Citation: SHI Lei, YU Yue, WANG Ji-yu, ZHANG Zhi-gang, XU Guang-wen. Recent advances of studies in ethyl methyl carbonate synthesis via transesterification process[J]. Journal of Fuel Chemistry and Technology, ;2019, 47(12): 1504-1521. shu

Recent advances of studies in ethyl methyl carbonate synthesis via transesterification process

  • Corresponding author: SHI Lei, shilei1982@dicp.ac.cn XU Guang-wen, gwxu@syuct.edu.cn
  • Received Date: 24 September 2019
    Revised Date: 6 November 2019

    Fund Project: the National Key Research and Development Program of China 2018YFB0604500Innovative Talents in University of Liaoning Province LR2016015The project was supported by the National Key Research and Development Program of China (2018YFB0604500), the National Natural Science Foundation of China (21303106) and Innovative Talents in University of Liaoning Province (LR2016015)the National Natural Science Foundation of China 21303106

Figures(9)

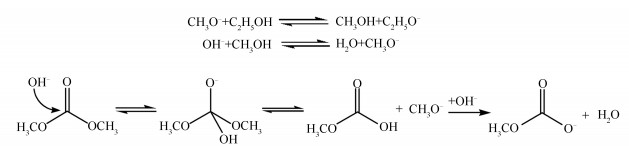
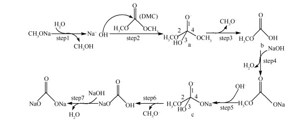
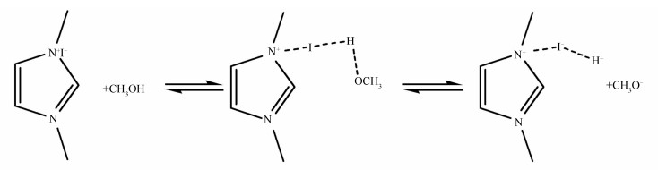
  • Ethyl methyl carbonate (EMC) has been widely used as a solvent in electrolyte of lithium-ion batteries due to its outstanding physico-chemical properties. The transesterification method has been industrially applied to produce EMC owing to its excellent efficiency, simple synthesis processing and high product purity. This article systematically reviewed the advances in EMC synthesis via the transesterification approach, including the thermodynamics, kinetics, homogeneous and heterogeneous catalysts, reaction mechanism and reaction engineering, particularly focusing on new progress in the last five years. For homogeneous catalysts, the relationship between alkali strength and catalytic efficiency was discussed based on pKb (alkalinity coefficient). The effects of different anion and cation structures on the catalytic performances of imidazole ionic liquids were also investigated. A possible deactivation mechanism of the sodium methoxide catalyst, which was widely applied in manufacture, was proposed. The effects of different preparation methods, surface acidity and basicity of heterogeneous catalysts on catalytic efficiency were critically reviewed and discussed. The advantages and disadvantages of as-reported catalysts with various types were carefully compared. The future studies should focus on the solid base catalyst with higher efficiency and three-phase catalytic distillation technology.
  • 加载中
    1. [1]

      LI Lin, ZHU Da-jian, XIONG Hui, LI Guang-xing. Synthesis of ethyl methyl carbonate by transesterification[J]. Chin J Synth Chem, 2004,12(2):197-200.  

    2. [2]

      CHEN Y, CHENG K, FENG W X, ZHANG Q J. Measurement and correlation of liquid-liquid equilibrium for quaternary systems of water + methanol or ethanol+ethyl methyl carbonate+heptane at 25 ℃[J]. J Chem Eng Data, 2017,62:2516-2520.  

    3. [3]

      ZHOU Zheng-ren. Some gasoline additives for increasing octane number[J]. Chem Eng, 1992,26:27-31.  

    4. [4]

      ZHOU H M, FANG Z Q, LI J. LiPF6 and lithium difluoro(oxalato)borate/ethylene carbonate + dimethyl carbonate + ethyl(methyl) carbonate electrolyte for Li4Ti5O12 anode[J]. J Power Sources, 2013,230:148-154.  

    5. [5]

      TASAKI K. Solvent decompositions and physical properties of decomposition compounds in Li-ion battery electrolytes studied by DFT calculations and molecular dynamics simulations[J]. J Phys Chem B, 2005,109(7):2920-2933.  

    6. [6]

      DING M S, LI Q Y, LI X, XU W, XU K. Effects of solvent composition on liquid range, glass transition, and conductivity of electrolytes of a (Li, Cs)PF6 salt in EC-PC-EMC solvents[J]. J Phys Chem C, 2017,121:11178-11183.  

    7. [7]

      DING M S, XU K, ZHANG S S, AMINE K, HENRIKSEN G L, JOW T R. Change of conductivity with salt content, solvent composition, and temperature for electrolytes of LiPF6 in ethylene carbonate-ethyl methyl carbonate[J]. J Electrochem Soc, 2001,148(10):1196-1204.  

    8. [8]

      HALL D S, SELF J, DAHN J R. Dielectric constants for quantum chemistry and Li-ion batteries:Solvent blends of ethylene carbonate and ethyl methyl carbonate[J]. J Phys Chem C, 2015,119(39):22322-22330.

    9. [9]

      XU Li-lin. Choosing and controlling the technical process of sythesizing ethyl methyl carbonate by exchanging of ester[J]. Anhui Chem Ind, 2006,32(4):35-37.  

    10. [10]

      BABAD H, ZEILER A G. The chemistry of phosgene[J]. Chem Rev, 1973,73(1):75-91.  

    11. [11]

      DYSON G M. Phosgene[J]. Chem Rev, 1927,4(1):109-165.  

    12. [12]

      MO Wan-ling, HUANG Rong-sheng, XIONG Hui, LIU Hai-tao, LI Guang-xing. Synthesis of methyl ethyl carbonate through oxidative carbonylation of methanol and ethanol catalyzed by CuCl/phenanthroline/methylimidazole[J]. Chin J Catal, 2004,25(3):243-246.  

    13. [13]

      GARICIA-HERRERO I, CUELLAR-FRANCA R M, ENRIQUEZ-GUTIERREZ V M, ALVAREZ-GUERRA M, IRABIEN A, AZAPAGIC A. Environmental assessment of dimethyl carbonate production:Comparison of a novel electrosynthesis route utilizing CO2 with a commercial oxidative carbonylation process[J]. ACS Sustainable Chem Eng, 2016,4:2088-2097.

    14. [14]

      HONDA M, TAMURA M, NAKAGAWA Y, NAKAO K, SUZUKI K, TOMISHIGE K. Organic carbonate synthesis from CO2 and alcohol over CeO2 with 2-cyanopyridine:Scope and mechanistic studies[J]. J Catal, 2014,318:95-107.

    15. [15]

      LUO H P, XIAO W D. A Reactive distillation process for a cascade and azeotropic reaction system:Carbonylation of ethanol with dimethyl carbonate[J]. Chem Eng Sci, 2001,56:403-410.

    16. [16]

      ZIELINSKA-NADOLSKA I, WARMUZINSKI K, RICHTER J. Zeolite and other heterogeneous catalysts for the transesterification reaction of dimethyl crbonate with ethanol[J]. Catal Today, 2006,114:226-230.

    17. [17]

      MEI F M, CHEN E X, LI G X, ZHANG A Q. Mg-Al-O-t-Bu hydrotalcite as an efficient catalyst for the transesterification of dimethyl carbonate with ethanol[J]. React Kinet Catal Lett, 2008,93(1):101-108.  

    18. [18]

      MEI F M, CHEN E X, LI G X. Lanthanum nitrate as an efficient and recoverable homogeneous catalyst for the transesterification of dimethyl carbonate with ethanol[J]. React Kinet Catal Lett, 2009,96(1):27-33.  

    19. [19]

      MURUGAN C, BAJAJ H C. Synthesis of diethyl carbonate from dimethyl carbonate and ethanol using KF/Al2O3 as an efficient solid base catalyst[J]. Fuel Process Technol, 2011,92:77-82.  

    20. [20]

      KELLER T, HOLTBRUEGGE J, NIESBACH A, GÓRAK A. Transesterification of dimethyl carbonate with ethanol to form ethyl methyl carbonate and diethyl carbonate:A comprehensive study on chemical equilibrium and reaction kinetics[J]. Ind Eng Chem Res, 2011,50:11073-11086.

    21. [21]

      KELLER T, HOLTBRUEGGE J, GÓRAK A. Transesterification of dimethyl carbonate with ethanol in a pilot-scale reactive distillation column[J]. Chem Eng J, 2012,180:309-322.  

    22. [22]

      WERTH K, LUTZE P, KISS A A, STANKIEWICZ A I, STEFANIDIS G D, GÓRAK A. A systematic investigation of microwave-assisted reactive distillation:Influence of microwaves on separation and reaction[J]. Chem Eng Process, 2015,93:87-97.

    23. [23]

      ZHENG L, CAI W F, ZHANG X B, WANG Y. Design and control of reactive dividing-wall column for the synthesis of diethyl carbonate[J]. Chem Eng Process, 2017,111:127-140.  

    24. [24]

      DESIDERY L, CHAEMCHEUN S, YUSUBOV M, VERPOORT F. Di-methyl carbonate transesterification with EtOH over MOFs:Basicity and synergic effect of basic and acid active sites[J]. Catal Commun, 2018,104:82-85.

    25. [25]

      SHEN Z L, JIANG X Z, ZHAO W J. A new catalytic transesterification for the synthesis of ethyl methyl carbonate[J]. Catal Lett, 2003,91(1/2):63-67.

    26. [26]

      PALANI A, GOKULAKRISHNAN N, PALANICHAMY M, PANDURANGAN A. Transesterification of dimethyl carbonate with diethyl carbonate over Al-Zn-MCM-41 and Al-MCM-41 molecular sieves[J]. Appl Catal A:Gen, 2006,304:152-158.

    27. [27]

      ZHOU Y X, SONG J L, LIANG S G, HU S Q, LIU H Z, JIANG T, HAN B X. Metal-organic frameworks as an acid catalyst for the synthesis of ethyl methyl carbonate via transesterification[J]. J Mol Catal A:Chem, 2009,308:68-72.

    28. [28]

      ZHAO G M, SHI J H, LIU G, LIU Y, WANG Z L, ZHANG W X, JIA M J. Efficient porous carbon-supported MgO catalysts for the transesterification of dimethyl carbonate with diethyl carbonate[J]. J Mol Catal A:Chem, 2010,327:32-37.

    29. [29]

      SHI J H, LIU G, FAN Z Q, NIE L Y, ZHANG Z H, ZHANG W X, HUO Q S, YAN W F, JIA M J. Amorphous mesoporous aluminophosphate as highly efficient heterogeneous catalysts for transesterification of diethyl carbonate with dimethyl carbonate[J]. Catal Commun, 2011,12:721-725.  

    30. [30]

      ZHOU X, ZHANG H P, WANG G Y, YAO Z G, TANG Y R, ZHENG S S. Zeolitic imidazolate framework as efficient heterogeneous catalyst for the synthesis of ethyl methyl carbonate[J]. J Mol Catal A:Chem, 2013,366:43-47.  

    31. [31]

      YANG L L, YU L, SUN M, GAO C. Zeolitic imidazolate framework-67 as an efficient heterogeneous catalyst for the synthesis of ethyl methyl carbonate[J]. Catal Commun, 2014,54:86-90.

    32. [32]

      WANG P X, LIU S M, MA X Y, HE Y, ALSHAMMARIC A S, DENG Y Q. Binary Mg-Fe oxide as a highly active and magnetically separable catalyst for the synthesis of ethyl methyl carbonate[J]. RSC Adv, 2015,5:25849-25856.  

    33. [33]

      ZHANG Xu. Advance in transesterification of dimethyl carbonate to methyl ethyl carbonate[J]. Ind Catal, 2016,24(10):16-20.  

    34. [34]

      GUO Deng-feng, LIU Na, LUO Shi-ping, XUE Bing. Thermodynamic analysis for synthesis of ethyl methyl carbonate from dimethyl carbonate and diethyl carbonate[J]. J Nanjing Univ Sci Technol, 2009,33(6):829-832.  

    35. [35]

      BENSON S W, CRUICKSHANK F R, GOLDEN D M, HAUGEN G R, O'NEAL H E, RODGERS A S, SHAW R, WALSH R. Additivity rules for the estimation of thermochemical properties[J]. Chem Rev, 1969,69(3):279-324.  

    36. [36]

      POLING B E, PRAUSNITZ J M, O'CONNELL J P. The Properties of Gases and Liquids[M]. ZHAO Hong-ling, WANG Feng-kun, CHEN Sheng-kun, et al. trans. 5nd ed. Beijing: Chem Ind Press, 2005: 45-182.

    37. [37]

      WANG Li-ping. Thermodynamic analysis of transesterification between dimethyl carbonate and ethanol[J]. Nat Gas Chem Ind, 2012,37(5):23-26.  

    38. [38]

      WANG Hong-xing, LI Hai-yong, ZHANG Xi, HUANG Zhi-xian, QIU Ting. Reaction kinetics of trans-esterification between dimethyl carbonate and ethanol[J]. J Chem Eng Chin Univ, 2014,28(3):580-585.  

    39. [39]

      ZHANG Yun-mao, SHAO Xiao-nan, LIU Wei-Hua, LIU Tao, LIU Yong. Kinetics of transesterification of dimethyl carbonate with diethyl carbonate catalyzed by basic ionic liquid[J]. Appl Chem Ind, 2016,45(11):2025-2028, 2033.  

    40. [40]

      YAO Jie, WANG Yue, ZENG Yi, WANG Gong-ying. Progress in catalysts of preparing methyl ethyl carbonate[J]. Nat Gas Chem Ind, 2004,29(1):57-59.  

    41. [41]

      YAO Jie, ZENG Yi, WANG Yue, WANG Gong-ying. A catalyst for preparing ethyl methyl carbonate by transesterification: CN1597113A[P]. 2005-03-23.

    42. [42]

      ANGELETTI E, TUNDO P, VENTURELLO P. Gas-liquid phase-transfer catalysis:Catalytic and continuous transesterification reaction[J]. J Org Chem, 1983,48(22):4106-4108.

    43. [43]

      http://www.periodensystem-online.de/index.php?show=list&id=acid&prop=pKb-Werte&sel=oz&el=92

    44. [44]

      ZHAO H, MALHOTRA S V. Applications of ionic liquids in organic synthesis[J]. Aldrichim Acta, 2002,35(3):75-83.  

    45. [45]

      ZHAO H, XIA S Q, MA P S. Review:Use of ionic liquids as "green" solvents for extractions[J]. J Chem Technol Biotechnol, 2005,80:1089-1096.  

    46. [46]

      WASSERSCHEID P, KEIM W. Ionic liquids-New "Solutions" for transition metal catalysis[J]. Angew Chem Int Ed, 2000,39:3772-3789.  

    47. [47]

      WANG Ji-yu, ZHANG Zhi-gang, YAO Jie, CHEN Fei, SHI Lei. Catalytic performance of alkyl-imidazole-halides on transesterification of dimethyl carbonate with ethanol[J]. Chem Res Appl, 2019,31(6):1041-1046.  

    48. [48]

      QI Hu, XUE Bing, XU Jie, SUN Hai-nan, ZHOU Xiao-lei, LI Yong-xin. Ionic liquids as efficient catalysts for the synthesis of ethyl methyl carbonate via transesterification of dimethyl carbonate and ethanol[J]. Ind Catal, 2013,21(2):58-62.  

    49. [49]

      XUE Bing, QI Hu, LI Yong-xin, XU Jie. A method for synthesizing methyl ethyl carbonate: CN, 102850223B[P]. 2014-10-29.

    50. [50]

      XUE Bing, SU Jin, LI Yong-xin, QI Hu, XU Jie. A method for synthesizing methyl ethyl carbonate by transesterification of dimethyl carbonate and diethyl carbonate: CN, 102863339B[P]. 2015-10-14.

    51. [51]

      LI Yong-xin, GUO Jing, XUE Bing, QI Hu, XU Jie. A method for transesterification of diethyl carbonate and methanol to synthesize ethyl methyl carbonate: CN, 102850224A[P]. 2013-01-02.

    52. [52]

      LIU Yong, LIU Tao, CHEN Wei-ping. Sythesis of ethyl methyl carbonate catalyzed by basic ionic liquids[J]. Chem Res, 2015,26(1):19-22.  

    53. [53]

      SUN Wei-min. Preparation of ethyl methyl carbonate via transesterification catalyzed by ionic liquid[J]. New Chem Mater, 2015,43(8):207-209.  

    54. [54]

      LI Jian-hua, MEI Fu-ming, CHEN E-xiang. Synthesis of diethyl carbonate through transesterification of dimethyl carbonate with ethanol catalyzed by lanthanum compounds[J]. J Wuhan Uni Sci Technol, 2014,37(5):371-374.  

    55. [55]

      ZHUO Guang-lan, SHEN Zhen-lu, JIANG Xuan-zhen. Synthesis of ethyl methyl carbonate by homogeneous catalysis[J]. Chin J Catal, 2004,25(3):171-172.  

    56. [56]

      XUE Bing, WU Hao, LIU Na, LI Yong-xin. Catalyst for synthesizing methyl ethyl carbonate by transesterification and preparation method: CN, 105289722B[P]. 2017-08-01.

    57. [57]

      YANG Yan-zhao, WANG Jun. A method for synthesizing ethyl methyl carbonate: CN, 103214373B[P]. 2014-08-06.

    58. [58]

      LIU Na, XUE Bing. Study on the synthesis of methyl ethyl carbonate by transesterification of diethyl carbonate with dimethyl carbonate[J]. Chem World, 2011,52(3):172-174, 154.  

    59. [59]

      CHEN Ying, HAN Jin-yu, LIU Yan-ping. Clean synthesis of ethyl methyl carbonate over solid alkali catalysts[J]. J Tianjin Univ, 2007,40(3):285-288.  

    60. [60]

      LV J H, CAI H H, GUO Y, LIU W R, TAO N, WANG H F, LIU J D. Selective synthesis of ethyl methyl carbonate via catalytic reactive distillation over heterogeneous MgO/HZSM-5[J]. Chem Select, 2019,4:7366-7370.  

    61. [61]

      WANG J, HAN L, WANG S P, ZHANG J C, YANG Y Z. Magnesium aluminum spinel as an acid-base catalyst for transesterification of diethyl carbonate with dimethyl carbonate[J]. Catal Lett, 2014,144(9):1602-1608.  

    62. [62]

      CHEN Y, HAN J Y, ZHANG H T. Facile synthesis and characterization of acid-base bifunctionalized mesoporous silica[J]. Appl Surf Sci, 2008,254:5967-5974.  

    63. [63]

      MIAO Y N, WANG Y, PAN D H, SONG X H, XU S Q, GAO L J, XIAO G M. Zn-Co@N-doped carbon derived from ZIFs for high-efficiency synthesis of ethyl methyl carbonate:The formation of ZnO and the interaction between Co and Zn[J]. Catalysts, 2019,9(94):1-15.

    64. [64]

      SRIVASTAVA R, SRINIVAS D, RATNASAMY P. Fe-Zn double-metal cyanide complexes as novel, solid transesterification catalysts[J]. J Catal, 2006,241:34-44.  

    65. [65]

      KAYE S S, DAILLY A, YAGHI O M, LONG J R. Impact of preparation and handling on the hydrogen storage properties of Zn4O(1, 4-benzenedicarboxylate)3(MOF-5)[J]. J Am Chem Soc, 2007,129:14176-14177.

    66. [66]

      YANG L L, LI C, LV J M, ZHAN S J, FENG T Y. Synthesis of ethyl methyl carbonate via transesterification over molecular sieves and ZIF-8[J]. Mater Sci Eng, 2019,490(2)022013.  

    67. [67]

      YAN Zhi-jun, XU Li-lin. Study on the production process of ethyl methyl carbonate with transesterification[J]. Anhui Chem Ind, 2010,36(5):38-39.  

    68. [68]

      LIANG Zhi-guang, CAI Wang-feng, ZHANG Xu-bing, WANG Fu-min. Design and optimization of reactive distillation process of methyl ethyl carbonate[J]. Mod Chem Ind, 2016,36(12):146-149.  

    69. [69]

      WANG Hong-wei, KONG Wang-xin, ZHAI Xin-yang, WANG Wei-jiang, JIAN Chun-gui, JIAN Jie. Removal of light components in the crude ethyl methyl carbonate derived from transesterification by batch distillation[J]. Speciality Petrochemicals, 2018,35(2):51-54.  

    70. [70]

      SUN Lan-yi, HOU Ya-fei, LI Yuan, YU Na, ZHU Min-yan. Method and device for producing methyl ether by azeotropic distillation: CN, 106748792A[P]. 2017-5-21.

    71. [71]

      JIA Feng-lei, YANG Peng-fei. A reaction production device of methyl ethyl carbonate: CN, 209508098U[P]. 2019-10-18.

    72. [72]

      DONG Ying, XIAO Ying, HUANG Yao-dong, BAI Peng. Separation of binary azeotrope ethanol-dimethyl carbonate by extractive distillation[J]. Chem Ind Eng Prog, 2013,32(4):750-756.  

    73. [73]

      LIU Li-xin, LI Lu-min, LIU Gui-li, HE Kang, SUN Lan-yi. Comparison of alternative configurations for separation of dimethyl carbonate-methanol mixture:steady state simulation and dynamic control[J]. Chem Ind Eng Prog, 2017,36(3):852-862.  

    74. [74]

      JIN Biao, WANG Lu-lu, WANG Ji-lin. Extractive distillation of methonal-dimethyl carbonate azeotrope[J]. Nat Gas Chem Ind, 2015,40(5):34-37.

    75. [75]

      BI Li-jun, QIAN Hong-yi, OU Jin-yong, QIN Jian-huang. Separation of methanol and methyl carbonate with atmospheric-pressurized-atmospheric three-column process[J]. Shandong Chem Ind, 2019,48(8):155-160.  

    76. [76]

      YAO Lin-xiang, LIU Zhen-feng, SONG Huai-jun, REN Bao-zeng. Simulation of pressure swing distillation technology process for dimethyl carbonate and methanol separation[J]. Henan Chem Ind, 2013,30(4):32-35.  

    77. [77]

      SHI Lei, FAN Jia-qi. A process of homogeneous coupling heterogeneous catalysis for the production of ethyl methyl carbonate: CN, 109503375A[P]. 2019-03-22.

  • 加载中
    1. [1]

      Heng Zhang . Determination of All Rate Constants in the Enzyme Catalyzed Reactions Based on Michaelis-Menten Mechanism. University Chemistry, 2024, 39(4): 395-400. doi: 10.3866/PKU.DXHX202310047

    2. [2]

      Jiajie Li Xiaocong Ma Jufang Zheng Qiang Wan Xiaoshun Zhou Yahao Wang . Recent Advances in In-Situ Raman Spectroscopy for Investigating Electrocatalytic Organic Reaction Mechanisms. University Chemistry, 2025, 40(4): 261-276. doi: 10.12461/PKU.DXHX202406117

    3. [3]

      Ronghao Zhao Yifan Liang Mengyao Shi Rongxiu Zhu Dongju Zhang . Investigation into the Mechanism and Migratory Aptitude of Typical Pinacol Rearrangement Reactions: A Research-Oriented Computational Chemistry Experiment. University Chemistry, 2024, 39(4): 305-313. doi: 10.3866/PKU.DXHX202309101

    4. [4]

      Mahmoud SayedHan LiChuanbiao Bie . Challenges and prospects of photocatalytic H2O2 production. Acta Physico-Chimica Sinica, 2025, 41(9): 100117-0. doi: 10.1016/j.actphy.2025.100117

    5. [5]

      Wentao Lin Wenfeng Wang Yaofeng Yuan Chunfa Xu . Concerted Nucleophilic Aromatic Substitution Reactions. University Chemistry, 2024, 39(6): 226-230. doi: 10.3866/PKU.DXHX202310095

    6. [6]

      Zhi Chai Huashan Huang Xukai Shi Yujing Lan Zhentao Yuan Hong Yan . Wittig反应的立体选择性. University Chemistry, 2025, 40(8): 192-201. doi: 10.12461/PKU.DXHX202410046

    7. [7]

      Bolin Sun Jie Chen Ling Zhou . 乙烯型卤代烃的亲核取代反应. University Chemistry, 2025, 40(8): 152-157. doi: 10.12461/PKU.DXHX202410032

    8. [8]

      Hongting Yan Aili Feng Rongxiu Zhu Lei Liu Dongju Zhang . Reexamination of the Iodine-Catalyzed Chlorination Reaction of Chlorobenzene Using Computational Chemistry Methods. University Chemistry, 2025, 40(3): 16-22. doi: 10.12461/PKU.DXHX202403010

    9. [9]

      Aili Feng Xin Lu Peng Liu Dongju Zhang . Computational Chemistry Study of Acid-Catalyzed Esterification Reactions between Carboxylic Acids and Alcohols. University Chemistry, 2025, 40(3): 92-99. doi: 10.12461/PKU.DXHX202405072

    10. [10]

      Guowen Xing Guangjian Liu Le Chang . Five Types of Reactions of Carbonyl Oxonium Intermediates in University Organic Chemistry Teaching. University Chemistry, 2025, 40(4): 282-290. doi: 10.12461/PKU.DXHX202407058

    11. [11]

      Ling Fan Meili Pang Yeyun Zhang Yanmei Wang Zhenfeng Shang . Quantum Chemistry Calculation Research on the Diels-Alder Reaction of Anthracene and Maleic Anhydride: Introduction to a Computational Chemistry Experiment. University Chemistry, 2024, 39(4): 133-139. doi: 10.3866/PKU.DXHX202309024

    12. [12]

      Jiabo Huang Quanxin Li Zhongyan Cao Li Dang Shaofei Ni . Elucidating the Mechanism of Beckmann Rearrangement Reaction Using Quantum Chemical Calculations. University Chemistry, 2025, 40(3): 153-159. doi: 10.12461/PKU.DXHX202405172

    13. [13]

      Yiying Yang Dongju Zhang . Elucidating the Concepts of Thermodynamic Control and Kinetic Control in Chemical Reactions through Theoretical Chemistry Calculations: A Computational Chemistry Experiment on the Diels-Alder Reaction. University Chemistry, 2024, 39(3): 327-335. doi: 10.3866/PKU.DXHX202309074

    14. [14]

      Yeyun Zhang Ling Fan Yanmei Wang Zhenfeng Shang . Development and Application of Kinetic Reaction Flasks in Physical Chemistry Experimental Teaching. University Chemistry, 2024, 39(4): 100-106. doi: 10.3866/PKU.DXHX202308044

    15. [15]

      Jiageng Li Putrama . 数值积分耦合非线性最小二乘法一步确定反应动力学参数. University Chemistry, 2025, 40(6): 364-370. doi: 10.12461/PKU.DXHX202407098

    16. [16]

      Ruming Yuan Pingping Wu Laiying Zhang Xiaoming Xu Gang Fu . Patriotic Devotion, Upholding Integrity and Innovation, Wholeheartedly Nurturing the New: The Ideological and Political Design of the Experiment on Determining the Thermodynamic Functions of Chemical Reactions by Electromotive Force Method. University Chemistry, 2024, 39(4): 125-132. doi: 10.3866/PKU.DXHX202311057

    17. [17]

      Xuzhen Wang Xinkui Wang Dongxu Tian Wei Liu . Enhancing the Comprehensive Quality and Innovation Abilities of Graduate Students through a “Student-Centered, Dual Integration and Dual Drive” Teaching Model: A Case Study in the Course of Chemical Reaction Kinetics. University Chemistry, 2024, 39(6): 160-165. doi: 10.3866/PKU.DXHX202401074

    18. [18]

      Dexin Tan Limin Liang Baoyi Lv Huiwen Guan Haicheng Chen Yanli Wang . Exploring Reverse Teaching Practices in Physical Chemistry Experiment Courses: A Case Study on Chemical Reaction Kinetics. University Chemistry, 2024, 39(11): 79-86. doi: 10.12461/PKU.DXHX202403048

    19. [19]

      Linlin Wu Yonghua Zhou Zhongbei Li Liu Deng Younian Liu Limiao Chen Jianhan Huang . Digital Education Promoting Applied Chemistry Comprehensive Experiments: A Case Study of Catalytic Oxidation of Hydrogen Chloride and Reaction Kinetics. University Chemistry, 2025, 40(9): 273-278. doi: 10.12461/PKU.DXHX202411018

    20. [20]

      Xinyu XuJiale LuBo SuJiayi ChenXiong ChenSibo Wang . Steering charge dynamics and surface reactivity for photocatalytic selective methane oxidation to ethane over Au/Ti-CeO2. Acta Physico-Chimica Sinica, 2025, 41(11): 100153-0. doi: 10.1016/j.actphy.2025.100153

Metrics
  • PDF Downloads(31)
  • Abstract views(2230)
  • HTML views(262)

通讯作者: 陈斌, bchen63@163.com
  • 1. 

    沈阳化工大学材料科学与工程学院 沈阳 110142

  1. 本站搜索
  2. 百度学术搜索
  3. 万方数据库搜索
  4. CNKI搜索
Address:Zhongguancun North First Street 2,100190 Beijing, PR China Tel: +86-010-82449177-888
Powered By info@rhhz.net

/

DownLoad:  Full-Size Img  PowerPoint
Return