Citation: Ahmed W., Ahmed Hoda, S., El-Sheshtawy H.S., Mohamed Nadia, A., Zahran Asmaa, I.. Egyptian heavy vacuum gas oil hydrotreating over Co-Mo/CNT and Co-Mo/γ-Al2O3 catalysts[J]. Journal of Fuel Chemistry and Technology, ;2016, 44(7): 853-861. shu

Egyptian heavy vacuum gas oil hydrotreating over Co-Mo/CNT and Co-Mo/γ-Al2O3 catalysts

  • Corresponding author: Ahmed W., Waelepri2@yahoo.com
  • Received Date: 4 February 2016
    Revised Date: 22 May 2016

Figures(5)

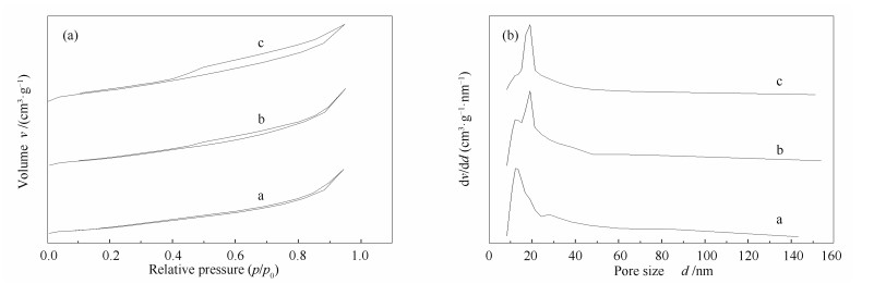
  • The catalytic activity of CoMoS/CNT towards the Egyptian heavy vacuum gas oil hydrotreating was studied. The delivered CNT was functionalized with 6 mol/L HNO3. The CNT were loaded with 12% MoO3 (by weight) and 0.7 Co/Mo atomic ratio with impregnation methods. The γ-Al2O3catalyst was also prepared by impregnation method to compare both catalysts activities. The analysis tools such XRD, Raman spectroscopy, TEM, and BET were used to characterize the catalysts. The autoclave reactor was used to operate the hydrotreating experiments. The hydrotreating reactions were tested at various operating conditions of temperature 325-375 ℃, pressure 2-6 MPa, time 2-6 h, and catalyst/oil ratio (by weight) of 1:75, 1:33 and 1:10. The results revealed that the CoMoS/CNT was highly efficient for the hydrotreating more than the CoMoS/γ-Al2O3. Also, the hydrodesulfurization (HDS) increased with increasing catalyst/oil ratio. Additionally, results showed that the optimum condition was temperature 350 ℃, pressure 4 MPa, catalyst/oil ratio of 1:75 for 2 h. Furthermore, even at low CoMoS/CNT catalyst/oil ratio of 1:75, an acceptable HDS of 77.1% was achieved.
  • 加载中
    1. [1]

      TOPSФE H, CLAUSEN B S. Importance of Co-Mo-S type structures in hydrodesulfurization[J]. Catal Rev Sci Eng, 1984,26(3/4):395-420.  

    2. [2]

      PRINS R, DE BEER V H J, SOMORJAI G A. Structure and function of the catalyst and the promoter in Co-Mo hydrodesulfurization catalysts[J]. Catal Rev Sci Eng, 1989,31(1/2):1-41.  

    3. [3]

      MEDICI L, PRINS R. The influence of chelating ligands on the sulfidation of Ni and Mo in NiMo/SiO2 hydrotreating catalysts[J]. J Catal, 1996,163(1):38-49. doi: 10.1006/jcat.1996.0303

    4. [4]

      SHIMIZU T, HIROSHIMA K, HONMA T, MOCHIZUKI T, YAMADA M. Highly active hydrotreatment catalysts prepared with chelating agents[J]. Catal today, 1998,45(1/4):271-276.  

    5. [5]

      VAN LOOIJ F, VAN DER LAAN P, STORK W H J, DICAMILLO D J, SWAIN J. Key parameters in deep hydrodesulfurization of diesel fuel[J]. Appl Catal A: Gen, 1998,170(1):1-12. doi: 10.1016/S0926-860X(98)00028-3

    6. [6]

      SHIMADA H, SATO T, YOSHIMURA Y, HIRAISHI J, NISHIJIMA A. Support effect on the catalytic activity and properties of sulfided molybdenum catalysts[J]. J Catal, 1988,110(2):275-284. doi: 10.1016/0021-9517(88)90319-3

    7. [7]

      VISHWAKARMA S K. Sonochemical and impregnated Co-W/γ-Al2O3 catalysts: Performances and kinetic studies on hydrotreatment of light gas oil[D].Saskatoon University of Saskatchewan, 2007.

    8. [8]

      TOPSФE H, CLAUSEN B S. Active sites and support effects in hydrodesulfurization catalysts[J]. Appl Catal, 1986,25(1/2):273-293.  

    9. [9]

      ESWARAMOORTHI I, SUNDARAMURTHY V, DAS N, DALAI A K, ADJAYE J. Application of multi-walled carbon nanotubes as efficient support to NiMo hydrotreating catalyst[J]. Appl Catal A: Gen, 2008,339(2):187-195. doi: 10.1016/j.apcata.2008.01.021

    10. [10]

      SIGURDSON S, SUNDARAMURTHY V, DALAI A K, ADJAYE J. Effect of anodic alumina pore diameter variation on template-initiated synthesis of carbon nanotube catalyst supports[J]. JMol Catal A: Chem, 2009,306:23-32. doi: 10.1016/j.molcata.2009.02.016

    11. [11]

      DHAR G M, SRINIVAS B N, RANA M S, KUMAR M, MAITY S K. Mixed oxide supported hydrodesulfurization catalysts-A review[J]. Catal Today, 2003,86(1/4):45-60.  

    12. [12]

      WANG A, WANG Y, KABE T, CHEN Y, ISHIHARA A, QIAN W. Hydrodesulfurization of dibenzothiophene over siliceous MCM-41-supported catalysts: I. Sulfided Co-Mo catalysts[J]. J Catal, 2001,199(1):19-29. doi: 10.1006/jcat.2000.3148

    13. [13]

      MAITY S K, RANA M S, BEJ S K, ANCHEYTA-JUAREZ J, DHAR G M, RAO T S R P. Studies on physico-chemical characterization and catalysis on high surface area titania supported molybdenum hydrotreating catalysts[J]. Appl CatalA: Gen, 2001,205(1/2):215-225.  

    14. [14]

      VRADMAN L, LANDAU M V, HERSKOWITZ M, EZERSKY V, TALIANKER M, NIKITENKO S, KOLTYPIN Y, GEDANKEN A. High loading of short WS 2 slabs inside SBA-15: Promotion with nickel and performance in hydrodesulfurization and hydrogenation[J]. J Catal, 2003,213(2):163-175. doi: 10.1016/S0021-9517(02)00012-X

    15. [15]

      POUR A N, RASHIDI A M, JOZANI K J, MOHAJERI A, KHORAMI P. Support effects on the chemical property and catalytic activity of Co-Mo HDS catalyst in sulfur recovery[J]. J Nat Gas Chem, 2010,19(1):91-95. doi: 10.1016/S1003-9953(09)60032-3

    16. [16]

      SERP P, CORRIAS M, KALCK P. Carbon nanotubes and nanofibers in catalysis[J]. Appl Catal A: Gen, 2003,253:337-358. doi: 10.1016/S0926-860X(03)00549-0

    17. [17]

      VAN STEEN E, PRINSLOO F F. Comparison of preparation methods for carbon nanotubes supported iron Fischer-Tropsch catalysts[J]. Catal Today, 2002,71(3/4):327-334.  

    18. [18]

      AUER E, FREUND A, PIETSCH J, TACKE T. Carbons as supports for industrial precious metal catalysts[J]. Appl Catal A: Gen, 1998,173(2):259-271. doi: 10.1016/S0926-860X(98)00184-7

    19. [19]

      SHANG H Y, LIU C G, XU Y Q, ZHAO H J, SONG H H. Effect of the surface modification of multi-walled carbon nanotubes (MWCNTs) on hydrodesulfurization activity of Co-Mo/MWCNTs catalysts[J]. New Carbon Mater, 2004,19(2):131-136.  

    20. [20]

      KYOTANI T, NAKAZAKI S, XU W-H, TOMITA A. Chemical modification of the inner walls of carbon nanotubes by HNO3 oxidation[J]. Carbon, 2001,39(5):782-785. doi: 10.1016/S0008-6223(01)00013-6

    21. [21]

      DONG K, ZHANG S, WANG D, YAO X. Hydrogen bonds in imidazolium ionic liquids[J]. J Phys Chem A, 2006,110(31):9775-9782. doi: 10.1021/jp054054c

    22. [22]

      SHANG H, LIU C, XU Y, QIU J, WEI F. States of carbon nanotube supported Mo-based HDS catalysts[J]. Fuel Process Technol, 2007,88(2):117-123. doi: 10.1016/j.fuproc.2004.08.010

    23. [23]

      AWADALLAH A E, ABOUL-ENEIN A A, EL-DESOUKI D S, ABOUL-GHEIT A K. Catalytic thermal decomposition of methane to COx-free hydrogen and carbon nanotubes over MgO supported bimetallic group Ⅷ catalysts[J]. ApplSurfSci, 2014,296:100-107.

    24. [24]

      SUNDARAMURTHY V, DALAI A K, ADJAYE J. Effect of EDTA on hydrotreating activity of CoMo/γ-Al2O3 catalyst[J]. CatalLett, 2005,102(3):299-306.

    25. [25]

      HOGG J C, CHU F, UTOKAPARCH S, WOODS R, ELLIOTT W M, BUZATU L, CHERNIACK R M, ROGERS R M, SCIURBA F C, COXSON H O, PARP D. The nature of small-airway obstruction in chronic obstructive pulmonary disease[J]. N Engl J Med, 2004,350:2645-2653. doi: 10.1056/NEJMoa032158

    26. [26]

      SHIGAPOV A N, GRAHAM G W, MCCABE R W, PECK M P, PLUMMER H K. The preparation of high-surface-area cordierite monolith by acid treatment[J]. Appl Catal A: Gen, 1999,182(1):137-146. doi: 10.1016/S0926-860X(99)00003-4

    27. [27]

      TAN Z L, XIAO H N, ZHANG R D, ZHANG Z S, KALIAGUINE S. Potential to use mesoporous carbon as catalyst support for hydrodesulfurization[J]. New Carbon Mater, 2009,24(4):333-343. doi: 10.1016/S1872-5805(08)60056-6

    28. [28]

      ZHANG Y, ZHANG H B, LIN G D, CHEN P, YUAN Y Z, TSAI K R. Preparation, characterization and catalytic hydroformylation properties of carbon nanotubes-supported Rh-phosphine catalyst[J]. Appl Catal A: Gen, 1999,187(2):213-224. doi: 10.1016/S0926-860X(99)00229-X

    29. [29]

      DUJARDIN E, EBBESEN T W, HIURA H, TANIGAKI K. Capillarity and wetting of carbon nanotubes[J]. Science, 1994,265(5180):1850-1852. doi: 10.1126/science.265.5180.1850

    30. [30]

      DANDEKAR A, BAKER R T K, VANNICE M A. Characterization of activated carbon, graphitized carbon fibers and synthetic diamond powder using TPD and DRIFTS[J]. Carbon, 1998,36(12):1821-1831. doi: 10.1016/S0008-6223(98)00154-7

    31. [31]

      KARIMI A, NASERNEJAD B, RASHIDI A M. Synthesis and characterization of multiwall carbon nanotubes/alumina nanohybrid-supported cobalt catalyst in Fischer-Tropsch synthesis[J]. J Energy Chem, 2013,22(4):582-590. doi: 10.1016/S2095-4956(13)60076-5

    32. [32]

      TRÉPANIER M, TAVASOLI A, DALAI AK, ABATZOGLOU N. Fischer-Tropsch synthesis over carbon nanotubes supported cobalt catalysts in a fixed bed reactor: Influence of acid treatment[J]. Fuel Process Technol, 2009,90(3):367-374. doi: 10.1016/j.fuproc.2008.10.012

    33. [33]

      KARIMI A, NASERNEJAD B, RASHIDI A M, TAVASOLI A, POURKHALIL M. Functional group effect on carbon nanotube (CNT)-supported cobalt catalysts in Fischer-Tropsch synthesis activity, selectivity and stability[J]. Fuel, 2014,117:1045-1051. doi: 10.1016/j.fuel.2013.10.014

    34. [34]

      ABBASLOU R M M, TAVASSOLI A, SOLTAN J, DALAI A K. Iron catalysts supported on carbon nanotubes for Fischerâ Tropsch synthesis: Effect of catalytic site position[J]. Appl Catal A: Gen, 2009,367(1/2):47-52.  

    35. [35]

      DRESSELHAUS M S, DRESSELHAUS G, JORIO A, SOUZA FILHO A G, SAITO R. Raman spectroscopy on isolated single wall carbon nanotubes[J]. Carbon, 2002,40(12):2043-2061. doi: 10.1016/S0008-6223(02)00066-0

    36. [36]

      LI Q, YAN H, ZHANG J, LIU Z. Effect of hydrocarbons precursors on the formation of carbon nanotubes in chemical vapor deposition[J]. Carbon, 2004,42(4):829-835. doi: 10.1016/j.carbon.2004.01.070

    37. [37]

      KOHLER S D, EKERDT J G, KIM D S, WACHS I E. Relationship between structure and point of zero surface charge for molybdenum and tungsten oxides supported on alumina[J]. Catal Lett, 1992,16(3):231-239. doi: 10.1007/BF00764335

    38. [38]

      JEZIOROWSKI H, KNOZINGER H, GRANGE P, GAJARDO P. Raman spectra of cobalt molybdenum oxide supported on silica[J]. J Phys Chem, 1980,84:1825-1829. doi: 10.1021/j100451a017

    39. [39]

      GARY J H, HANDWERK G E, KAISER M J. Petroleum refining: Technology and economics[C]. Boca Raton: CRC Press, 2007.

    40. [40]

      BARTHOLOMEW C H. Catalyst deactivation in hydrotreating of residua: A review[C]. New York: Marcel Dekker, 1994.

  • 加载中
    1. [1]

      Jie XIEHongnan XUJianfeng LIAORuoyu CHENLin SUNZhong JIN . Nitrogen-doped 3D graphene-carbon nanotube network for efficient lithium storage. Chinese Journal of Inorganic Chemistry, 2024, 40(10): 1840-1849. doi: 10.11862/CJIC.20240216

    2. [2]

      Hailang JIAHongcheng LIPengcheng JIYang TENGMingyun GUAN . Preparation and performance of N-doped carbon nanotubes composite Co3O4 as oxygen reduction reaction electrocatalysts. Chinese Journal of Inorganic Chemistry, 2024, 40(4): 693-700. doi: 10.11862/CJIC.20230402

    3. [3]

      Pei CaoYilan WangLejian YuMiao WangLiming ZhaoXu Hou . Dynamic asymmetric mechanical responsive carbon nanotube fiber for ionic logic gate. Chinese Chemical Letters, 2024, 35(6): 109421-. doi: 10.1016/j.cclet.2023.109421

    4. [4]

      Qingming ZengYanjun WenBeibei GaoQingyan ZhangLulin GuoChao ZhangJiachen WangQingyi Zeng . Self-driven photoelectrocatalytic systems with carbon-felt-loaded carboxylated carbon nanotube cathodes: Reduction of uranyl, oxidation of organics, and power generation. Chinese Chemical Letters, 2025, 36(9): 110673-. doi: 10.1016/j.cclet.2024.110673

    5. [5]

      Xiao LiWanqiang YuYujie WangRuiying LiuQingquan YuRiming HuXuchuan JiangQingsheng GaoHong LiuJiayuan YuWeijia Zhou . Metal-encapsulated nitrogen-doped carbon nanotube arrays electrode for enhancing sulfion oxidation reaction and hydrogen evolution reaction by regulating of intermediate adsorption. Chinese Chemical Letters, 2024, 35(8): 109166-. doi: 10.1016/j.cclet.2023.109166

    6. [6]

      Mengyao GaoShan SunHengwei LinCheng Yang . A multifunctional carbon dot-based nanoplatform for antibacterial therapy: Integrating photodynamic, photothermal, and gas treatments. Chinese Chemical Letters, 2026, 37(2): 111055-. doi: 10.1016/j.cclet.2025.111055

    7. [7]

      Yang Yang Yan-Xin Chen Ao-Sheng She Hao-Yan Shi Wen Chen Wei Wang Hai-Long Wang Ke-Xian Li Yi-Hu Pu Wei-Hua Yang Xiu-Mei Lin Can-Zhong Lu . Nickel phosphide modified TiO2 nanotube arrays for efficient PEC water splitting H2 generation. Chinese Journal of Structural Chemistry, 2025, 44(7): 100623-100623. doi: 10.1016/j.cjsc.2025.100623

    8. [8]

      Min ChenYu ZhouPeng RaoXinlong TianRuisong LiJing LiZhengpei Miao . Interface−morphology synergy in TiN nanotube−supported Pt catalyst layers enables durable proton-exchange-membrane fuel cells. Chinese Chemical Letters, 2026, 37(4): 111899-. doi: 10.1016/j.cclet.2025.111899

    9. [9]

      Yifen HeChao QuNa RenDawei Liang . Enhanced degradation of refractory organics in ORR-EO system with a blue TiO2 nanotube array modified Ti-based Ni-Sb co-doped SnO2 anode. Chinese Chemical Letters, 2024, 35(8): 109262-. doi: 10.1016/j.cclet.2023.109262

    10. [10]

      Bicheng JiXicheng LiShuai GaoPengyuan LiuJiajie BaoLv QianChangzheng WangQiang WangChong-Chen WangIn-situ Z-scheme hetero-phase homojunction significantly enhances the carrier separation efficiency of TiO2 nanotube arrays: Key role of crystal phase engineering. Chinese Chemical Letters, 2026, 37(2): 111424-. doi: 10.1016/j.cclet.2025.111424

    11. [11]

      Daheng WenWeiwei FangYongmei LiuTao Tu . Valorization of carbon dioxide with alcohols. Chinese Chemical Letters, 2024, 35(7): 109394-. doi: 10.1016/j.cclet.2023.109394

    12. [12]

      Heng YangZhijie ZhouConghui TangFeng Chen . Recent advances in heterogeneous hydrosilylation of unsaturated carbon-carbon bonds. Chinese Chemical Letters, 2024, 35(6): 109257-. doi: 10.1016/j.cclet.2023.109257

    13. [13]

      Yixuan WangJiexin LiZhihao ShangChengcheng FengJianmin GuMaosheng YeRan ZhaoDanna LiuJingxin MengShutao Wang . Wettability-driven synergistic resistance of scale and oil on robust superamphiphobic coating. Chinese Chemical Letters, 2024, 35(7): 109623-. doi: 10.1016/j.cclet.2024.109623

    14. [14]

      Changxing YangGuxia WangShengwei GuoJianlin Sun . Potential and progress of two-dimensional nanomaterials in oil-based lubrication. Chinese Chemical Letters, 2025, 36(9): 111178-. doi: 10.1016/j.cclet.2025.111178

    15. [15]

      Hui LiuBaoying XiaoYaming ZhaoWei WangQiong Jia . Adsorption of heavy metals with hyper crosslinked polymers: Progress, challenges and perspectives. Chinese Chemical Letters, 2025, 36(8): 110619-. doi: 10.1016/j.cclet.2024.110619

    16. [16]

      Kang WeiJiayu LiWen ZhangBing YuanMing-De LiPingwu Du . A strained π-extended [10]cycloparaphenylene carbon nanoring. Chinese Chemical Letters, 2024, 35(5): 109055-. doi: 10.1016/j.cclet.2023.109055

    17. [17]

      Xiangyuan Zhao Jinjin Wang Jinzhao Kang Xiaomei Wang Hong Yu Cheng-Feng Du . Ni nanoparticles anchoring on vacuum treated Mo2TiC2Tx MXene for enhanced hydrogen evolution activity. Chinese Journal of Structural Chemistry, 2023, 42(10): 100159-100159. doi: 10.1016/j.cjsc.2023.100159

    18. [18]

      Yu-Qi CaoYing-Jie LuLi ZhangJing ZhangYin-Long Guo . Vacuum promoted on-tissue derivatization strategy: Unravelling spatial distribution of glycerides on tissue. Chinese Chemical Letters, 2024, 35(12): 109788-. doi: 10.1016/j.cclet.2024.109788

    19. [19]

      Bing ZhangGuoqing JiangWenxin ShiYanei XueWenjun Sun . Vacuum-ultraviolet technology photolysis of aqueous reaction systems for organic pollutants abatement. Chinese Chemical Letters, 2026, 37(2): 111371-. doi: 10.1016/j.cclet.2025.111371

    20. [20]

      Wenda WANGJinku MAYuzhu WEIShuaishuai MA . Waste biomass-derived carbon modified porous graphite carbon nitride heterojunction for efficient photodegradation of oxytetracycline in seawater. Chinese Journal of Inorganic Chemistry, 2024, 40(4): 809-822. doi: 10.11862/CJIC.20230353

Metrics
  • PDF Downloads(2)
  • Abstract views(2685)
  • HTML views(93)

通讯作者: 陈斌, bchen63@163.com
  • 1. 

    沈阳化工大学材料科学与工程学院 沈阳 110142

  1. 本站搜索
  2. 百度学术搜索
  3. 万方数据库搜索
  4. CNKI搜索
Address:Zhongguancun North First Street 2,100190 Beijing, PR China Tel: +86-010-82449177-888
Powered By info@rhhz.net

/

DownLoad:  Full-Size Img  PowerPoint
Return