Citation: Tang Siyu, Qi Yayun, Hu Weinan, Chen Jie, Zhu Mei, Shao Lihui, Wang Zhenchao, Ouyang Guiping. Progress in Syntheses and Biological Activities of[1,2,4]Triazolo[3,4-b] [1,3,4]thiadiazine Derivatives[J]. Chemistry, ;2020, 83(6): 529-535. shu

Progress in Syntheses and Biological Activities of[1,2,4]Triazolo[3,4-b] [1,3,4]thiadiazine Derivatives

Figures(6)

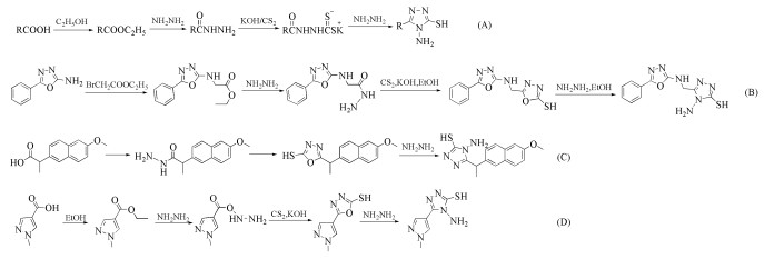
  • The[1,2,4]triazolo[3,4-b] [1,3,4]thiadiazine as a promising active group has received extensive attention because of its pharmacological activities in antibacterial, anti-tumor and other aspects in the field of medicine and chemistry. In this paper, based on the syntheses of compounds containing triazolidazide structure and their anti-tumor, antibacterial and other activities in recent years, the research on[1,2,4] triazolazine[3,4-b] [1,3,4] thiadiazine compounds was analyzed and summarized, so as to provide reference for the design and synthesis of these novel antitumor compounds.
  • 加载中
    1. [1]

      Lebouvier N, Pagniez F, Duflos M, et al. Bioorg. Med. Chem. Lett., 2007, 17(13): 3686~3689. 

    2. [2]

      Papadopoulou M V, Bloomer W D, Lepesheva G I, et al. J. Med. Chem., 2015, 58(3): 1307~1319. 

    3. [3]

      Akbarzadeh T, Tabatabai S A, Khoshnoud M J, et al. Bioorg. Med. Chem. Lett., 2003, 11(5): 769~773. 

    4. [4]

      Kritsanida M, Mouroutsou A, Marakos P, et al. Il Farmaco, 2002, 57(3): 253~257. 

    5. [5]

      Sarapultsev A, Chupakhin O, Sarapultsev P, et al. Pharmaceuticals, 2016, 9(2): 27. 

    6. [6]

      Sahu J K, Ganguly S, Kaushik A. J. Adv. Pharm. Technol. Res., 2014, 5(2): 90~95. 

    7. [7]

      Karegoudar P, Prasad D J, Ashok M, et al. Eur. J. Med. Chem., 2008, 43(4): 808~815. 

    8. [8]

      Kamal A, Khan M N A, Srikanth Y V V, et al. Bioorg. Med. Chem., 2008, 16(16): 7804~7810. 

    9. [9]

      Hussein M A, Shaker R M, Ameen M A, et al. Arch. Pharm. Res., 2011, 34(8): 1239~1250. 

    10. [10]

      Khan I, Ibrar A, Zaib S, et al. Bioorg. Med. Chem., 2014, 22(21): 6163~6173. 

    11. [11]

      Skoumbourdis A P, LeClair C A, Stefan E, et al. Bioorg. Med. Chem. Lett., 2009, 19(13): 3686~3692. 

    12. [12]

    13. [13]

    14. [14]

      El-Sayed R, Asghar B H. J. Heterocycl. Chem., 2014, 51(5): 1251~1256. 

    15. [15]

      Rayudu S V, Karmakar D, Kumar P, et al. Eur. J. Biomed. Pharm. Sci., 2016, 11: 212~216.

    16. [16]

      El-Husseiny W M, Magda A A, Abdel-Aziz N I, et al. Eur. J. Med. Chem., 2018, 158: 134~143. 

    17. [17]

      Reddy S R, Reddy C H, Satyanarayana B. Asian J. Chem., 2016, 28(8): 1708~1712. 

    18. [18]

      Thomas J, Shiradkar M, James J, et al. Am. J. PharmTech Res., 2017, 7(6): 95~111.

    19. [19]

      Zhang B, Li Y H, Liu Y, et al. Eur. J. Med. Chem., 2015, 103: 335~342. 

    20. [20]

      Ghattas A E B A G, Moustafa H M, Hassanein E A A, et al. Phosphorus Sulfur, 2012, 187(12): 1469~1481. 

    21. [21]

      Bakherad M, Keley V, Amin A H. J. Chem. Res., 2008, 2008(11): 633~634. 

    22. [22]

      Sujatha K, Vedula R R. J. Heterocycl. Chem., 2019, 56(3): 832~838. 

    23. [23]

      Skryl'nikova M A, Khramchikhin A V, Krivchun M N. Russ. J. Gen. Chem., 2017, 87(6): 1321~1322. 

    24. [24]

      Abdelrazek F M, Gomha S M, Shaaban M E B, et al. Synth. Commun., 2018, 48(1): 32~37. 

    25. [25]

      zil M, Bodur O, Vlker S, et al. Chem. Heterocycl. Compd., 2015, 51(1): 88~96. 

    26. [26]

      Khan I, Ibrar A, Zaib S, et al. Bioorg. Med. Chem., 2014, 22(21): 6163~6173. 

    27. [27]

      LaPorte M G, Wang Z, Colombo R, et al. Bioorg. Med. Chem. Lett., 2016, 26(15): 3581~3585. 

    28. [28]

      Kamal A, Khan M N A, Srikanth Y V V, et al. Bioorg. Med. Chem., 2008, 16(16): 7804~7810. 

    29. [29]

      Aouad M R, Al-Saedi A M H, Ali A A, et al. Org. Prep. Proced. Int., 2016, 48(4): 355~370. 

    30. [30]

      Damodhar S, Ravi G, Nath A R. Der Pharm. Sin., 2017, 7(1): 16~24.

    31. [31]

      Iradyan M A, Iradyan N S, Minasyan N S, et al. Pharm. Chem. J., 2016, 50(1): 10~15. 

    32. [32]

      Siddiqui N J, Idrees M, Khati T N, et al. Der Pharm. Sin., 2015, 6(11): 49~54.

    33. [33]

      Karegoudar P, Prasad D J, Ashok M, et al. Eur. J. Med. Chem., 2008, 43(4): 808~815. 

    34. [34]

      Haggam R A. Res. Chem. Int., 2016, 42(10): 7313~7328. 

    35. [35]

      El Shehry M F, Abu-Hashem A A, El-Telbani E M. Eur. J. Med. Chem., 2010, 45(5): 1906~1911. 

    36. [36]

      Skoumbourdis A P, LeClair C A, Stefan E, et al. Bioorg. Med. Chem. Lett., 2009, 19(13): 3686~3692. 

  • 加载中
    1. [1]

      Ping Song Nan Zhang Jie Wang Rui Yan Zhiqiang Wang Yingxue Jin . Experimental Teaching Design on Synthesis and Antitumor Activity Study of Cu-Pyropheophorbide-a Methyl Ester. University Chemistry, 2024, 39(6): 278-286. doi: 10.3866/PKU.DXHX202310087

    2. [2]

      Xiaotong LUPan ZHANGZijie ZHAOLei HUANGHongwei ZUOLili LIANG . Antitumor and antibacterial activities of pyridyl Schiff base indium and dysprosium complexes. Chinese Journal of Inorganic Chemistry, 2025, 41(8): 1523-1532. doi: 10.11862/CJIC.20250073

    3. [3]

      Xinting XIONGZhiqiang XIONGPanlei XIAOXuliang NIEXiuying SONGXiuguang YI . Synthesis, crystal structures, Hirshfeld surface analysis, and antifungal activity of two complexes Na(Ⅰ)/Cd(Ⅱ) assembled by 5-bromo-2-hydroxybenzoic acid ligands. Chinese Journal of Inorganic Chemistry, 2024, 40(9): 1661-1670. doi: 10.11862/CJIC.20240145

    4. [4]

      Hanxue LIUShijie LIMeng RENXuling XUEHongke LIU . Design and antitumor properties of dehydroabietic acid functionalized cyclometalated iridium(Ⅲ) complex. Chinese Journal of Inorganic Chemistry, 2025, 41(8): 1483-1494. doi: 10.11862/CJIC.20250031

    5. [5]

      Jiahao Zeng Hui Chao . 诱导程序性细胞死亡的金属抗肿瘤药物研究. University Chemistry, 2025, 40(6): 145-159. doi: 10.12461/PKU.DXHX202406019

    6. [6]

      Fa Wang Yu Chen Hui Chao . Ruthenium(II) Complexes as Photoactivated Chemo-Prodrugs for Hypoxic Tumor Therapy. University Chemistry, 2025, 40(7): 200-212. doi: 10.12461/PKU.DXHX202410024

    7. [7]

      Zimo Shen Tongwei Zhang Zhiyi Zhu Zonghao Gong Qing Feng Jinyi Yang Zhen Li Min Liu Wei Qi . From Alkaloid to Anticancer Agent: The Transformative Journey of Camptothecin. University Chemistry, 2025, 40(10): 161-165. doi: 10.12461/PKU.DXHX202411027

    8. [8]

      Peipei CUIYawen ZHENGPan LIPeiyan GUANZhaohong QIAN . Praseodymium-organic framework with 4, 4′-oxybis(benzoic acid): Rare broken layer structure, antibacterial activity, and sensing for Cd2+ ions. Chinese Journal of Inorganic Chemistry, 2025, 41(8): 1641-1649. doi: 10.11862/CJIC.20250152

    9. [9]

      Jing WUPuzhen HUIHuilin ZHENGPingchuan YUANChunfei WANGHui WANGXiaoxia GU . Synthesis, crystal structures, and antitumor activities of transition metal complexes incorporating a naphthol-aldehyde Schiff base ligand. Chinese Journal of Inorganic Chemistry, 2024, 40(12): 2422-2428. doi: 10.11862/CJIC.20240278

    10. [10]

      Jia JIZhaoyang GUOWenni LEIJiawei ZHENGHaorong QINJiahong YANYinling HOUXiaoyan XINWenmin WANG . Two dinuclear Gd(Ⅲ)-based complexes constructed by a multidentate diacylhydrazone ligand: Crystal structure, magnetocaloric effect, and biological activity. Chinese Journal of Inorganic Chemistry, 2025, 41(4): 761-772. doi: 10.11862/CJIC.20240344

    11. [11]

      Jian LiYu ZhangRongrong YanKaiyuan SunXiaoqing LiuZishang LiangYinan JiaoHui BuXin ChenJinjin ZhaoJianlin Shi . Highly Efficient, Targeted, and Traceable Perovskite Nanocrystals for Photoelectrocatalytic Oncotherapy. Acta Physico-Chimica Sinica, 2025, 41(5): 100042-0. doi: 10.1016/j.actphy.2024.100042

    12. [12]

      Yanfen PENGXinyue WANGTianbao LIUXiaoshuo WUYujing WEI . Syntheses and luminescence of four Cd(Ⅱ)/Zn(Ⅱ) complexes constructed by 1,3‐bis(4H‐1,2,4‐triazole)benzene. Chinese Journal of Inorganic Chemistry, 2025, 41(7): 1416-1426. doi: 10.11862/CJIC.20250018

    13. [13]

      Tianlong Zhang Rongling Zhang Hongsheng Tang Yan Li Hua Li . Online Monitoring and Mechanistic Analysis of 3,5-diamino-1,2,4-triazole (DAT) Synthesis via Raman Spectroscopy: A Recommendation for a Comprehensive Instrumental Analysis Experiment. University Chemistry, 2024, 39(6): 303-311. doi: 10.3866/PKU.DXHX202312006

    14. [14]

      Shuhui Li Rongxiuyuan Huang Yingming Pan . Electrochemical Synthesis of 2,5-Diphenyl-1,3,4-Oxadiazole: A Recommended Comprehensive Organic Chemistry Experiment. University Chemistry, 2025, 40(5): 357-365. doi: 10.12461/PKU.DXHX202407028

    15. [15]

      Lijuan Wang Yuping Ning Jian Li Sha Luo Xiongfei Luo Ruiwen Wang . Enhancing the Advanced Nature of Natural Product Chemistry Laboratory Courses with New Research Findings: A Case Study of the Application of Berberine Hydrochloride in Photodynamic Antimicrobial Films. University Chemistry, 2024, 39(11): 241-250. doi: 10.12461/PKU.DXHX202403017

    16. [16]

      Jichao XUMing HUXichang CHENChunhui WANGLeichen WANGLingyi ZHOUXing HEXiamin CHENGSu JING . Construction and hydrogen peroxide-activated chemodynamic activity of ferrocene?benzoselenadiazole conjugate. Chinese Journal of Inorganic Chemistry, 2025, 41(8): 1495-1504. doi: 10.11862/CJIC.20250144

    17. [17]

      He YaoWenhao JiYi FengChunbo QianChengguang YueYue WangShouying HuangMei-Yan WangXinbin Ma . Copper-catalyzed and biphosphine ligand controlled 3,4-boracarboxylation of 1,3-dienes with carbon dioxide. Chinese Chemical Letters, 2025, 36(4): 110076-. doi: 10.1016/j.cclet.2024.110076

    18. [18]

      You ZhouLi-Sheng WangShuang-Gui LeiBo-Cheng TangZhi-Cheng YuXing LiYan-Dong WuKai-Lu ZhengAn-Xin Wu . I2-DMSO mediated tetra-functionalization of enaminones for the construction of novel furo[2′,3′:4,5]pyrimido[1,2-b]indazole skeletons via in situ capture of ketenimine cations. Chinese Chemical Letters, 2025, 36(1): 109799-. doi: 10.1016/j.cclet.2024.109799

    19. [19]

      Guoxi YangHongji TanJieji ZhuQingxiao TongJingxin JianZhihai YangDeli LiDenghui LiuShijian Su . [1,2,4]Triazolo[1,5-a]pyridine as regulating unit with high horizontal orientation for efficient non-doped blue OLEDs with negligible efficiency roll-off. Chinese Chemical Letters, 2025, 36(8): 111138-. doi: 10.1016/j.cclet.2025.111138

    20. [20]

      Ziyang LongQuanzheng LiChengliang ZhangHaifeng Shi . BiVO4/WO3-x S-scheme heterojunctions with amplified internal electric field for boosting photothermal-catalytic activity. Acta Physico-Chimica Sinica, 2025, 41(10): 100122-0. doi: 10.1016/j.actphy.2025.100122

Metrics
  • PDF Downloads(5)
  • Abstract views(842)
  • HTML views(243)

通讯作者: 陈斌, bchen63@163.com
  • 1. 

    沈阳化工大学材料科学与工程学院 沈阳 110142

  1. 本站搜索
  2. 百度学术搜索
  3. 万方数据库搜索
  4. CNKI搜索
Address:Zhongguancun North First Street 2,100190 Beijing, PR China Tel: +86-010-82449177-888
Powered By info@rhhz.net

/

DownLoad:  Full-Size Img  PowerPoint
Return