Citation:
Wang Liping, Zhao Licheng, Zhang Linyan. Synthesis of Oligomeric Polycarbonate Diol Catalyized by Mesoporous ZnO Microspheres derived from IRMOF-1[J]. Chemistry,
;2018, 81(8): 705-712.
-
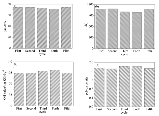
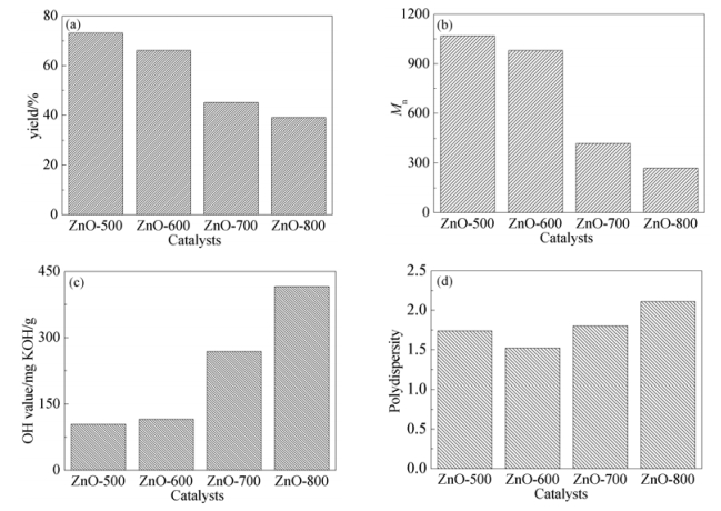
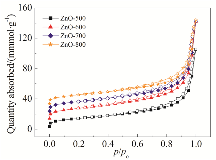
IRMOF-1 is one of the most classic IRMOF series MOFs materials. Three ZnO catalysts were prepared by heat treatment of IRMOF-1 directly in air at different temperatures, and the crystal structure, morphology, pore structure and surface alkalinity of the samples were characterized by XRD, SEM, BET measurements and CO2-TPD. The results showed that as-prepared ZnO are a typical mesoporous material with spherical structure, their BET surfcae area and pore size are 49.7~62.2 m2/g and 2.18~2.92 nm, respectively. The catalytic activities of mesoporous ZnO microspheres for the synthesis polycarbnate diol via diphenyl carbonate and neopentyl glycol (NPG) were investigated. The results exhibited that the ZnO microspheres obtained at 500℃ exhibit good catalytic activity in the transesterification of DPC and NPG.
-
-
-
[1]
A Eceiza, M Larrañaga, K de la Caba et al. J. Appl. Polym. Sci., 2008, 108(5):3092~3103.
-
[2]
D K Lee, H B Tsai, Z D Yang et al. J. Appl. Polym. Sci., 2012, 126(S2):275~282.
-
[3]
C M Gómez, M Culebras, A Cantarero et al. Appl. Surf. Sci., 2013, 275(21):295~302.
-
[4]
S Y Oh, M S Kang, J C Knowles et al. J. Biomater. Appl., 2015, 30(3):327~337.
-
[5]
N Liu, Y Zhao, M Kang et al. Prog. Org. Coat., 2015, 82:46~56.
- [6]
- [7]
- [8]
- [9]
- [10]
- [11]
-
[12]
Z Q Wang, X Yang, S Liu et al. Rsc Adv., 2015, 5(106):87311~87319.
-
[13]
Y X Feng, N Yin, Q F Li et al. Ind. Eng. Chem. Res., 2008, 47(7):2140~2145.
-
[14]
S Yan, S O Salley, K Y S Ng. Appl. Catal. A, 2009, 353(2):203~212.
-
[15]
R Madhuvilakku, S Piraman. Bioresource Technol., 2013, 150(12):55~59.
-
[16]
I Istadi, S A Prasetyo, T S Nugroho. Procedia Environ. Sci., 2015, 23:394~399.
- [17]
-
[18]
E A Dolgopolova, A J Brandt, O Ejegbavwo et al. J. Am. Chem. Soc., 2017, 139(14):5201~5209.
-
[19]
K Li, D H Olson, J Y Lee et al. Adv. Funct. Mater., 2010, 18(15):2205~2214.
- [20]
-
[21]
J S Qin, D Y Du, M Li et al. J. Am. Chem. Soc., 2016, 138(16):5299~5307.
- [22]
- [23]
-
[24]
F Zhang, C Chen, W M Xiao et al. Catal. Commun., 2012, 26(35):25~29.
-
[25]
S Nayak, S Malik, S Indris et al. Chem. Eur. J., 2010, 16(4):1158~1162.
-
[26]
L He, Y Liu, J Liu et al. Angew. Chem. Int.Ed., 2013, 52(13):3741~3745.
- [27]
-
[28]
K Tanabe, M Misono, Y Ono et al. New solid acids and bases:their catalytic properties. Amsterdam:Elsevier Science Ltd, 1990.
- [29]
-
[30]
T Fujitani, J Nakamura. Appl. Catal. A, 2000, 191(1-2):111~129.
- [31]
-
[1]
-
-
-
[1]
Zijian Jiang , Yuang Liu , Yijian Zong , Yong Fan , Wanchun Zhu , Yupeng Guo . Preparation of Nano Zinc Oxide by Microemulsion Method and Study on Its Photocatalytic Activity. University Chemistry, 2024, 39(5): 266-273. doi: 10.3866/PKU.DXHX202311101
-
[2]
Ruifeng CHEN , Chao XU , Jianting JIANG , Tianshe YANG . Gold nanorod/zinc oxide/mesoporous silica nanoplatform: A triple-modal platform for synergistic anticancer therapy. Chinese Journal of Inorganic Chemistry, 2025, 41(11): 2272-2282. doi: 10.11862/CJIC.20250117
-
[3]
Wenjuan SHI , Yuke LU , Xiuyuan LI , Lei HOU , Yaoyu WANG . Mg(Ⅱ) metal-organic frameworks based on biphenyltetracarboxylic acid: Synthesis and CO2 adsorption and catalytic conversion performance. Chinese Journal of Inorganic Chemistry, 2025, 41(12): 2455-2463. doi: 10.11862/CJIC.20250220
-
[4]
Bowen Liu , Jianjun Zhang , Han Li , Bei Cheng , Chuanbiao Bie . MOF-derived ZnO/PANI S-scheme heterojunction for efficient photocatalytic phenol mineralization coupled with H2O2 generation. Acta Physico-Chimica Sinica, 2025, 41(10): 100121-0. doi: 10.1016/j.actphy.2025.100121
-
[5]
Ran Yu , Chen Hu , Ruili Guo , Ruonan Liu , Lixing Xia , Cenyu Yang , Jianglan Shui . Catalytic Effect of H3PW12O40 on Hydrogen Storage of MgH2. Acta Physico-Chimica Sinica, 2025, 41(1): 100001-0. doi: 10.3866/PKU.WHXB202308032
-
[6]
Xiaogang Liu , Mengyu Chen , Yanyan Li , Xiantao Ma . Experimental Reform in Applied Chemistry for Cultivating Innovative Competence: A Case Study of Catalytic Hydrogen Production from Liquid Formaldehyde Reforming at Room Temperature. University Chemistry, 2025, 40(7): 300-307. doi: 10.12461/PKU.DXHX202408007
-
[7]
Yongxin LIU , Xingchen LI , Hongjia LIU , Danni LI , Tao ZHANG , Xi CHEN . Enhancement effect of Fe3O4 conversion to MIL-100(Fe) on activation of persulfate for degradation of antibiotic. Chinese Journal of Inorganic Chemistry, 2025, 41(12): 2503-2513. doi: 10.11862/CJIC.20250169
-
[8]
Shiyan Cheng , Yonghong Ruan , Lei Gong , Yumei Lin . Research Advances in Friedel-Crafts Alkylation Reaction. University Chemistry, 2024, 39(10): 408-415. doi: 10.12461/PKU.DXHX202403024
-
[9]
Hui-Ying Chen , Hao-Lin Zhu , Pei-Qin Liao , Xiao-Ming Chen . Integration of Ru(Ⅱ)-Bipyridyl and Zinc(Ⅱ)-Porphyrin Moieties in a Metal-Organic Framework for Efficient Overall CO2 Photoreduction. Acta Physico-Chimica Sinica, 2024, 40(4): 2306046-0. doi: 10.3866/PKU.WHXB202306046
-
[10]
Bizhu Shao , Huijun Dong , Yunnan Gong , Jianhua Mei , Fengshi Cai , Jinbiao Liu , Dichang Zhong , Tongbu Lu . Metal-Organic Framework-Derived Nickel Nanoparticles for Efficient CO2 Electroreduction in Wide Potential Windows. Acta Physico-Chimica Sinica, 2024, 40(4): 2305026-0. doi: 10.3866/PKU.WHXB202305026
-
[11]
Ran HUO , Zhaohui ZHANG , Xi SU , Long CHEN . Research progress on multivariate two dimensional conjugated metal organic frameworks. Chinese Journal of Inorganic Chemistry, 2024, 40(11): 2063-2074. doi: 10.11862/CJIC.20240195
-
[12]
Lu XU , Chengyu ZHANG , Wenjuan JI , Haiying YANG , Yunlong FU . Zinc metal-organic framework with high-density free carboxyl oxygen functionalized pore walls for targeted electrochemical sensing of paracetamol. Chinese Journal of Inorganic Chemistry, 2024, 40(5): 907-918. doi: 10.11862/CJIC.20230431
-
[13]
Ping ZHANG , Chenchen ZHAO , Xiaoyun CUI , Bing XIE , Yihan LIU , Haiyu LIN , Jiale ZHANG , Yu'nan CHEN . Preparation and adsorption-photocatalytic performance of ZnAl@layered double oxides. Chinese Journal of Inorganic Chemistry, 2024, 40(10): 1965-1974. doi: 10.11862/CJIC.20240014
-
[14]
Yan Kong , Wei Wei , Lekai Xu , Chen Chen . Electrochemical Synthesis of Organonitrogen Compounds from N-integrated CO2 Reduction Reaction. Acta Physico-Chimica Sinica, 2024, 40(8): 2307049-0. doi: 10.3866/PKU.WHXB202307049
-
[15]
Xiaoling LUO , Pintian ZOU , Xiaoyan WANG , Zheng LIU , Xiangfei KONG , Qun TANG , Sheng WANG . Synthesis, crystal structures, and properties of lanthanide metal-organic frameworks based on 2, 5-dibromoterephthalic acid ligand. Chinese Journal of Inorganic Chemistry, 2024, 40(6): 1143-1150. doi: 10.11862/CJIC.20230271
-
[16]
Yongzhi LI , Han ZHANG , Gangding WANG , Yanwei SUI , Lei HOU , Yaoyu WANG . A two-dimensional metal-organic framework for the determination of nitrofurantoin and nitrofurazone in aqueous solution. Chinese Journal of Inorganic Chemistry, 2025, 41(2): 245-253. doi: 10.11862/CJIC.20240307
-
[17]
Yinwu Su , Xuanwen Zheng , Jianghui Du , Boda Li , Tao Wang , Zhiyan Huang . Green Synthesis of 1,3-Dibromoacetone Using Halogen Exchange Method: Recommending a Basic Organic Synthesis Teaching Experiment. University Chemistry, 2024, 39(5): 307-314. doi: 10.3866/PKU.DXHX202311092
-
[18]
Yajin Li , Huimin Liu , Lan Ma , Jiaxiong Liu , Dehua He . Photothermal Synthesis of Glycerol Carbonate via Glycerol Carbonylation with CO2 over Au/Co3O4-ZnO Catalyst. Acta Physico-Chimica Sinica, 2024, 40(9): 2308005-0. doi: 10.3866/PKU.WHXB202308005
-
[19]
Jie ZHAO , Huili ZHANG , Xiaoqing LU , Zhaojie WANG . Theoretical calculations of CO2 capture and separation by functional groups modified 2D covalent organic framework. Chinese Journal of Inorganic Chemistry, 2025, 41(2): 275-283. doi: 10.11862/CJIC.20240213
-
[20]
Wenxiu Yang , Jinfeng Zhang , Quanlong Xu , Yun Yang , Lijie Zhang . Bimetallic AuCu Alloy Decorated Covalent Organic Frameworks for Efficient Photocatalytic Hydrogen Production. Acta Physico-Chimica Sinica, 2024, 40(10): 2312014-0. doi: 10.3866/PKU.WHXB202312014
-
[1]
Metrics
- PDF Downloads(36)
- Abstract views(2763)
- HTML views(417)
Login In
DownLoad: