Citation: QIU Ze-gang, LI Qiao, MA Shao-bo, LI Zhi-qin. Effect of final carbonization temperature on catalytic performance of β-Mo2C in quinoline hydrodenitrogenation[J]. Journal of Fuel Chemistry and Technology, ;2020, 48(3): 357-368. shu

Effect of final carbonization temperature on catalytic performance of β-Mo2C in quinoline hydrodenitrogenation

  • Corresponding author: LI Zhi-qin, lizhiqin@xsyu.edu.cn
  • Received Date: 20 December 2019
    Revised Date: 30 January 2020

    Fund Project: The project was supported by the National Natural Science Foundation of China 21606177The project was supported by the National Natural Science Foundation of China (21878243, 21606177) and Shanxi Natural Science Basic Research Program (2019JM-085)The project was supported by the National Natural Science Foundation of China 21878243Shanxi Natural Science Basic Research Program 2019JM-085

Figures(9)

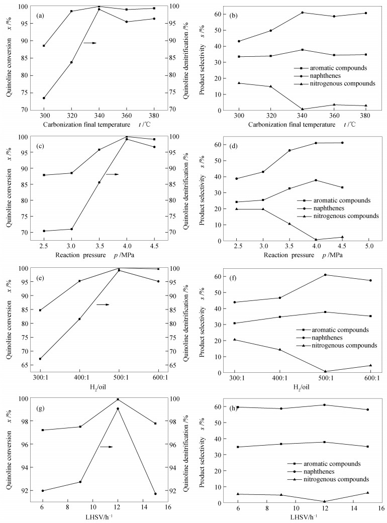
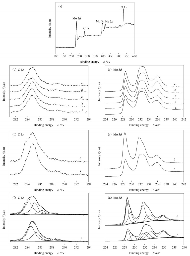
  • MoO3 was used as precursor, CH4/H2 as carbon source, and a direct reduction carbonization method with programmed temperature rise was used to prepare molybdenum carbide catalysts at different final carbonization temperatures (640, 660, 680, 700, and 720℃). The physical properties and structural properties of molybdenum carbide were characterized by XRD, N2 adsorption, SEM, TEM, XPS and Raman. The effect of final carbonization temperature on the catalytic performance of molybdenum carbide in quinoline hydrodenitrogenation was studied. The results showed that the molybdenum carbide catalysts with different final carbonization temperatures were all existed in the phase of β-Mo2C. The final carbonization temperature could significantly change content of species on the surface, average pore size, and mesopore distribution of molybdenum carbide. When the final carbonization temperature was 680℃, a higher carbonization degree, the lowest content of oxygen species on the surface and the highest surface C/Mo molar ratio of catalyst were obtained; accordingly, the best catalytic activity of catalysts was achieved. At 340℃ and 4 MPa, the conversion and denitrification rate of quinoline were up to 99%, while the selectivity of aromatic compounds was up to 37.8%, showing a lower aromatic ring destruction. Surface composition, especially surface oxygen, was essential for the regulation of the quinoline hydrodenitrogenation reaction pathway on β-Mo2C.
  • 加载中
    1. [1]

      MA Bao-qi, REN Pei-jian, YANG Zhan-biao. Fuel Oil from Coal Tar Oil[M]. Beijing:Chemical Industry Press, 2011.

    2. [2]

      LI Da-dong. Hydrotreating Process and Engineering[M]. Beijing:China Petrochemical Press, 2004, 170-435.

    3. [3]

      SHI Lei, ZHANG Zeng-hui, QIU Ze-gang, GUO Fang, ZHANG Wei, ZHAO Liang-fu. Effect of phosphorus modification on the catalytic properties of Mo-Ni/Al2O3 in the hydrodenitrogenation of coal tar[J]. J Fuel Chem Technol, 2015,43(1):74-80. doi: 10.3969/j.issn.0253-2409.2015.01.012

    4. [4]

      HU Nai-fang, CUI Hai-tao, QIU Ze-gang, ZHAO liang-fu, MENG Xin-xin, ZHAO Zheng-quan, AO Guang-yu. Effect of phosphorus loadings on the performance of Co-Mo/γ-Al2O3 in hydrodesulfurization of coal tar[J]. J Fuel Chem Technol, 2016,44(6):745-753. doi: 10.3969/j.issn.0253-2409.2016.06.016

    5. [5]

      NIU M, SUN X, LI D, CUI W G, ZHANG X, BAI X X, LI W H. The hydrodeoxygenation, hydrogenation, hydrodealkylation and ring-opening reaction in the hydrotreating of low temperature coal tar over Ni-Mo/γ-Al2O3 catalyst[J]. React Kinet Mech Catal, 2017,121(6):1-17.

    6. [6]

      TANG W, FANG M, WANG H, YU P, WANG Q, LUO Z. Mild hydrotreatment of low temperature coal tar distillate, Product composition[J]. Chem Eng J, 2014,236(2):529-537.  

    7. [7]

      LI Da-dong. Petroleum refining technologies and catalysis in the 21st century[J]. Acta Pet Sin (Pet Process Sect), 2005,21(3):17-24. doi: 10.3969/j.issn.1001-8719.2005.03.003

    8. [8]

      XIA L Y, XIA Z X, TANG W, WANG H Y, FANG M X. Hydrogenation of model compounds catalyzed by MCM-41-supported nickel phosphide[J]. Adv Mater Res, 2014,864:366-372.  

    9. [9]

      HAN W, NIE H, LONG X Y, LI M F, YANG Q H, LI D D. Preparation of F-doped MoS2/Al2O3 catalysts as a way to understand the electronic effects of the support Brønsted acidity on HDN activity[J]. J Catal, 2016,339:135-142. doi: 10.1016/j.jcat.2016.04.005

    10. [10]

      SHAO M Q, CUI H T, GUO S Q, ZHAO L F, TAN Y S. Effects of calcination and reduction temperature on the properties of Ni-P/SiO2 and Ni-P/Al2O3 and their hydrodenitrogenation performance[J]. Rsc Adv, 2018,8(13):6745-6751. doi: 10.1039/C7RA11907K

    11. [11]

      NGUYEN M T, TAYAKOUTFAYOLLE M, PIRNGRUBER G D, CHAINET F, GEANTET C. Kinetic modeling of quinoline hydrodenitrogenation over a NiMo(P)/Al2O3 catalyst in a batch reactor[J]. Ind Eng Chem Res, 2015,54(38):9278-9288. doi: 10.1021/acs.iecr.5b02175

    12. [12]

      WANG W, LI X, SUN Z C, WANG A J, LIU Y Y, CHEN Y Y, D C P. Influences of calcination and reduction methods on the preparation of Ni2P/SiO2 and its hydrodenitrogenation performance[J]. Appl Catal A:Gen, 2016,509(1):45-51.  

    13. [13]

      SCHLATTER J C, OYAMA S T, METCALFE J E. Catalytic behavior of selected transition metal carbides, nitrides, and borides in the hydrodenitrogenation of quinoline[J]. Ind Eng Chem Res, 1988,27(9):1648-1653. doi: 10.1021/ie00081a014

    14. [14]

      DOLCE G M, THOMPSON L T. Supported molybdenum carbide catalysts, structure-function relationships for hydrodenitrogenation[J]. Mat Res Soc Symp Proc, 1996,454:47-52. doi: 10.1557/PROC-454-47

    15. [15]

      CHI J Q, GAO W K, LIN J H, DONG B, QIN J F, LIU Z Z, LIU B, CHAI Y M, LIU C G. Porous core-shell N-doped Mo2C@C nanospheres derived from inorganic-organic hybrid precursors for highly efficient hydrogen evolution[J]. J Catal, 2018,360:9-19. doi: 10.1016/j.jcat.2018.01.023

    16. [16]

      CHI J Q, LIN J H, QIN J F, DONG B, YAN K L, LIU Z Z, ZHANG X Y, CHAI Y M, LIU C G. A triple synergistic effect from pitaya-like MoNix-MoCx hybrids ncapsulated in N-doped C nanospheres for efficient hydrogen evolution. Sustain[J]. Sustainable Energy Fuels, 2018,2:1610-1620. doi: 10.1039/C8SE00135A

    17. [17]

      JIAN M, PRINS R. Mechanism of the hydrodenitrogenation of quinoline over NiMo(P)/Al2O3 catalysts[J]. J Catal, 1998,113(1):111-123.  

    18. [18]

      SEBAKHY K O, VITALE G, HASSAN A, PEREIRA-ALMAO P. New insights into the kinetics of structural transformation and hydrogenation activity of nano-crystalline molybdenum carbide[J]. Catal Lett, 2018,148(3):904-923. doi: 10.1007/s10562-017-2274-3

    19. [19]

      GUO F, GUO S Q, WEI X X, WANG X X, XIANG H W, QIU Z G, ZHAO L F. The effects of MCM-41's calcination temperature on the structure and hydrodenitrogenation over NiW catalysts[J]. Korean J Chem Eng, 2014,31(11):1973-1979. doi: 10.1007/s11814-014-0148-6

    20. [20]

      HUANG Peng. Effect of SBA-15-supported nickle phosphate catalyst on hydrodenitrogenation network of quinoline[J]. J China Coal Soc, 2015,40(2):195-200.  

    21. [21]

      YIN Hai-liang, LIU Xin-liang, ZHOU Tong-na, ZHAO Jian, LIN Ai-guo. Effect of ethylene glycol on the hydrogenation performance of P-doped NiMo/Al2O3 catalysts[J]. J Fuel Chem Technol, 2019,47(12):1459-1467.  

    22. [22]

      XIANG Ming-lin, LI De-bao, XIAO Hai-cheng, ZHANG Jian-li, LI Wen-huai, ZHONG Bing, SUN Yu-han. Preparation and characterization of molybdenum carbide and its performance on the hydrogenation of carbon monoxide[J]. J Fuel Chem Technol, 2007,35(3):324-328. doi: 10.3969/j.issn.0253-2409.2007.03.014

    23. [23]

      LI S, CHENG C, SAGALTCHIK A, PACHFULE P, ZHAO C S, THOMAS A. Metal-organic precursor-derived mesoporous carbon spheres with homogeneously distributed molybdenum carbide/nitride nanoparticles for efficient hydrogen evolution in alkaline media[J]. Adv Funct Mater, 2019,2918074199.  

    24. [24]

      ZHOU G Y, YANG Q, GUO X M, CHEN Y, YANG Q, XU L, SUN D M, TANG Y W. Coupling molybdenum carbide nanoparticles with N-doped carbon nanosheets as a high-efficiency electrocatalyst for hydrogen evolution reaction[J]. Int J Hydrogen Energy, 2018,43:9326-9333. doi: 10.1016/j.ijhydene.2018.04.002

    25. [25]

      WAN J, WU J B, GAO X, TIAN Q L, HU Z M, YU H M, HUANG L. Structure confined porous Mo2C for efficient hydrogen evolution[J]. Adv Funct Mater, 2017,271703933. doi: 10.1002/adfm.201703933

    26. [26]

      MAO T, XU J, YANG Y, LI Y W. Effect of carburization protocols on molybdenum carbide synthesis and study on its performance in CO hydrogenation[J]. Catal Today, 2016,261:101-115. doi: 10.1016/j.cattod.2015.07.014

    27. [27]

      LEE W S, KUMAR A, WANG Z S, WANG X X, BHAN A. Chemical titration and transient kinetic studies of site requirements in Mo2C-catalyzed vapor phase anisole aydrodeoxygenation[J]. ACS Catal, 2015,5:4104-4114. doi: 10.1021/acscatal.5b00713

    28. [28]

      SCHAIDLE J A, BLACKBURN J, FARBEROW C A, NASH C, STEIRER K X, CLARK J, RUDDY D A, ROBICHAUD D J. Experimental and computational investigation of acetic acid deoxygenation over oxophilic molybdenum carbide:Surface chemistry and active site identity[J]. ACS Catal, 2016,6:1181-1197. doi: 10.1021/acscatal.5b01930

  • 加载中
    1. [1]

      Yongqing XuYuyao YangMengna WuXiaoxiao YangXuan BieShiyu ZhangQinghai LiYanguo ZhangChenwei ZhangRobert E. PrzekopBogna SztorchDariusz BrzakalskiHui Zhou . Review on Using Molybdenum Carbides for the Thermal Catalysis of CO2 Hydrogenation to Produce High-Value-Added Chemicals and Fuels. Acta Physico-Chimica Sinica, 2024, 40(4): 2304003-0. doi: 10.3866/PKU.WHXB202304003

    2. [2]

      Yunhao Zhang Yinuo Wang Siran Wang Dazhen Xu . Progress in Selective Construction of Functional Aromatics from Nitrogenous Cycloalkanes. University Chemistry, 2024, 39(11): 136-145. doi: 10.3866/PKU.DXHX202401083

    3. [3]

      Yue ZhangXiaoya FanXun HeTingyu YanYongchao YaoDongdong ZhengJingxiang ZhaoQinghai CaiQian LiuLuming LiWei ChuShengjun SunXuping Sun . Ambient electrosynthesis of urea from carbon dioxide and nitrate over Mo2C nanosheet. Chinese Chemical Letters, 2024, 35(8): 109806-. doi: 10.1016/j.cclet.2024.109806

    4. [4]

      Desheng Li Qin Li Peng Xu Xingyu Guo Heng Wu Rui Liu Fei Tan . MOF derived Co–Mo2C heterojunctions with interfacial electronic modulation for oxygen reduction reaction and zinc-air batteries. Chinese Journal of Structural Chemistry, 2026, 45(2): 100796-100796. doi: 10.1016/j.cjsc.2025.100796

    5. [5]

      Ruiyun LiuPing WangXuefei WangFeng ChenHuogen Yu . Work-function-engineered Mo 4d electronic structure modulation in Mo2C MXene cocatalyst for efficient photocatalytic H2 evolution. Acta Physico-Chimica Sinica, 2025, 41(11): 100137-0. doi: 10.1016/j.actphy.2025.100137

    6. [6]

      Yang Li Jiachen Li Daidi Fan . 二硫化钼纳米片的制备及其纳米酶性能探究——介绍一个大学化学综合实验. University Chemistry, 2025, 40(8): 233-240. doi: 10.12461/PKU.DXHX202410016

    7. [7]

      Huijuan Liao Yulin Xiao Dong Xue Mingyu Yang Jianyang Dong . Synthesis of 1-Benzyl Isoquinoline via the Minisci Reaction. University Chemistry, 2025, 40(7): 294-299. doi: 10.12461/PKU.DXHX202409092

    8. [8]

      Qinhui GuanYuhao GuoNa LiJing LiTingjiang Yan . Molecular sieve-mediated indium oxide catalysts for enhancing photocatalytic CO2 hydrogenation. Acta Physico-Chimica Sinica, 2025, 41(11): 100133-0. doi: 10.1016/j.actphy.2025.100133

    9. [9]

      Jiao LiChenyang ZhangChuhan WuYan LiuXuejian ZhangXiao LiYongtao LiJing SunZhongmin Su . Defined organic-octamolybdate crystalline superstructures derived Mo2C@C as efficient hydrogen evolution electrocatalysts. Chinese Chemical Letters, 2024, 35(6): 108782-. doi: 10.1016/j.cclet.2023.108782

    10. [10]

      Mingjie LeiWenting HuKexin LinXiujuan SunHaoshen ZhangYe QianTongyue KangXiulin WuHailong LiaoYuan PanYuwei ZhangDiye WeiPing Gao . Accelerating the reconstruction of NiSe2 by Co/Mn/Mo doping for enhanced urea electrolysis. Acta Physico-Chimica Sinica, 2025, 41(8): 100083-0. doi: 10.1016/j.actphy.2025.100083

    11. [11]

      Jiayin Hu Yafei Guo Long Li Tianlong Deng . Teaching Innovation of Salt-Water System Phase Diagrams under the “Dual Carbon” Background: Introducing the Pressurized CO2 Carbonization Phase Equilibria. University Chemistry, 2025, 40(11): 31-36. doi: 10.12461/PKU.DXHX202412031

    12. [12]

      Xiaofeng Xia Jielian Zhu . Innovative Comprehensive Experimental Design: Synthesis of 6-Fluoro-N-benzoyl Tetrahydroquinoline. University Chemistry, 2024, 39(10): 344-352. doi: 10.12461/PKU.DXHX202405063

    13. [13]

      Renxiao Liang Zhe Zhong Zhangling Jin Lijuan Shi Yixia Jia . A Palladium/Chiral Phosphoric Acid Relay Catalysis for the One-Pot Three-Step Synthesis of Chiral Tetrahydroquinoline. University Chemistry, 2024, 39(5): 209-217. doi: 10.3866/PKU.DXHX202311024

    14. [14]

      Yurong Tang Yunren Shi Yi Xu Bo Qin Yanqin Xu Yunfei Cai . Innovative Experiment and Course Transformation Practice of Visible-Light-Mediated Photocatalytic Synthesis of Isoquinolinone. University Chemistry, 2024, 39(5): 296-306. doi: 10.3866/PKU.DXHX202311087

    15. [15]

      Min WANGDehua XINYaning SHIWenyao ZHUYuanqun ZHANGWei ZHANG . Construction and full-spectrum catalytic performance of multilevel Ag/Bi/nitrogen vacancy g-C3N4/Ti3C2Tx Schottky junction. Chinese Journal of Inorganic Chemistry, 2024, 40(6): 1123-1134. doi: 10.11862/CJIC.20230477

    16. [16]

      Kai CHENFengshun WUShun XIAOJinbao ZHANGLihua ZHU . PtRu/nitrogen-doped carbon for electrocatalytic methanol oxidation and hydrogen evolution by water electrolysis. Chinese Journal of Inorganic Chemistry, 2024, 40(7): 1357-1367. doi: 10.11862/CJIC.20230350

    17. [17]

      Wenlong LIXinyu JIAJie LINGMengdan MAAnning ZHOU . Photothermal catalytic CO2 hydrogenation over a Mg-doped In2O3-x catalyst. Chinese Journal of Inorganic Chemistry, 2024, 40(5): 919-929. doi: 10.11862/CJIC.20230421

    18. [18]

      Jianyu QinYuejiao AnYanfeng ZhangIn Situ Assembled ZnWO4/g-C3N4 S-Scheme Heterojunction with Nitrogen Defect for CO2 Photoreduction. Acta Physico-Chimica Sinica, 2024, 40(12): 2408002-0. doi: 10.3866/PKU.WHXB202408002

    19. [19]

      Yinjie XuSuiqin LiLihao LiuJiahui HeKai LiMengxin WangShuying ZhaoChun LiZhengbin ZhangXing ZhongJianguo Wang . Enhanced Electrocatalytic Oxidation of Sterols using the Synergistic Effect of NiFe-MOF and Aminoxyl Radicals. Acta Physico-Chimica Sinica, 2024, 40(3): 2305012-0. doi: 10.3866/PKU.WHXB202305012

    20. [20]

      Haitao WangLianglang YuJizhou JiangArramelJing Zou . S-Doping of the N-Sites of g-C3N4 to Enhance Photocatalytic H2 Evolution Activity. Acta Physico-Chimica Sinica, 2024, 40(5): 2305047-0. doi: 10.3866/PKU.WHXB202305047

Metrics
  • PDF Downloads(7)
  • Abstract views(1332)
  • HTML views(222)

通讯作者: 陈斌, bchen63@163.com
  • 1. 

    沈阳化工大学材料科学与工程学院 沈阳 110142

  1. 本站搜索
  2. 百度学术搜索
  3. 万方数据库搜索
  4. CNKI搜索
Address:Zhongguancun North First Street 2,100190 Beijing, PR China Tel: +86-010-82449177-888
Powered By info@rhhz.net

/

DownLoad:  Full-Size Img  PowerPoint
Return