Citation: CHI Gui-long, SHEN Bo-xiong, ZHU Shao-wen, HE Chuan. Oxidation of elemental mercury over modified SCR catalysts[J]. Journal of Fuel Chemistry and Technology, ;2016, 44(6): 763-768. shu

Oxidation of elemental mercury over modified SCR catalysts

  • Corresponding author: SHEN Bo-xiong, shenboxiong0722@sina.com
  • Received Date: 12 January 2016
    Revised Date: 17 March 2016

Figures(6)

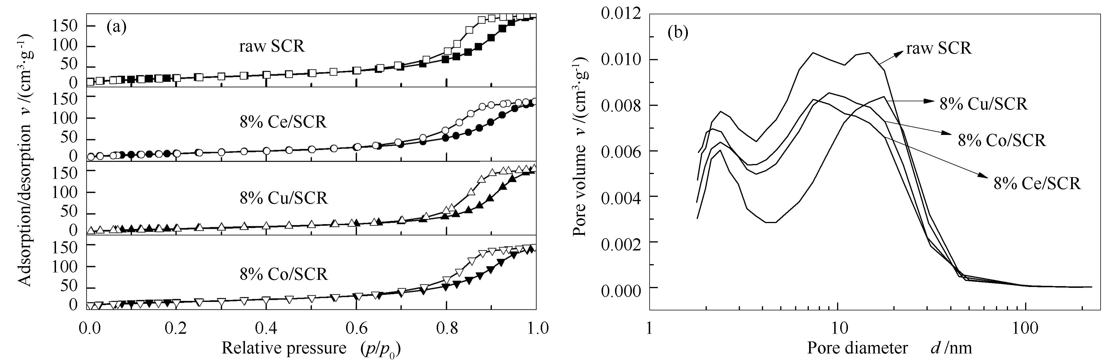
  • The oxidation activity of elemental mercury (Hg0) by transition metal modified SCR catalysts was investigated by using the simulated SCR reactor. The physical and chemical properties of the catalysts were characterized by N2 adsorption-desorption and X-ray diffraction (XRD). The results show that the specific surface area and total pore volume of the catalysts are decreased after the modification by metal oxide. However, the pore structure and distribution after modification have little variation. The weak diffraction peaks of transition metal oxide can be seen from the XRD pattern. Both 8% Ce/SCR and 8% Cu/SCR catalysts show a relatively stable and high Hg0 oxidation efficiency, while the oxidation activity of the 8% Co/SCR catalyst is greatly influenced by temperature. The modified SCR catalysts have an excellent catalytic performance for the Hg0 oxidation under a lower concentration of NH3 and NO. And the Hg0 oxidation efficiency is promoted significantly in the presence of HCl. On the contrary, there is little improvement in the Hg0 oxidation by HCl at the condition of higher concentration of NH3 and NO.
  • 加载中
    1. [1]

      LI P, FENG X B, QIU G L, SHANG L H, LI Z G. Mercury pollution in Asia:A review of the contaminated sites[J]. J Hazrad Mater, 2009,168(2/3):591-601.  

    2. [2]

      SENIOR C L, HELBLE J J, SAROFIM A F. Emissions of mercury, trace elements, and fine particles from stationary combustion sources[J]. Fuel Process Technol, 2000,65-66(0):263-288.

    3. [3]

      PRESTO A A, GRANITE0 E J. Survey of catalysts for oxidation of mercury in flue gas[J]. Environ Sci Technol, 2006,40(18):5601-5609. doi: 10.1021/es060504i

    4. [4]

      LIU Ling, DUAN Yu-feng, WANG Yun-jun, WANG Hui, YIN Jian-jun. Experimental study on mercury release behavior and speciation during pyrolysis of two different coals[J]. J Fuel Chem Technol, 2010,38(2):134-139. doi: 10.1016/S1872-5813(10)60026-6 

    5. [5]

      PENG Y, SI W Z, LI X, LUO J M, LI J H, CRITTENDEN J, HAO J M. Comparison of MoO3 and WO3 on arsenic poisoning V2O5/TiO2 catalyst:DRIFTS and DFT study[J]. Appl Catal B:Environ, 2016,181:692-698. doi: 10.1016/j.apcatb.2015.08.030

    6. [6]

      PUDASAINEE D, LEE S J, LEE S H, KIM J H, JANG H N, CHO S J, SEO Y C. Effect of selective catalytic reactor on oxidation and enhanced removal of mercury in coal-fired power plants[J]. Fuel, 2010,89(4):804-809. doi: 10.1016/j.fuel.2009.06.022

    7. [7]

      CAO Y, GAO Z Y, ZHU J S, WANG Q H, HUANG Y J, CHIU C C, PARKER B, CHU P, PAN W P. Impacts of halogen additions on mercury oxidation, in a slipstream selective catalyst reduction (SCR), reactor when burning sub-bituminous coal[J]. Environ Sci Technol, 2008,42(1):256-261. doi: 10.1021/es071281e

    8. [8]

      CAO Y, C B, WU J, CUI H, SMITH J, CHEN C K, CH UP, PAN W P. Study of mercury oxidation by a selective catalytic reduction catalyst in a pilot-scale slipstream reactor at a utility boiler burning bituminous coal[J]. Energy Fuels, 2007,21:145-156. doi: 10.1021/ef0602426

    9. [9]

      YANG H M, PAN W P. Transformation of mercury speciation through the SCR system in power plants[J]. J Environ Sci, 2007,19(2):181-184. doi: 10.1016/S1001-0742(07)60029-1

    10. [10]

      SENIOR C L. Oxidation of mercury across selective catalytic reduction catalysts in coal-fired power plants[J]. J Air Waste Manage, 2006,56(1):23-31. doi: 10.1080/10473289.2006.10464437

    11. [11]

      KAMATA H, UENO S I, NAITO T, YUKIMURA A. Mercury oxidation over the V2O5(WO3)/TiO2 commercial SCR catalyst[J]. Ind Eng Chem Res, 2008,47(21):8136-8141. doi: 10.1021/ie800363g

    12. [12]

      YANG J, YANG Q, SUN J, LIU Q C, ZHAO D, GAO W, LIU L. Effects of mercury oxidation on V2O5-WO3/TiO2 catalyst properties in NH3-SCR process[J]. Catal Commun, 2015,59:78-82. doi: 10.1016/j.catcom.2014.09.049

    13. [13]

      LI Jian-rong, HE Chi, SHANG Xue-song, CHEN Jin-sheng, YU Xiao-wei, YAO Yuan-jun. Oxidation efficiency of elemental mercury in flue gas by SCR De-NOx catalysts[J]. J Fuel Chem Technol, 2012,40(2):241-246. doi: 10.1016/S1872-5813(12)60012-7 

    14. [14]

      LI H L, LI Y, WU C Y, ZHANG J Y. Oxidation and capture of elemental mercury over SiO2-TiO2-V2O5 catalysts in simulated low-rank coal combustion flue gas[J]. Chem Eng J, 2011,169(1/3):186-193.

    15. [15]

      LI H L, WU C Y, LI Y, ZHANG J Y. Superior activity of MnOx-CeO2/TiO2 catalyst for catalytic oxidation of elemental mercury at low flue gas temperatures[J]. Appl Catal B:Environ, 2012,111-112:381-388. doi: 10.1016/j.apcatb.2011.10.021

    16. [16]

      XU W X, WANG H R, ZHOU X, ZHU T Y. CuO/TiO2 catalysts for gas-phase Hg0 catalytic oxidation[J]. Chem Eng J, 2014,243:380-385. doi: 10.1016/j.cej.2013.12.014

    17. [17]

      LI H L, WU S K, WU C Y, WANG J, LI L Q, SHIH K. SCR atmosphere induced reduction of oxidized mercury over CuO/CeO2-TiO2 catalyst[J]. Environ Sci Technol, 2015,49(12):7373-7379. doi: 10.1021/acs.est.5b01104

    18. [18]

      DRANGA B A, KOESER H. Increased co-oxidation activity for mercury under hot and cold site coal power plant conditions-Preparation and evaluation of Au/TiO2-coated SCR-DeNOx catalysts[J]. Appl Catal B:Environ, 2015,166-167:302-312. doi: 10.1016/j.apcatb.2014.11.018

    19. [19]

      WANG P Y, SU S, XIANG J, CAO F, SUN L S, HU S, LEI S Y. Catalytic oxidation of Hg0 by CuO-MnO2-Fe2O3/γ-Al2O3 catalyst[J]. Chem Eng J, 2013,225(0):68-75.

    20. [20]

      WEN X Y, LI C T, FAN X P, GAO H L, ZHANG W, CHEN L, ZENG G M, ZHAO Y P. Experimental study of gaseous elemental mercury removal with CeO2/γ-Al2O3[J]. Energy Fuels, 2011,25(7):2939-2944. doi: 10.1021/ef200144j

    21. [21]

      XIE Y N, LI C T, ZHAO L K, ZHANG J, ZENG G M, ZHANG X N, ZHANG W, TAO S S. Experimental study on Hg0 removal from flue gas over columnar MnOx-CeO2/activated coke[J]. Appl Surf Sci, 2015,333:59-67. doi: 10.1016/j.apsusc.2015.01.234

    22. [22]

      WANG J W, YANG J L, LIU Z Y. Gas-phase elemental mercury capture by a V2O5/AC catalyst[J]. Fuel Process Technol, 2010,91(6):676-680. doi: 10.1016/j.fuproc.2010.01.017

    23. [23]

      ZHAO Li, HE Qing-song, LI Lin, LU Qiang, DONG Chang-qing, YANG Yong-ping. Research on the catalytic oxidation of Hg0 by modified SCR catalysts[J]. J Fuel Chem Technol, 2015,43(5):628-634. doi: 10.1016/S1872-5813(15)30018-9 

    24. [24]

      LIU Y, WANG Y J, WANG H Q, WU Z B. Catalytic oxidation of gas-phase mercury over Co/TiO2 catalysts prepared by sol-gel method[J]. Catal Commun, 2011,12(14):1291-1294. doi: 10.1016/j.catcom.2011.04.017

    25. [25]

      HONG H J, HAM S W, KIM M H, LEE S M, LEE J B. Characteristics of commercial selective catalytic reduction catalyst for the oxidation of gaseous elemental mercury with respect to reaction conditions[J]. Korean J Chem Eng, 2010,27(4):1117-1122. doi: 10.1007/s11814-010-0175-x

    26. [26]

      LEE W, BAE G N. Removal of elemental mercury (Hg (0)) by nanosized V2O5/TiO2 catalysts[J]. Environ Sci Technol, 2009,43(5):1522-1527. doi: 10.1021/es802456y

    27. [27]

      GAO X, JIANG Y, ZHONG Y, LUO Z Y, CEN K F. The activity and characterization of CeO2-TiO2 catalysts prepared by the sol-gel method for selective catalytic reduction of NO with NH3[J]. J Hazrad Mater, 2010,174:734-739. doi: 10.1016/j.jhazmat.2009.09.112

  • 加载中
    1. [1]

      Huiwei DingBo PengZhihao WangQiaofeng Han . Advances in Metal or Nonmetal Modification of Bismuth-Based Photocatalysts. Acta Physico-Chimica Sinica, 2024, 40(4): 2305048-0. doi: 10.3866/PKU.WHXB202305048

    2. [2]

      Bing WEIJianfan ZHANGZhe CHEN . Research progress in fine tuning of bimetallic nanocatalysts for electrocatalytic carbon dioxide reduction. Chinese Journal of Inorganic Chemistry, 2025, 41(3): 425-439. doi: 10.11862/CJIC.20240201

    3. [3]

      Shijie RenMingze GaoRui-Ting GaoLei Wang . Bimetallic Oxyhydroxide Cocatalyst Derived from CoFe MOF for Stable Solar Water Splitting. Acta Physico-Chimica Sinica, 2024, 40(7): 2307040-0. doi: 10.3866/PKU.WHXB202307040

    4. [4]

      Wentao XuXuyan MoYang ZhouZuxian WengKunling MoYanhua WuXinlin JiangDan LiTangqi LanHuan WenFuqin ZhengYoujun FanWei Chen . Bimetal Leaching Induced Reconstruction of Water Oxidation Electrocatalyst for Enhanced Activity and Stability. Acta Physico-Chimica Sinica, 2024, 40(8): 2308003-0. doi: 10.3866/PKU.WHXB202308003

    5. [5]

      Kangjuan ChengChunxiao LiuYoupeng WangQiu JiangTingting ZhengXu LiChuan Xia . Design of noble metal catalysts and reactors for the electrosynthesis of hydrogen peroxide. Acta Physico-Chimica Sinica, 2025, 41(10): 100112-0. doi: 10.1016/j.actphy.2025.100112

    6. [6]

      Zhanggui DUANYi PEIShanshan ZHENGZhaoyang WANGYongguang WANGJunjie WANGYang HUChunxin LÜWei ZHONG . Preparation of UiO-66-NH2 supported copper catalyst and its catalytic activity on alcohol oxidation. Chinese Journal of Inorganic Chemistry, 2024, 40(3): 496-506. doi: 10.11862/CJIC.20230317

    7. [7]

      Qinhui GuanYuhao GuoNa LiJing LiTingjiang Yan . Molecular sieve-mediated indium oxide catalysts for enhancing photocatalytic CO2 hydrogenation. Acta Physico-Chimica Sinica, 2025, 41(11): 100133-0. doi: 10.1016/j.actphy.2025.100133

    8. [8]

      Fangxuan LiuZiyan LiuGuowei ZhouTingting GaoWenyu LiuBin Sun . 中空结构光催化剂. Acta Physico-Chimica Sinica, 2025, 41(7): 100071-0. doi: 10.1016/j.actphy.2025.100071

    9. [9]

      Qingqing SHENXiangbowen DUKaicheng QIANZhikang JINZheng FANGTong WEIRenhong LI . Self-supporting Cu/α-FeOOH/foam nickel composite catalyst for efficient hydrogen production by coupling methanol oxidation and water electrolysis. Chinese Journal of Inorganic Chemistry, 2024, 40(10): 1953-1964. doi: 10.11862/CJIC.20240028

    10. [10]

      Zhiquan ZhangBaker RhimiZheyang LiuMin ZhouGuowei DengWei WeiLiang MaoHuaming LiZhifeng Jiang . Insights into the Development of Copper-Based Photocatalysts for CO2 Conversion. Acta Physico-Chimica Sinica, 2024, 40(12): 2406029-0. doi: 10.3866/PKU.WHXB202406029

    11. [11]

      Qing LiGuangxun ZhangYuxia XuYangyang SunHuan Pang . P-Regulated Hierarchical Structure Ni2P Assemblies toward Efficient Electrochemical Urea Oxidation. Acta Physico-Chimica Sinica, 2024, 40(9): 2308045-0. doi: 10.3866/PKU.WHXB202308045

    12. [12]

      Hailang JIAPengcheng JIHongcheng LI . Preparation and performance of nickel doped ruthenium dioxide electrocatalyst for oxygen evolution. Chinese Journal of Inorganic Chemistry, 2025, 41(8): 1632-1640. doi: 10.11862/CJIC.20240398

    13. [13]

      Yuying JIANGJia LUOZhan GAO . Development status and prospects of solid oxide cell high entropy electrode catalysts. Chinese Journal of Inorganic Chemistry, 2025, 41(9): 1719-1730. doi: 10.11862/CJIC.20250124

    14. [14]

      Lina GuoRuizhe LiChuang SunXiaoli LuoYiqiu ShiHong YuanShuxin OuyangTierui Zhang . Effect of Interlayer Anions in Layered Double Hydroxides on the Photothermocatalytic CO2 Methanation of Derived Ni-Al2O3 Catalysts. Acta Physico-Chimica Sinica, 2025, 41(1): 100002-0. doi: 10.3866/PKU.WHXB202309002

    15. [15]

      Yuchen ZhouHuanmin LiuHongxing LiXinyu SongYonghua TangPeng Zhou . Designing thermodynamically stable noble metal single-atom photocatalysts for highly efficient non-oxidative conversion of ethanol into high-purity hydrogen and value-added acetaldehyde. Acta Physico-Chimica Sinica, 2025, 41(6): 100067-0. doi: 10.1016/j.actphy.2025.100067

    16. [16]

      Hailian TangSiyuan ChenQiaoyun LiuGuoyi BaiBotao QiaoLiu Fei . Stabilized Rh/hydroxyapatite Catalyst for Furfuryl Alcohol Hydrogenation: Application of Oxidative Strong Metal-Support Interactions in Reducing Conditions. Acta Physico-Chimica Sinica, 2025, 41(4): 100036-0. doi: 10.3866/PKU.WHXB202408004

    17. [17]

      Peng YUELiyao SHIJinglei CUIHuirong ZHANGYanxia GUO . Effects of Ce and Mn promoters on the selective oxidation of ammonia over V2O5/TiO2 catalyst. Chinese Journal of Inorganic Chemistry, 2025, 41(2): 293-307. doi: 10.11862/CJIC.20240210

    18. [18]

      Wang WangYucheng LiuShengli Chen . Use of NiFe Layered Double Hydroxide as Electrocatalyst in Oxygen Evolution Reaction: Catalytic Mechanisms, Electrode Design, and Durability. Acta Physico-Chimica Sinica, 2024, 40(2): 2303059-0. doi: 10.3866/PKU.WHXB202303059

    19. [19]

      Jiali LeiJuan WangWenhui ZhangGuohong WangZihui LiangJinmao Li . TiO2/CdIn2S4 S-scheme heterojunction photocatalyst promotes photocatalytic hydrogen evolution coupled vanillyl alcohol oxidation. Acta Physico-Chimica Sinica, 2025, 41(12): 100174-0. doi: 10.1016/j.actphy.2025.100174

    20. [20]

      Haiqiang Lin Weizheng Weng Jingdong Lin Mingshu Chen Xueming Fang Lefu Yang . Diverse Variables-Driven Catalytic Optimization: Experimental Enhancement and Instructional Design for Selective Methane Oxidation on Supported Nickel-based Catalysts. University Chemistry, 2025, 40(11): 327-336. doi: 10.12461/PKU.DXHX202505106

Metrics
  • PDF Downloads(0)
  • Abstract views(2279)
  • HTML views(309)

通讯作者: 陈斌, bchen63@163.com
  • 1. 

    沈阳化工大学材料科学与工程学院 沈阳 110142

  1. 本站搜索
  2. 百度学术搜索
  3. 万方数据库搜索
  4. CNKI搜索
Address:Zhongguancun North First Street 2,100190 Beijing, PR China Tel: +86-010-82449177-888
Powered By info@rhhz.net

/

DownLoad:  Full-Size Img  PowerPoint
Return