Citation: Wang Jianguo, Li Chunbin, Jiang Guoyu. Progress in Fluorescent Probes for Aminopeptidase N[J]. Chemistry, ;2018, 81(11): 972-980. shu

Progress in Fluorescent Probes for Aminopeptidase N

Figures(11)

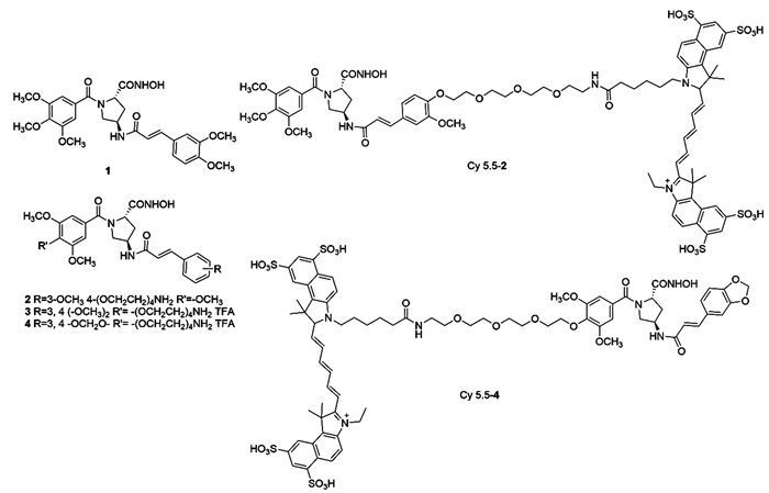
  • Aminopeptidase N (APN) is an exopeptidase that widely exists in the body of mammals. It is recognized to have various physiological functions in human body. Herein, the development of fluorescent probes for aminopeptides N was reviewed and generally divided into two categories:affinity based fluorescent probes and reaction based fluorescent probes, with their advantages and shortcomings compared, which may illuminate the future development of APN fluorescent probes.
  • 加载中
    1. [1]

      Y P Luan, W F Xu. Curr. Med. Chem., 2007, 14(6): 639~647. 

    2. [2]

      B Bauvois, D Dauzonne. Med. Res. Rev., 2006, 26(1): 88~130. 

    3. [3]

      P Mina-Osorio. Trends Mol. Med., 2008, 14(8): 361~371. 

    4. [4]

      B Holdt-Lehmann, A Lehmann, G Korten et al. Clin. Chim. Acta, 2000, 297(1): 93~102. 

    5. [5]

      S X Cui, X J Qu, Z H Gao et al. Cancer Lett., 2010, 292(2): 153~162. 

    6. [6]

      D Fontijn, M C Duyndam, M P van Berkel et al. Br. J. Cancer, 2006, 94(11): 1627~1636. 

    7. [7]

      T Tokuhara, N Hattori, H Ishida et al. Clin. Cancer Res., 2006, 12(13): 3971~3978. 

    8. [8]

      C Mawrin, C Wolke, D Haase et al. Brain Pathol., 2010, 20(1): 200~210. 

    9. [9]

      N Petrovic, W Schacke, J R Gahagan et al. Blood, 2007, 110(1): 142~150. 

    10. [10]

      M Terauchi, H Kajiyama, K Shibata et al. BMC Cancer, 2007, 7(1): 140~153. 

    11. [11]

      P Mina-Osorio. Trends Mol. Med., 2008, 14(8): 361~371. 

    12. [12]

      X C Gao, R X Cui, G F Ji et al. Nanoscale, 2018, 10(13): 6205~6211. 

    13. [13]

      Y Z Chen, X M Shi, Z L Lu et al. Anal. Chem., 2017, 89(10): 5278~5284. 

    14. [14]

      J G Wang, X G Gu, P F Zhang et al. J. Am. Chem. Soc., 2017, 139(46): 16974~16979. 

    15. [15]

      G Y Jiang, G J Zeng, W P Zhu et al. Chem. Commun., 2017, 53(32): 4505~4508. 

    16. [16]

      F Hu, Y Y Huang, G X Zhang et al. Anal. Chem., 2014, 86(15): 7987~7995. 

    17. [17]

      X G Gu, G X Zhang, D Q Zhang, Analyst, 2012, 137(2): 365~369.

    18. [18]

      L Z Chen, J J Mou, Y Y Xu et al. Drug Discov. Ther., 2011, 5(2): 61~65. 

    19. [19]

      Y Ma, Q Y Tang, J Zhu et al. Chin. Chem. Lett., 2014, 25(5): 680~686. 

    20. [20]

      Z E Zhang, H Harada, K Tanabe et al. Peptides, 2005, 26(11): 2182~2187. 

    21. [21]

      A von Wallbrunn, J Waldeck, C H ltke et al. J. Biomed. Opt., 2008, 13(1): 011007. 

    22. [22]

      A H Negussie, J L Miller, G Reddy et al. J. Control. Release, 2010, 143(2): 265~273. 

    23. [23]

      Y Tang, A Shao, J Cao et al. Sci China Chem., 2018, 61(2): 184~191. 

    24. [24]

      Y Zhang, W Xu, L Kong et al. Mater. Chem. Front., 2018, DOI: 10.1039/C8QM00235E.

    25. [25]

      X Gu, X Zhang, H Ma et al. Adv. Mater., 2018, DOI: 10.1002/adma.201801065.

    26. [26]

      X Gu, E Zhao, T Zhao et al. Adv. Mater., 2016, 28(25): 5064~5071. 

    27. [27]

      X Gu, E Zhao, J W Y Lam et al. Adv. Mater., 2015, 27(44): 7093~7100. 

    28. [28]

      X Gu, R T K Kwok, J W Y Lam et al. Biomaterials, 2017, 146: 115~135. 

    29. [29]

      Y Cheng, C L Sun, X W Ou et al. Chem. Sci., 2017, 8(6): 4571~4578. 

    30. [30]

      W Xu, Q Li. Curr. Med. Chem., 2005, 5(3): 281~301. 

    31. [31]

      H Chen, H Wang, X J Qin et al. Chin. Chem. Lett., 2015, 26(5): 513~516. 

    32. [32]

      A Hahnenkamp, M Schäfers, C Bremer et al. Bioconjugate Chem., 2013, 24(6): 1027~1038. 

    33. [33]

      L Chen, W Sun, W Li et al. Anal. Methods, 2012, 4(9): 2661~2663. 

    34. [34]

      L Chen, W Sun, J Li et al. Org. Biomol. Chem., 2012, 11(2): 378~382. 

    35. [35]

      J Li, L Chen, W Wu et al. Anal. Chem., 2014, 86(5): 2747~2751. 

    36. [36]

      X He, Y Xu, W Shi et al. Anal. Chem., 2017, 89(5): 3217~3221. 

    37. [37]

      X He, Y Hu, W Shi et al. Chem. Commun., 2017, 53(68): 9438~9441. 

  • 加载中
    1. [1]

      Yingpeng ZHANGXingxing LIYunshang YANGZhidong TENG . A pyrazole-based turn-off fluorescent probe for visual detection of hydrazine. Chinese Journal of Inorganic Chemistry, 2025, 41(7): 1301-1308. doi: 10.11862/CJIC.20250064

    2. [2]

      Yuting DUJing YUANPeiyao DENG . Synthesis and application of a fluorescent probe for the detection of reduced glutathione. Chinese Journal of Inorganic Chemistry, 2025, 41(7): 1331-1337. doi: 10.11862/CJIC.20240461

    3. [3]

      Qiang HUZhiqi CHENZhong CHENXu WANGWeina WU . Pyridinium-chalcone-based ClO- fluorescent probe: Preparation and biological imaging applications. Chinese Journal of Inorganic Chemistry, 2025, 41(9): 1789-1795. doi: 10.11862/CJIC.20250086

    4. [4]

      Jinlong YANWeina WUYuan WANG . A simple Schiff base probe for the fluorescent turn-on detection of hypochlorite and its biological imaging application. Chinese Journal of Inorganic Chemistry, 2024, 40(9): 1653-1660. doi: 10.11862/CJIC.20240154

    5. [5]

      Jun LUOBaoshu LIUYunchang ZHANGBingkai WANGBeibei GUOLan SHETianheng CHEN . Europium(Ⅲ) metal-organic framework as a fluorescent probe for selectively and sensitively sensing Pb2+ in aqueous solution. Chinese Journal of Inorganic Chemistry, 2024, 40(12): 2438-2444. doi: 10.11862/CJIC.20240240

    6. [6]

      Yanxi LIUMengjia XUHaonan CHENQuan LIUYuming ZHANG . A fluorescent-colorimetric probe for peroxynitrite-anion-imaging in living cells. Chinese Journal of Inorganic Chemistry, 2025, 41(6): 1112-1122. doi: 10.11862/CJIC.20240423

    7. [7]

      Pengli GUANRenhu BAIXiuling SUNBin LIU . Trianiline-derived aggregation-induced emission luminogen probe for lipase detection and cell imaging. Chinese Journal of Inorganic Chemistry, 2025, 41(9): 1817-1826. doi: 10.11862/CJIC.20250058

    8. [8]

      Yu SUXinlian FANYao YINLin WANG . From synthesis to application: Development and prospects of InP quantum dots. Chinese Journal of Inorganic Chemistry, 2024, 40(11): 2105-2123. doi: 10.11862/CJIC.20240126

    9. [9]

      Jiakun BAITing XULu ZHANGJiang PENGYuqiang LIJunhui JIA . A red-emitting fluorescent probe with a large Stokes shift for selective detection of hypochlorous acid. Chinese Journal of Inorganic Chemistry, 2024, 40(6): 1095-1104. doi: 10.11862/CJIC.20240002

    10. [10]

      Benhua Wang Chaoyi Yao Yiming Li Qing Liu Minhuan Lan Guipeng Yu Yiming Luo Xiangzhi Song . 一种基于香豆素氟离子荧光探针的合成、表征及性能测试——“科研反哺教学”在有机化学综合实验教学中的探索与实践. University Chemistry, 2025, 40(6): 201-209. doi: 10.12461/PKU.DXHX202408070

    11. [11]

      Jinghan ZHANGGuanying CHEN . Progress in the application of rare-earth-doped upconversion nanoprobes in biological detection. Chinese Journal of Inorganic Chemistry, 2024, 40(12): 2335-2355. doi: 10.11862/CJIC.20240249

    12. [12]

      Yang Wang Yunpeng Fu Xiaoji Liu Guotao Zhang Guobin Li Wanqiang Liu Jinglun Wang . Structural Analysis of Nitrile Solutions Based on Infrared Spectroscopy Probes. University Chemistry, 2025, 40(4): 367-374. doi: 10.12461/PKU.DXHX202406113

    13. [13]

      Qi Wang Yicong Gao Feng Lu Quli Fan . Preparation and Performance Characterization of the Second Near-Infrared Phototheranostic Probe: A New Design and Teaching Practice of Polymer Chemistry Comprehensive Experiment. University Chemistry, 2024, 39(11): 342-349. doi: 10.12461/PKU.DXHX202404141

    14. [14]

      Pingping LUShuguang ZHANGPeipei ZHANGAiyun NI . Preparation of zinc sulfate open frameworks based probe materials and detection of Pb2+ and Fe3+ ions. Chinese Journal of Inorganic Chemistry, 2025, 41(5): 959-968. doi: 10.11862/CJIC.20240411

    15. [15]

      Meirong HANXiaoyang WEISisi FENGYuting BAI . A zinc-based metal-organic framework for fluorescence detection of trace Cu2+. Chinese Journal of Inorganic Chemistry, 2024, 40(8): 1603-1614. doi: 10.11862/CJIC.20240150

    16. [16]

      Yuan ZHUXiaoda ZHANGShasha WANGPeng WEITao YI . Conditionally restricted fluorescent probe for Fe3+ and Cu2+ based on the naphthalimide structure. Chinese Journal of Inorganic Chemistry, 2025, 41(1): 183-192. doi: 10.11862/CJIC.20240232

    17. [17]

      Shuwen SUNGaofeng WANG . Design and synthesis of a Zn(Ⅱ)-based coordination polymer as a fluorescent probe for trace monitoring 2, 4, 6-trinitrophenol. Chinese Journal of Inorganic Chemistry, 2025, 41(4): 753-760. doi: 10.11862/CJIC.20240399

    18. [18]

      Zhifeng CAIYing WUYanan LIGuiyu MENGTianyu MIAOYihao ZHANG . Effective detection of malachite green by folic acid stabilized silver nanoclusters. Chinese Journal of Inorganic Chemistry, 2025, 41(5): 983-993. doi: 10.11862/CJIC.20240394

    19. [19]

      Wei GAOMeiqi SONGXuan RENJianliang BAIJing SUJianlong MAZhijun WANG . A self-calibrating fluorescent probe for the selective detection and bioimaging of HClO. Chinese Journal of Inorganic Chemistry, 2025, 41(6): 1173-1182. doi: 10.11862/CJIC.20250112

    20. [20]

      Lei ZHANGCheng HEYang JIAO . An azo-based fluorescent probe for the detection of hypoxic tumor cells. Chinese Journal of Inorganic Chemistry, 2025, 41(6): 1162-1172. doi: 10.11862/CJIC.20250081

Metrics
  • PDF Downloads(31)
  • Abstract views(2329)
  • HTML views(701)

通讯作者: 陈斌, bchen63@163.com
  • 1. 

    沈阳化工大学材料科学与工程学院 沈阳 110142

  1. 本站搜索
  2. 百度学术搜索
  3. 万方数据库搜索
  4. CNKI搜索
Address:Zhongguancun North First Street 2,100190 Beijing, PR China Tel: +86-010-82449177-888
Powered By info@rhhz.net

/

DownLoad:  Full-Size Img  PowerPoint
Return