Citation: LI Wen-shen, GUO Xiao-wen, LIU Jin-bo, LIU Jie. Removal of nitrogen compounds from diesel oil with eutectic ionic liquid[J]. Journal of Fuel Chemistry and Technology, ;2018, 46(3): 305-310. shu

Removal of nitrogen compounds from diesel oil with eutectic ionic liquid

  • Corresponding author: LI Wen-shen, lj13898309829@163.com
  • Received Date: 23 October 2017
    Revised Date: 16 January 2018

Figures(9)

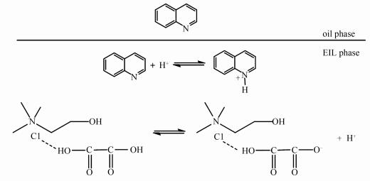
  • An eutectic ionic liquid (EIL), choline chloride/oxalic acid, was synthesized and its structure was characterized with FT-IR spectroscopy and 1H-NMR. The denitrogenation performance of the EIL was investigated in detail using model oil and coker diesel oil as feedstock. Experimental results show that the removal efficiencies of quinoline and indole are almost 100% and 88.05%, respectively at 30℃ with the EIL to oil ratio of 1:7 (mass ratio), extraction time of 30 min and settling time of 2 h. It is also found that the choline chloride/oxalic acid presents a better denitrogenation performance for coker diesel oil, and the basic and total N-extraction efficiency can reach 96.61% and 71.5%, respectively. In addition, the basic N-removal efficiency can still reach 87.2% after four recycles of the EIL.
  • 加载中
    1. [1]

      ALMARRI M, MA X L, SONG C S. Selective adsorption for removal of nitrogen compounds from liquid hydrocarbon streams over carbon-and alumina-based adsorbents[J]. Ind Eng Chem Res, 2009,48(2):951-960. doi: 10.1021/ie801010w

    2. [2]

      FAN Yin-shuai, LIU Shu-zhi, SUN Lan-lan, ZHANG Xue-jia, SI Wen-bin. New progress in denitrogenation of diesel oil[J]. Sci Technol Chem Ind, 2007,15(20):63-66.  

    3. [3]

      NIE Y, GONG X, GAO H S, ZHANG X P, ZHANG S J. Simultaneous desulfurization and denitrogenation of liquid fuels using two functionalized group ionic liquids[J]. Sci China Chem, 2014,57(12):1766-1773. doi: 10.1007/s11426-014-5164-1

    4. [4]

      SHAO Zhi-cai, GAO Xiao-dong, LI Hao-guang, NIE Hong. Effect of nitrogen-containing compounds on deep and ultradeep HDS for diesel oil[J]. Acta Pet Sin (Pet Process Sect), 2006,22(4):12-17.  

    5. [5]

      KOLTAI T, MACAUD M, GUEVARA A, SCHULZ E, LEMAIRE M, BACAUD R, VRINAT M. Comparative inhibiting effect of polycondensed aromatics and nitrogen compounds on the hydrodesulfurization of alkyldibenzothiophenes[J]. Appl Catal A:Gen, 2002,23:1253-1261.  

    6. [6]

      TANG Xiao-dong, HU Tao, LI Jing-jing, ZHANG Yong-fen, CHEN Lu. Progresses in the denitrogenation of diesel oil by complexation[J]. Petrochem Technol, 2014,43(7):843-847.  

    7. [7]

      XU Ming, CHEN Deng-feng, XIAO Shuang-quan, XIE Min, HAO Lei. Experimental study on denitrogenation process of Daqing shale oil[J]. Acta Pet Sin (Pet Process Sect), 2012,28(1):55-59.  

    8. [8]

      ZHANG J, XU J, QIAN J, LIU L. Denitrogenation of straight-run diesel with complexing extraction[J]. Pet Sci Technol, 2013,31(8):777-782. doi: 10.1080/10916466.2010.493911

    9. [9]

      HUH E S, ZAZYBIN A, PALGUNADI J, AHN S, HONG J, KIM H S, CHEONG M, AHN B S. Zn-containing ionic liquids for the extractive denitrogenation of a model oil:A mechanistic consideration[J]. Energy Fuels, 2009,23:3032-3038. doi: 10.1021/ef900073a

    10. [10]

      LIN Sai-yan, LIU Dan, WANG Hong, GUI Jian-zhou, MENG Xiang-wei, XU Min, ZHANG Yan-jia. Removing basic nitrogen compounds from coker diesel by extraction with acidic ionic liquid[J]. J Petrochem Univ, 2012,25(1):8-12.  

    11. [11]

      WANG H, XIE C X, YU S T, LIU F S. Denitrification of simulated oil by extraction with H2PO4-based ionic liquids[J]. Chem Eng J, 2014,237:286-290. doi: 10.1016/j.cej.2013.10.049

    12. [12]

      SU Xiao-lin, SONG Jun, YANG Jing-yi, XU Xin-ru. Extractive denitrification of coal tar diesel fraction using phosphate-based alkylimidazolium ionic liquids[J]. Chem Ind Eng Prog, 2016,35(4):1081-1086.  

    13. [13]

      CHEN X C, YUAN S, ABDELTAWAB A A, ALDEYAB S S, ZHANG J W, YU L, YU G R. Extractive desulfurization and denitrogenation of fuels using functional acidic ionic liquids[J]. Sep Purif Technol, 2014,133:187-193. doi: 10.1016/j.seppur.2014.06.031

    14. [14]

      LIU J, MA B. Removal of nitrogen compounds from shale diesel fraction using ionic liquid[C4 mim]HSO4[J]. China Pet Process Petrochem Technol, 2016,18(3):15-21.  

    15. [15]

      ASUMANA C, YU G R, GUAN Y W, YANG S D, ZHOU S Z, CHEN X C. Extractive denitrogenation of fuel oils with dicyanamide-based ionic liquids[J]. Green Chem, 2011,13:3300-3305. doi: 10.1039/c1gc15747g

    16. [16]

      WEI Lu, FAN You-jun. Progress of deep eutectic solvents and their applications[J]. Chem, 2011,74(4):333-339.  

    17. [17]

      ABBOTT A P, CAPPER G, DAVIES D L, RASHEED R K, TAMBYRAJAH V. Novel solvent properties of choline chloride/urea mixtures[J]. Chem Commun, 2003,1:70-71.  

    18. [18]

      LI Rui-qian, LIANG Jun, CHU Qing-wei. Electrodeposition of nanocrystalline Ni from choline chloride and ethylene glycol deep eutectic solvent[J]. Chin J Nonferrous Met, 2014,24(7):1839-1844.  

    19. [19]

      LIU Cheng-cheng, BU Lu-xia, ZHAO Shuang, MA Zhan-lin. Studies on preparation and properties of choline chloride and malonic acid ionic liquids[J]. J Tianjin Agr Univ, 2016,23(3):20-22.  

    20. [20]

      LI Xiao, WANG Xian-pei, LIU Wei-tao, LI Xiao-an. Synthesis of tributyl citrate catalyzed by ionic liquid of choline chloride[J]. Ind Catal, 2016,24(6):66-69.  

    21. [21]

      ZHANG Ying-ying, JI Xiao-yan, LU Xiao-hua. Properties and applications of choline chloride/urea and choline chloride/glycerol[J]. Scientia Sinica Chimica, 2014,44(6):927-941.  

    22. [22]

      JIANG W, ZHU W S, LI H M, CHAO Y H, XUN S H, CHANG Y H, LIU H, ZHAO Z. Mechanism and optimization for oxidative desulfurization of fuels catalyzed by Fenton-like catalysts in hydrophobic ionic liquid[J]. J Mol Catal A:Chem, 2014,382:8-14. doi: 10.1016/j.molcata.2013.10.017

    23. [23]

      LI Jia-hui, HU Jia, ZHAO Rong-xiang, QIAO Hai-yan, LI Xiu-ping. Oxidative desulfurization of model oil with choline chloride/oxalic acid as a eutectic solvent[J]. J Fuel Chem Technol, 2014,42(7):870-876.  

    24. [24]

      HOU Liang-pei, ZHAO Rong-xiang, LI Xiu-ping, SHI Wei-wei. Preparation of methylimidazole hydrochloride/oxalic acid type deep eutectic solvent and its application in oxidative desulfurization of model oil[J]. CIESC J, 2016,67(9):3972-3980.  

    25. [25]

      WANG Xiao-dan, WU Wen-yuan, TU Gan-feng, JIANG Kai-xi. Synthesis and physical chemistry properties of acidic 1-butyl-3-methylimidazolium hydrosulfate ionic liquids[J]. Acta Scientiarum Naturalium Universities Sunyatseni, 2009,48(6):69-72.  

    26. [26]

      LIU Jie, ZHOU Zhao-qian, LI Wen-shen, SONG Shi-ye, MA Bo. Removal of basic nitrogen compounds from fuel oil with[Amim]Cl/ZnCl2 ionic liquid[J]. J Fuel Chem Technol, 2016,44(10):1233-1239.  

  • 加载中
    1. [1]

      Yunhao Zhang Yinuo Wang Siran Wang Dazhen Xu . Progress in Selective Construction of Functional Aromatics from Nitrogenous Cycloalkanes. University Chemistry, 2024, 39(11): 136-145. doi: 10.3866/PKU.DXHX202401083

    2. [2]

      Huijuan Liao Yulin Xiao Dong Xue Mingyu Yang Jianyang Dong . Synthesis of 1-Benzyl Isoquinoline via the Minisci Reaction. University Chemistry, 2025, 40(7): 294-299. doi: 10.12461/PKU.DXHX202409092

    3. [3]

      Xiaofeng Xia Jielian Zhu . Innovative Comprehensive Experimental Design: Synthesis of 6-Fluoro-N-benzoyl Tetrahydroquinoline. University Chemistry, 2024, 39(10): 344-352. doi: 10.12461/PKU.DXHX202405063

    4. [4]

      Renxiao Liang Zhe Zhong Zhangling Jin Lijuan Shi Yixia Jia . A Palladium/Chiral Phosphoric Acid Relay Catalysis for the One-Pot Three-Step Synthesis of Chiral Tetrahydroquinoline. University Chemistry, 2024, 39(5): 209-217. doi: 10.3866/PKU.DXHX202311024

    5. [5]

      Yurong Tang Yunren Shi Yi Xu Bo Qin Yanqin Xu Yunfei Cai . Innovative Experiment and Course Transformation Practice of Visible-Light-Mediated Photocatalytic Synthesis of Isoquinolinone. University Chemistry, 2024, 39(5): 296-306. doi: 10.3866/PKU.DXHX202311087

    6. [6]

      Hailang JIAYujie LUPengcheng JI . Preparation and properties of nitrogen and phosphorus co-doped graphene carbon aerogel supported ruthenium electrocatalyst for hydrogen evolution reaction. Chinese Journal of Inorganic Chemistry, 2025, 41(11): 2327-2336. doi: 10.11862/CJIC.20250021

    7. [7]

      Ronghui LI . Photocatalysis performance of nitrogen-doped CeO2 thin films via ion beam-assisted deposition. Chinese Journal of Inorganic Chemistry, 2025, 41(6): 1123-1130. doi: 10.11862/CJIC.20240440

    8. [8]

      Zhuo WangXue BaiKexin ZhangHongzhi WangJiabao DongYuan GaoBin Zhao . MOF-Templated Synthesis of Nitrogen-Doped Carbon for Enhanced Electrochemical Sodium Ion Storage and Removal. Acta Physico-Chimica Sinica, 2025, 41(3): 100026-0. doi: 10.3866/PKU.WHXB202405002

    9. [9]

      Jun HuangPengfei NieYongchao LuJiayang LiYiwen WangJianyun Liu . 丝光沸石负载自支撑氮掺杂多孔碳纳米纤维电容器及高效选择性去除硬度离子. Acta Physico-Chimica Sinica, 2025, 41(7): 100066-0. doi: 10.1016/j.actphy.2025.100066

    10. [10]

      Zhongyan Cao Youzhi Xu Menghua Li Xiao Xiao Xianqiang Kong Deyun Qian . Electrochemically Driven Denitrative Borylation and Fluorosulfonylation of Nitroarenes. University Chemistry, 2025, 40(4): 277-281. doi: 10.12461/PKU.DXHX202407017

    11. [11]

      Ping Song Nan Zhang Jie Wang Rui Yan Zhiqiang Wang Yingxue Jin . Experimental Teaching Design on Synthesis and Antitumor Activity Study of Cu-Pyropheophorbide-a Methyl Ester. University Chemistry, 2024, 39(6): 278-286. doi: 10.3866/PKU.DXHX202310087

    12. [12]

      Jianan Zhang Mengzhen Xu Jiamin Liu Yufei He . 面向“双碳”目标的脱氯吸附剂开发研究型综合实验设计. University Chemistry, 2025, 40(6): 248-255. doi: 10.12461/PKU.DXHX202408068

    13. [13]

      Qi WangYuqing LiuJiefei WangYuan-Yuan MaJing DuZhan-Gang Han . Catalysts for electrocatalytic dechlorination of chlorinated aromatic hydrocarbons: synthetic strategies, applications, and challenges. Acta Physico-Chimica Sinica, 2025, 41(10): 100120-0. doi: 10.1016/j.actphy.2025.100120

    14. [14]

      Wenjun Zheng . Application in Inorganic Synthesis of Ionic Liquids. University Chemistry, 2024, 39(8): 163-168. doi: 10.3866/PKU.DXHX202401020

    15. [15]

      Kai CHENFengshun WUShun XIAOJinbao ZHANGLihua ZHU . PtRu/nitrogen-doped carbon for electrocatalytic methanol oxidation and hydrogen evolution by water electrolysis. Chinese Journal of Inorganic Chemistry, 2024, 40(7): 1357-1367. doi: 10.11862/CJIC.20230350

    16. [16]

      Chi Li Jichao Wan Qiyu Long Hui Lv Ying XiongN-Heterocyclic Carbene (NHC)-Catalyzed Amidation of Aldehydes with Nitroso Compounds. University Chemistry, 2024, 39(5): 388-395. doi: 10.3866/PKU.DXHX202312016

    17. [17]

      Yongwei ZHANGChuang ZHUWenbin WUYongyong MAHeng YANG . Efficient hydrogen evolution reaction activity induced by ZnSe@nitrogen doped porous carbon heterojunction. Chinese Journal of Inorganic Chemistry, 2025, 41(4): 650-660. doi: 10.11862/CJIC.20240386

    18. [18]

      Xianghai SongXiaoying LiuZhixiang RenXiang LiuMei WangYuanfeng WuWeiqiang ZhouZhi ZhuPengwei Huo . Insights into the greatly improved catalytic performance of N-doped BiOBr for CO2 photoreduction. Acta Physico-Chimica Sinica, 2025, 41(6): 100055-0. doi: 10.1016/j.actphy.2025.100055

    19. [19]

      Minglei SunZhong-Yong Yuan . Valorization strategies for electrodegradation of nitrogenous wastes in sewage. Acta Physico-Chimica Sinica, 2025, 41(9): 100108-0. doi: 10.1016/j.actphy.2025.100108

    20. [20]

      Haitao WangLianglang YuJizhou JiangArramelJing Zou . S-Doping of the N-Sites of g-C3N4 to Enhance Photocatalytic H2 Evolution Activity. Acta Physico-Chimica Sinica, 2024, 40(5): 2305047-0. doi: 10.3866/PKU.WHXB202305047

Metrics
  • PDF Downloads(11)
  • Abstract views(2635)
  • HTML views(400)

通讯作者: 陈斌, bchen63@163.com
  • 1. 

    沈阳化工大学材料科学与工程学院 沈阳 110142

  1. 本站搜索
  2. 百度学术搜索
  3. 万方数据库搜索
  4. CNKI搜索
Address:Zhongguancun North First Street 2,100190 Beijing, PR China Tel: +86-010-82449177-888
Powered By info@rhhz.net

/

DownLoad:  Full-Size Img  PowerPoint
Return