reveal that the surface basicity of the samples varies with the addition of different metals. The surface basic strength and density of the catalysts are the main factors affecting the catalytic activity. Among the catalysts studied, FeMgAl exhibits the highest surface basic density and thus shows the best catalytic performance. The conversion of PC can reach 66.2% under the temperature of 65 ℃, reaction time of 4 h, methanol/ester molar ratio of 10:1 and catalyst amount of 4% of the reactant.
  • 加载中
    1. [1]

      HUANG Z X, LIN Y X, WANG X D, YE C S, LI L. Optimization and control of a reactive distillation process for the synthesis of dimethyl carbonate[J]. Chin J Chem Eng, 2017,25(8):1079-1090. doi: 10.1016/j.cjche.2017.03.039

    2. [2]

      SONG Z W, SUBRAMANIAM B, RAGHUNATH V C. Kinetic study of CaO-catalyzed transesterification of cyclic carbonates with methanol[J]. Ind Eng Chem Res, 2018,57(44):14977-14987. doi: 10.1021/acs.iecr.8b03837

    3. [3]

      JOHANNES H, MATHIAS L, PHILIP L, ANDRZEJ G. Synthesis of dimethyl carbonate and propylene glycol by transesterification of propylene carbonate with methanol:Catalyst screening, chemical equilibrium and reaction kinetics[J]. Chem Eng Sci, 2013,104:347-360. doi: 10.1016/j.ces.2013.09.007

    4. [4]

      TAN H Z, WANG Z Q, XU Z N, SUN J, XU Y P, CHEN Q S, CHEN Y M, GUO G C. Review on the synthesis of dimethyl carbonate[J]. Catal Today, 2018,316:2-12. doi: 10.1016/j.cattod.2018.02.021

    5. [5]

      XUAN K, PU Y F, LI F, LUO J, ZHAO N, XIAO F K. Metal-organic frameworks MOF-808-X as highly efficient catalysts for direct synthesis of dimethyl carbonate from CO2 and methanol[J]. Chin J Catal, 2019,40(4):553-566.  

    6. [6]

      PICHAYAPAN K, VARONG P, RAFIQUL G, SUTTICHAI A. Techno-economic evaluation of different CO2-based processes for dimethyl carbonate production[J]. Chem Eng Res Des, 2015,93:496-510. doi: 10.1016/j.cherd.2014.07.013

    7. [7]

      LOE J G, AZUARA A J, ALBERO J S, ESCRIBANO A S, FERNÁNDEZ E V R. Layered double hydroxides as base catalysts for the synthesis of dimethyl carbonate[J]. Catal Today, 2017,296:254-261. doi: 10.1016/j.cattod.2017.04.047

    8. [8]

      XIAO Yuan-sheng, ZHANG Xue-zheng, ZHANG Shu-ji, ZHAO Wei-jun. The simultaneous synthesis of dimethyl carbonate and ethylene glycol by transesterification[J]. Spec Petrochem, 2000(2):1-3.  

    9. [9]

      LEE K H, LEE S, SHIN D, HAHM H S. Dimethyl carbonate synthesis via transesterification of ethylene carbonate and methanol using ionic liquid catalysts immobilized on mesoporous cellular foams[J]. Res Chem Intermed, 2016,42(1):109-121. doi: 10.1007/s11164-015-2396-4

    10. [10]

      WANG H, WANG M H, ZHANG W Y, ZHAO N, WEI W, SUN Y H. Synthesis of dimethyl carbonate from propylene carbonate and methanol using CaO-ZrO2 solid solutions as highly stable catalysts[J]. Catal Today, 2006,115(1/4):107-110.  

    11. [11]

      LIU S G, HUANG S Y, GUAN L X, LI J P, ZHAO N, WEI W, SUN Y H. Preparation of a novel mesoporous solid base Na-ZrO2 with ultrahigh thermal stability[J]. Microporous Mesoporous Mater, 2007,102(1/3):304-309.  

    12. [12]

      PYRLIK A, HOELDERICH W F, MVLLER K, ARLT W, STRAUTMANN J, KRUSE D. Dimethyl carbonate via transesterification of propylene carbonate with methanol over ion exchange resins[J]. Appl Catal B:Environ, 2012,125:486-491. doi: 10.1016/j.apcatb.2011.09.033

    13. [13]

      SONG Z W, SUBRAMANIAM B, CHAUDHARI R V. Transesterification of propylene carbonate with methanol using Fe-Mn double metal cyanide catalyst[J]. ACS Sustainable Chem Eng, 2019,7(6):5698-5710. doi: 10.1021/acssuschemeng.8b04779

    14. [14]

      JONGGOL T, PANNAPAT C, MANAT P. Synthesis, characterization, and activity in transesterification of mesoporous Mg-Al mixed-metal oxides[J]. Microporous Mesoporous Mater, 2010,128(1/3):41-47.  

    15. [15]

      PRAKRUTHI H R, CHANDRASHEKARA B M, PRAKASH B S J, BHAT Y S. Microwave rehydrated Mg-Al-LDH as base catalyst for the acetalization of glycerol[J]. Catal Sci Technol, 2015,5(7)3667. doi: 10.1039/C5CY00347D

    16. [16]

      OLGA V L, KARINA V V, PAVLO I K, NINA V V, DMYTRO Y B, IVAN K, TOMAŽČ , SERGIY O S, SVITLANA M O. Successive vapour phase Guerbet condensation of ethanol and 1-butanol over Mg-Al oxide catalysts in a flow reactor[J]. Appl Catal A:Gen, 2019,588117265. doi: 10.1016/j.apcata.2019.117265

    17. [17]

      UNNIKRISHNAN P, SRINIVAS D. Calcined, rare earth modified hydrotalcite as a solid, reusable catalyst for dimethyl carbonate synthesis[J]. Ind Eng Chem Res, 2012,51(18):6356-6363. doi: 10.1021/ie300678p

    18. [18]

      SUN J, YANG J Y, LI S P, XU X R. Basicity-FAME yield correlations in metal cation modified MgAl mixed oxides for biodiesel synthesis[J]. Catal Commun, 2014,52:1-4. doi: 10.1016/j.catcom.2014.03.023

    19. [19]

      WANG D F, ZHANG X L, CONG X S, LIU S F, ZHOU D G. Influence of Zr on the performance of Mg-Al catalysts via hydrotalcite-like precursors for the synthesis of glycerol carbonate from urea and glycerol[J]. Appl Catal A:Gen, 2018,555:36-46. doi: 10.1016/j.apcata.2018.02.009

    20. [20]

      WANG D F, ZHANG X L, LIU C L, CHENG T T, WEI W, SUN Y H. Transition metal-modified mesoporous Mg-Al mixed oxides:Stable base catalysts for the synthesis of diethyl carbonate from ethyl carbamate and ethanol[J]. Appl Catal A:Gen, 2015,505:478-486. doi: 10.1016/j.apcata.2015.04.034

    21. [21]

      YAN T T, BING W H, LI Y W, YANG Y S, CUI G Q, YANG L, WEI M. Acid-base sites synergistic catalysis over Mg-Zr-Al mixed metal oxide toward synthesis of diethyl carbonate[J]. RSC Adv, 2018,8(9)4695. doi: 10.1039/C7RA13629C

    22. [22]

      HOLGADO M J, RIVES V, SAN ROMÁN M S. Characterization of Ni-Mg-Al mixed oxides and their catalytic activity in oxidative dehydrogenation of n-butane and propene[J]. Appl Catal A:Gen, 2001,214(2):219-228. doi: 10.1016/S0926-860X(01)00496-3

    23. [23]

      LIN L, VITTAYAPADUNG S, LI X Q, JIANG W W, SHEN X Q. Synthesis of magnetic calcium oxide hollow fiber catalyst for the production of biodiesel[J]. Environ Prog Sustainable Energy, 2013,32(4):1255-1261.  

    24. [24]

      PRAVEEN K, VIMAL C S, INDRA M M. Dimethyl carbonate synthesis from propylene carbonate with methanol using Cu-Zn-Al catalyst[J]. Energy Fuels, 2015,29(4):2664-2675. doi: 10.1021/ef502856z

    25. [25]

      LIAO Yun-hui. Ca-based solid base for the dimethyl carbonate synthesis from propylene carbonate and methanol[D]. Taiyuan: Institute of Coal Chemistry, Chinese Academy of Science, 2018.

    26. [26]

      WANG Hui. Preparation, characterization of highly stable solid base and its application in the synthesis of dimethyl carbonate by transesterification[D]. Taiyuan: Institute of Coal Chemistry, Chinese Academy of Science, 2006.

    27. [27]

      NAYANA N, ASHUTOSH K. Selective synthesis of dimethyl carbonate via transesterification of propylene carbonate with methanol catalyzed by bifunctional Li-Al nano-composite[J]. Chem Select, 2019,4(29):8574-8583.  

    28. [28]

      RAQUEL J, AVELINO C, HERMENEGILDO G. Gold nanoparticles promote the catalytic activity of ceria for the transalkylation of propylene carbonate to dimethyl carbonate[J]. Green Chem, 2009,11(7):949-952. doi: 10.1039/b902850a

  • 加载中
    1. [1]

      Yan Qi Yueqin Yu Weisi Guo Yongjun Liu . 过渡金属参与的有机反应案例教学与实践探索. University Chemistry, 2025, 40(6): 111-117. doi: 10.12461/PKU.DXHX202411021

    2. [2]

      Xiaosong PUHangkai WUTaohong LIHuijuan LIShouqing LIUYuanbo HUANGXuemei LI . Adsorption performance and removal mechanism of Cd(Ⅱ) in water by magnesium modified carbon foam. Chinese Journal of Inorganic Chemistry, 2024, 40(8): 1537-1548. doi: 10.11862/CJIC.20240030

    3. [3]

      Xuejiao WangSuiying DongKezhen QiVadim PopkovXianglin Xiang . Photocatalytic CO2 Reduction by Modified g-C3N4. Acta Physico-Chimica Sinica, 2024, 40(12): 2408005-0. doi: 10.3866/PKU.WHXB202408005

    4. [4]

      Lixing ZHANGYaowen WANGXu HANJunhong ZHOUJinghui WANGLiping LIGuangshe LI . Research progress in the synthesis of fluorine-containing perovskites and their derivatives. Chinese Journal of Inorganic Chemistry, 2025, 41(9): 1689-1701. doi: 10.11862/CJIC.20250007

    5. [5]

      Yu LiuPengfei LiYize LiuZaicheng Sun . Recent advances in carbon dots as a single photocatalyst. Acta Physico-Chimica Sinica, 2026, 42(2): 100167-0. doi: 10.1016/j.actphy.2025.100167

    6. [6]

      Huiwei DingBo PengZhihao WangQiaofeng Han . Advances in Metal or Nonmetal Modification of Bismuth-Based Photocatalysts. Acta Physico-Chimica Sinica, 2024, 40(4): 2305048-0. doi: 10.3866/PKU.WHXB202305048

    7. [7]

      Jing WUPuzhen HUIHuilin ZHENGPingchuan YUANChunfei WANGHui WANGXiaoxia GU . Synthesis, crystal structures, and antitumor activities of transition metal complexes incorporating a naphthol-aldehyde Schiff base ligand. Chinese Journal of Inorganic Chemistry, 2024, 40(12): 2422-2428. doi: 10.11862/CJIC.20240278

    8. [8]

      Kaimin WANGXiong GUNa DENGHongmei YUYanqin YEYulu MA . Synthesis, structure, fluorescence properties, and Hirshfeld surface analysis of three Zn(Ⅱ)/Cu(Ⅱ) complexes based on 5-(dimethylamino) isophthalic acid. Chinese Journal of Inorganic Chemistry, 2024, 40(7): 1397-1408. doi: 10.11862/CJIC.20240009

    9. [9]

      Limei CHENMengfei ZHAOLin CHENDing LIWei LIWeiye HANHongbin WANG . Preparation and performance of paraffin/alkali modified diatomite/expanded graphite composite phase change thermal storage material. Chinese Journal of Inorganic Chemistry, 2024, 40(3): 533-543. doi: 10.11862/CJIC.20230312

    10. [10]

      Sinong WangShanshan JinXue YangYanyan HuangPeng LiuYi TangYuliang Yang . Development of Mg-Al LDH and LDO as novel protective materials for deacidification of paper-based relics. Chinese Chemical Letters, 2024, 35(9): 109890-. doi: 10.1016/j.cclet.2024.109890

    11. [11]

      Ruizhi DuanXiaomei WangPanwang ZhouYang LiuCan Li . The role of hydroxyl species in the alkaline hydrogen evolution reaction over transition metal surfaces. Acta Physico-Chimica Sinica, 2025, 41(9): 100111-0. doi: 10.1016/j.actphy.2025.100111

    12. [12]

      Jianding LIJunyang FENGHuimin RENGang LI . Proton conductive properties of a Hf(Ⅳ)-based metal-organic framework built by 2,5-dibromophenyl-4,6-dicarboxylic acid. Chinese Journal of Inorganic Chemistry, 2025, 41(6): 1094-1100. doi: 10.11862/CJIC.20240464

    13. [13]

      Hongyi LIAimin WULiuyang ZHAOXinpeng LIUFengqin CHENAikui LIHao HUANG . Effect of Y(PO3)3 double-coating modification on the electrochemical properties of Li[Ni0.8Co0.15Al0.05]O2. Chinese Journal of Inorganic Chemistry, 2024, 40(7): 1320-1328. doi: 10.11862/CJIC.20230480

    14. [14]

      Geyang Song Dong Xue Gang Li . Recent Advances in Transition Metal-Catalyzed Synthesis of Anilines from Aryl Halides. University Chemistry, 2024, 39(2): 321-329. doi: 10.3866/PKU.DXHX202308030

    15. [15]

      Lu ZhuoranLi ShengkaiLu YuxuanWang ShuangyinZou Yuqin . Cleavage of C―C Bonds for Biomass Upgrading on Transition Metal Electrocatalysts. Acta Physico-Chimica Sinica, 2024, 40(4): 2306003-0. doi: 10.3866/PKU.WHXB202306003

    16. [16]

      Fei XieChengcheng YuanHaiyan TanAlireza Z. MoshfeghBicheng ZhuJiaguo Yud-Band Center Regulated O2 Adsorption on Transition Metal Single Atoms Loaded COF: A DFT Study. Acta Physico-Chimica Sinica, 2024, 40(11): 2407013-0. doi: 10.3866/PKU.WHXB202407013

    17. [17]

      Yinwu Su Xuanwen Zheng Jianghui Du Boda Li Tao Wang Zhiyan Huang . Green Synthesis of 1,3-Dibromoacetone Using Halogen Exchange Method: Recommending a Basic Organic Synthesis Teaching Experiment. University Chemistry, 2024, 39(5): 307-314. doi: 10.3866/PKU.DXHX202311092

    18. [18]

      Xinwan ZhaoYue CaoMinjun LeiZhiliang JinTsubaki Noritatsu . Constructing S-scheme heterojunctions by integrating covalent organic frameworks with transition metal sulfides for efficient noble-metal-free photocatalytic hydrogen evolution. Acta Physico-Chimica Sinica, 2025, 41(12): 100152-0. doi: 10.1016/j.actphy.2025.100152

    19. [19]

      Liuyun ChenWenju WangTairong LuXuan LuoXinling XieKelin HuangShanli QinTongming SuZuzeng QinHongbing Ji . Soft template-induced deep pore structure of Cu/Al2O3 for promoting plasma-catalyzed CO2 hydrogenation to DME. Acta Physico-Chimica Sinica, 2025, 41(6): 100054-0. doi: 10.1016/j.actphy.2025.100054

    20. [20]

      Xiaorui ChenXuan LuoTongming SuXinling XieLiuyun ChenYuejing BinZuzeng QinHongbing Ji . Ga-doped Cu/γ-Al2O3 bifunctional interface sites promote the direct hydrogenation of CO2 to DME. Acta Physico-Chimica Sinica, 2025, 41(10): 100126-0. doi: 10.1016/j.actphy.2025.100126

Metrics
  • PDF Downloads(10)
  • Abstract views(1394)
  • HTML views(187)

通讯作者: 陈斌, bchen63@163.com
  • 1. 

    沈阳化工大学材料科学与工程学院 沈阳 110142

  1. 本站搜索
  2. 百度学术搜索
  3. 万方数据库搜索
  4. CNKI搜索
Address:Zhongguancun North First Street 2,100190 Beijing, PR China Tel: +86-010-82449177-888
Powered By info@rhhz.net

/

DownLoad:  Full-Size Img  PowerPoint
Return