Citation: GUO Ai-jun, PAN Hui-hui, ZHENG Wen-lin, JIAO Shou-hui, WANG Feng, JIN Zheng-zheng, LIU He, CHEN Kun, WANG Zong-xian. Synthesis of dispersed molybdenum disulfide nano-catalysts and their performance in the hydrogenation of simulated oil slurry[J]. Journal of Fuel Chemistry and Technology, ;2019, 47(5): 629-640. shu

Synthesis of dispersed molybdenum disulfide nano-catalysts and their performance in the hydrogenation of simulated oil slurry

  • Corresponding author: GUO Ai-jun, ajguo@upc.edu.cn
  • Received Date: 4 January 2019
    Revised Date: 4 March 2019

    Fund Project: State Key Laboratory of Heavy Oil Processing SLKZZ-2017011The project was supported by the National Natural Science Foundation of China (21776313), the Provincial Key Research and Development Plan of Shandong (2017GGX70108) and the State Key Laboratory of Heavy Oil Processing (SLKZZ-2017011)The project was supported by the National Natural Science Foundation of China 21776313Provincial Key Research and Development Plan of Shandong 2017GGX70108

Figures(13)

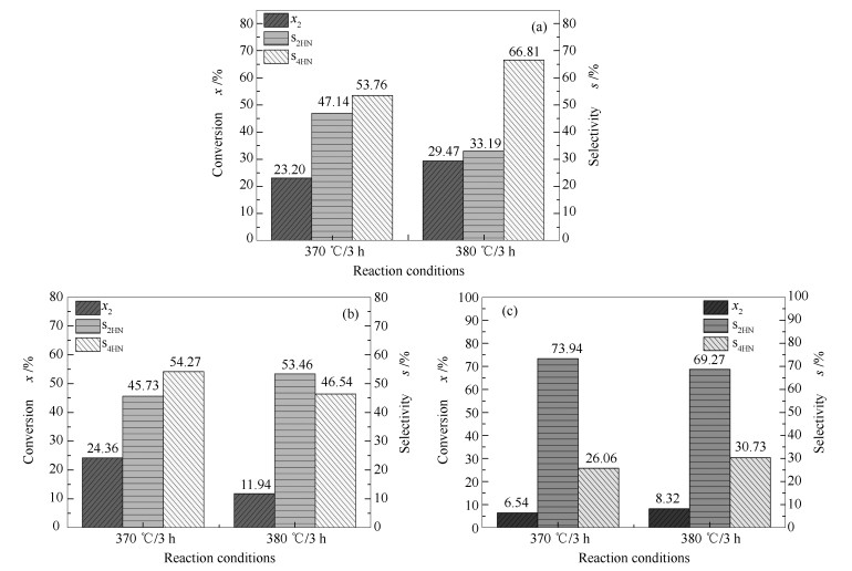
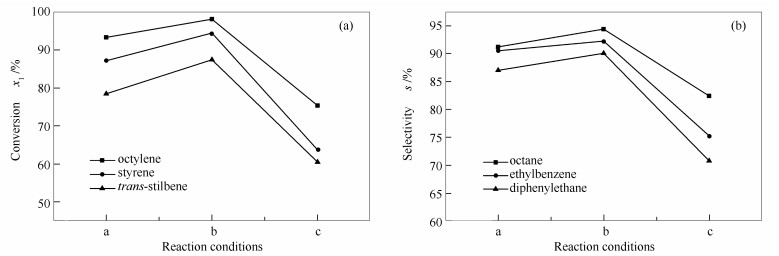
  • A series of dispersed nano molybdenum disulfide (MoS2) catalysts were prepared with molybdenum dialkyl dithiocarbamate (Mo-DTC) and molybdenum hexacarbonyl (Mo(CO)6) as the precursors by hydrothermal methods and characterized by X-ray diffraction (XRD), transmission electron microscopy (TEM), X-ray photoelectron spectroscopy (XPS) and temperature programmed desorption (NH3-TPD). By using a simulated oil slurry containing three kinds of olefins (octane, styrene and trans-dibenzylethene), benzothiophene and anthracene, the catalytic performance of nano MoS2 in the hydrogenation was investigated, with the help of gas chromatography-mass spectrometry (GC-MS). The results indicate that all the prepared catalysts are in the form of 2H-MoS2; however, their crystallinity, particle size, vulcanization degree, and acid property are influenced by the pretreatment conditions; the preferred vulcanization conditions for the Mo-DTC-and Mo(CO)6-based MoS2 catalysts are 380 ℃/30 min and 370 ℃/30 min, respectively, to achieve a relatively high activity in the hydrogenation of olefins and benzothiophene. Over the Mo-DTC-based nano-MoS2 catalyst, the saturation conversion of olefins hydrogenation is 98.10% and the hydrodesulfurization rate is 94.51%, whereas the saturation conversion of anthracene hydrogenation is 29.47%, without forming octahydroanthracene (8HN) or perhydroanthracene. In contrast, the activity of Mo(CO)6-based nano-MoS2 catalyst is slightly lower, with the saturation conversion of olefins hydrogenation being 94.01% and the hydrodesulfurization rate being 89.01%; similarly, the saturation conversion for anthracene hydrogenation is 24.20%, without 8HN or perhydroanthracene in the product. As a whole, in comparison with the Mo(CO)6-based MoS2 catalyst, the nano MoS2 catalyst derived from Mo-DTC displays higher efficiency in both olefins saturation and sulfur-containing compounds desulfurization, and low degree hydrogenation of aromatic hydrocarbons; moreover, it also exhibits higher hydro-treating selectivity for the catalytic cracking slurry and higher stability during hydrogenation.
  • 加载中
    1. [1]

      WANG Hong-jun, MA Feng, TONG Xiao-guang, LIU Zuo-dong, ZHANG Xin-shun, WU Zhen-zhen, LI Deng-hua, WANG Bo, XIE Yin-fu, YANG Liu-yan. Global unconventional oil and gas resources evaluation[J]. Adv Pet Explor Dev, 2016,43(6):850-862.  

    2. [2]

      GUO Ai-jun, ZHENG Wen-lin, JIAO Shou-hui, CHEN Kun, LIU He, WANG Zong-xian, WANG Zi-hao. Study on olefin distribution of catalytic cracking slurry[J]. J Fuel Chem Technol, 2018,46(4):413-418.  

    3. [3]

      SHANG Meng, LI Chuan, DENG Wen-an, TIAN Guang-hua, QUE Guo-he. Performance of residual oil hydrocracking oil-soluble catalyst[J]. Acta Pet Sin (Pet Process Sect), 2011,27(3):361-366. doi: 10.3969/j.issn.1001-8719.2011.03.006

    4. [4]

      NI Shu-rong, XU Wei-chi, JIANG Wei, ZHANG Quan-guo, GUO Jin-tao. Research progress on unsupported hydrodesulfurization catalysts[C]//National Industrial Catalysis Technology and Application Annual Meeting. 2016.

    5. [5]

      PANARITI N, BIANCO A D, PIERO G D, MARCHIONNA M, CARNITI P. Petroleum residue upgrading with dispersed catalysts:Part 2. Effect of operating conditions[J]. Appl Catal A:Gen, 2000,204(2):215-222. doi: 10.1016/S0926-860X(00)00532-9

    6. [6]

      LIU Chen-guang, QUE Guo-he. Study on hydrocracking reaction of Gudao residue in the presence of dispersed catalyst[J]. Pet Process Petrochem, 1993,24(3):57-62.  

    7. [7]

      CLOSE M R, PETERSEN J L, KUGLER E L. Synthesis and characterization of nanoscale molybdenum sulfide catalysts by controlled gas phase decomposition of Mo(CO)6and H2S[J]. Inorg Chem, 1999,38(7):1535-1542. doi: 10.1021/ic980700t

    8. [8]

      WANG Ya-nan, LI Guang-xue, LIU Yin. Preparation and application of molybdenum disulfide catalyst[J]. Guangdong Chem Ind, 2009,36(3):37-41.  

    9. [9]

      ROMERO-RIVERA R, VALLE M D, ALONSO G, FLORES E, CASTILLON F, FUENTES S, CRUZ-REYES J. Cyclohexene hydrogenation with molybdenum disulfide catalysts prepared by ex situ, decomposition of ammonium thiomolybdate-cetyltrimethylammonium thiomolybdate mixtures[J]. Catal Today, 2008,130(2):354-360.  

    10. [10]

      BACKES C, BENERN C, CHEN X, LAFARGUE P, LAPIACE P, FREELEY M, DUESBERG G S, COLEMA J N, MCDONALD A R. Functionalization of liquid-exfoliated two-dimensional 2H-MoS2[J]. Angew Chem Int Ed, 2015,54(9):2638-2642. doi: 10.1002/anie.201409412

    11. [11]

      TANG G, WANG Y, CHEN W, TANG H, LI C. Hydrothermal synthesis and characterization of novel flowerlike MoS2 hollow microspheres[J]. Mater Lett, 2013,100:15-18. doi: 10.1016/j.matlet.2013.02.103

    12. [12]

      XIE J, ZHANG J, LI S, GROTE F, ZHANG X, ZHANG H, WANG R, LEI Y, PAN B, XIE Y. Controllable disorder engineering in oxygen-incorporated MoS2 ultrathin nanosheets for efficient hydrogen evolution[J]. J Am Chem Soc, 2014,136(4):17881-17888.  

    13. [13]

      PENG Y, MENG Z, ZHONG C, LU J, YU W, YANG Z, QIAN Y. Hydrothermal synthesis of MoS2 and its pressure-related crystallization[J]. J Solid State Chem, 2001,159(1):170-173. doi: 10.1006/jssc.2001.9146

    14. [14]

      WATANABE I, OTAKE M, YOSHIMOTO M, SAKANISHI K, KORAIY , MOCHIDA I. Behaviors of oil-soluble molybdenum complexes to form very fine MoS2 particles in vacuum residue[J]. Fuel, 2002,81(11):1515-1520.  

    15. [15]

      ZHANG Qian-qian, DENG Wen-an, LI Chuan, MU Bao-quan. Preliminary study on the differences and causes of different organic molybdenum catalysts in heavy oil hydrogenation[J]. Pet Process Petrochem, 2015,46(5):61-65. doi: 10.3969/j.issn.1005-2399.2015.05.013

    16. [16]

      SAKANISHI K, WATANABE I, MOCHIDA I. Characterization of soluble Mo complex catalyst during hydro-treatment of vacuum residues[J]. ACS Symp, 2005:197-203.  

    17. [17]

      LI J H, WAN D E, MA H J. Ionic liquid assisted hydrothermal synthesis of MoS2 double-shell polyhedral cages with enhanced catalytic hydrogenation activities[J]. RSC Adv, 2017,7(38):23523-23529. doi: 10.1039/C7RA02482G

    18. [18]

      LI M, WANG D E, LI J H. Facile hydrothermal synthesis of MoS2 nano-sheets with controllable structures and enhanced catalytic performance for anthracene hydrogenation[J]. RSC Adv, 2016,6(75):71534-71542. doi: 10.1039/C6RA16084K

    19. [19]

      REN Ping, LAN Xin-zhe, ZHOU Jun, SONG Yong-hui, ZHANG Qiu-li. Hydrothermal synthesis and characterization of MoS2flower-sphere[J]. Nonferrous Met Extr Metall, 2011(10):47-49. doi: 10.3969/j.issn.1007-7545.2011.10.014

    20. [20]

      HUANG Ji-wu. X-ray Diffraction of Polycrystalline Materials-Experimental Principle, Method and Application[M]. Beijing:Metallurgical Industry Press, 2006:119-132.

    21. [21]

      YANG Y Q, TYE C T, SMITH K J. Influence of MoS2 catalyst morphology on the hydride-oxygenation of phenols[J]. Catal Commun, 2008,9(6):1364-1368. doi: 10.1016/j.catcom.2007.11.035

    22. [22]

      WU Zhuang-zhi. Preparation and properties of nanostructured molybdenum disulfide (tungsten)[M]. Changsha:Central South University, 2012.

    23. [23]

      DREW M G B, MITCHELL P C H, KASZTELAN S. Computer modelling of a molybdenum disulfide catalyst[J]. Polyhedron, 1990,8(86):697-702.  

    24. [24]

      LI Min, LIU Zhong-shan, WANG Dong-e, PAN Zhen-dong, MA Huai-jun, JIANG Yu-xia, TIAN Zhi-jian. Preparation of nanometer molybdenum disulfide and its hydrogenation performance[J]. Acta Pet Sin(Pet Process Sect), 2018,34(2):253-260.  

    25. [25]

      HAO L, XIONG G, LIU L P, LONG H Y, JIN F Y, WANG X S. Preparation of highly dispersed desulfurization catalysts and their catalytic performance in hydrodesulfurization of dibenzothiophene[J]. Chin J Catal, 2016,37(3):412-419. doi: 10.1016/S1872-2067(15)61017-8

    26. [26]

      LIU K K, ZHANG W, LEE Y H, LIN Y C, CHANG M T, SU C Y, CHANG C S, LI H, SHI Y M. Growth of large-area and highly crystalline MoS2 thin layers on insulating substrates[J]. Nano Lett, 2012,12(3):1538-1544. doi: 10.1021/nl2043612

    27. [27]

      WANG H W, SKELDON P, THOMPSON G E. XPS studies of MoS2 formation from ammonium tetrathiomolybdate solutions[J]. Surf Coat Technol, 1997,91(3):200-207. doi: 10.1016/S0257-8972(96)03186-6

    28. [28]

      RAO C N R, NAG A. Inorganic analogues of graphene[J]. Eur J Inorg Chem, 2010(27):4244-4250.  

    29. [29]

      BAKER M A, GILMORE R, LENARDI C, GISSLER W. XPS investigation of preferential sputtering of S from MoS2 and determination of MoSx stoichiometry from Mo and S peak positions[J]. Appl Surf Sci, 1999,150(14):255-262.  

    30. [30]

      XU Zhong-min, SU Yun-lai, LI Quan-zhi, HU Jia-fen. Preparation of Pd/HM catalysts and their surface acid properties[J]. J Catal, 1994,15(2):152-156.  

    31. [31]

      BENRABAA R, LOFBERG A, RUBBENS A, BORDES R E, VANNIER R N, BARAMA A. Structure, reactivity and catalytic properties of nanoparticles of nickel ferrite in the dry reforming of methane[J]. Catal Today, 2013,203(5):188-195.  

    32. [32]

      LI M, WANG D E, LI J H, PAN Z D, MA H J, JIANG Y X, TIAN Z J, LU A H. Surfactant-assisted hydrothermally synthesized MoS2 samples with controllable morphologies and structures for anthracene hydrogenation[J]. Chin J Catal, 2017,38(3):597-606. doi: 10.1016/S1872-2067(17)62779-7

    33. [33]

      WAN Yuan-yang, LIU Wei, HUANG Lu-lu, SHEN Yi, SUN Yu. Study on polycyclic aromatic hydrogenation catalysts[J]. Fuel Chem Process, 2018,49(1):36-38.  

    34. [34]

      NAGAI M, MIYAO T, TUBOI T. Hydrodesulfurization of dibenzothiophene on alumina-supported molybdenum nitride[J]. Catal Lett, 1993,18(1/2):9-14.  

  • 加载中
    1. [1]

      Yang Li Jiachen Li Daidi Fan . 二硫化钼纳米片的制备及其纳米酶性能探究——介绍一个大学化学综合实验. University Chemistry, 2025, 40(8): 233-240. doi: 10.12461/PKU.DXHX202410016

    2. [2]

      Weihan ZhangMenglu WangAnkang JiaWei DengShuxing Bai . Surface Sulfur Species Influence Hydrogenation Performance of Palladium-Sulfur Nanosheets. Acta Physico-Chimica Sinica, 2024, 40(11): 2309043-0. doi: 10.3866/PKU.WHXB202309043

    3. [3]

      Yongqing XuYuyao YangMengna WuXiaoxiao YangXuan BieShiyu ZhangQinghai LiYanguo ZhangChenwei ZhangRobert E. PrzekopBogna SztorchDariusz BrzakalskiHui Zhou . Review on Using Molybdenum Carbides for the Thermal Catalysis of CO2 Hydrogenation to Produce High-Value-Added Chemicals and Fuels. Acta Physico-Chimica Sinica, 2024, 40(4): 2304003-0. doi: 10.3866/PKU.WHXB202304003

    4. [4]

      Zhenhuan WangWeifei WeiRuijie MaDou LuoZhanxiang ChenJun ZhangLiyang YuGang LiZhenghui Luo . Core cyanation of benzo[a]phenazine acceptor enables 19.04% binary organic solar cells with green solvent compatibility. Acta Physico-Chimica Sinica, 2026, 42(2): 100182-0. doi: 10.1016/j.actphy.2025.100182

    5. [5]

      Lin LIJiaxue LIMeixia YANGJiayu DINGJiaqi JINGRuiping ZHANG . Preparation of mitoxantrone self-assembled carrier-free nanodrugs regulated by sodium acetate for apoptosis induction of human breast carcinoma cells. Chinese Journal of Inorganic Chemistry, 2025, 41(12): 2536-2548. doi: 10.11862/CJIC.20250138

    6. [6]

      Liuyun ChenWenju WangTairong LuXuan LuoXinling XieKelin HuangShanli QinTongming SuZuzeng QinHongbing Ji . Soft template-induced deep pore structure of Cu/Al2O3 for promoting plasma-catalyzed CO2 hydrogenation to DME. Acta Physico-Chimica Sinica, 2025, 41(6): 100054-0. doi: 10.1016/j.actphy.2025.100054

    7. [7]

      Xiaorui ChenXuan LuoTongming SuXinling XieLiuyun ChenYuejing BinZuzeng QinHongbing Ji . Ga-doped Cu/γ-Al2O3 bifunctional interface sites promote the direct hydrogenation of CO2 to DME. Acta Physico-Chimica Sinica, 2025, 41(10): 100126-0. doi: 10.1016/j.actphy.2025.100126

    8. [8]

      Jichao XUMing HUXichang CHENChunhui WANGLeichen WANGLingyi ZHOUXing HEXiamin CHENGSu JING . Construction and hydrogen peroxide-activated chemodynamic activity of ferrocene?benzoselenadiazole conjugate. Chinese Journal of Inorganic Chemistry, 2025, 41(8): 1495-1504. doi: 10.11862/CJIC.20250144

    9. [9]

      Caixia Lin Zhaojiang Shi Yi Yu Jianfeng Yan Keyin Ye Yaofeng Yuan . Ideological and Political Design for the Electrochemical Synthesis of Benzoxathiazine Dioxide Experiment. University Chemistry, 2024, 39(2): 61-66. doi: 10.3866/PKU.DXHX202309005

    10. [10]

      Wenlong LIXinyu JIAJie LINGMengdan MAAnning ZHOU . Photothermal catalytic CO2 hydrogenation over a Mg-doped In2O3-x catalyst. Chinese Journal of Inorganic Chemistry, 2024, 40(5): 919-929. doi: 10.11862/CJIC.20230421

    11. [11]

      Yanglin JiangMingqing ChenMin LiangYige YaoYan ZhangPeng WangJianping Zhang . Experimental and Theoretical Investigations of Solvent Polarity Effect on ESIPT Mechanism in 4′-N,N-diethylamino-3-hydroxybenzoflavone. Acta Physico-Chimica Sinica, 2025, 41(2): 100012-0. doi: 10.3866/PKU.WHXB202309027

    12. [12]

      Feifei YangWei ZhouChaoran YangTianyu ZhangYanqiang Huang . Enhanced Methanol Selectivity in CO2 Hydrogenation by Decoration of K on MoS2 Catalyst. Acta Physico-Chimica Sinica, 2024, 40(7): 2308017-0. doi: 10.3866/PKU.WHXB202308017

    13. [13]

      Qinhui GuanYuhao GuoNa LiJing LiTingjiang Yan . Molecular sieve-mediated indium oxide catalysts for enhancing photocatalytic CO2 hydrogenation. Acta Physico-Chimica Sinica, 2025, 41(11): 100133-0. doi: 10.1016/j.actphy.2025.100133

    14. [14]

      Ling Fan Meili Pang Yeyun Zhang Yanmei Wang Zhenfeng Shang . Quantum Chemistry Calculation Research on the Diels-Alder Reaction of Anthracene and Maleic Anhydride: Introduction to a Computational Chemistry Experiment. University Chemistry, 2024, 39(4): 133-139. doi: 10.3866/PKU.DXHX202309024

    15. [15]

      Xuyu WANGXinran XIEDengke CAO . Photoreaction characteristics and luminescence modulation in phosphine-anthracene-based Au(Ⅰ) and Ir(Ⅲ) complexes. Chinese Journal of Inorganic Chemistry, 2025, 41(8): 1513-1522. doi: 10.11862/CJIC.20250113

    16. [16]

      Hailian TangSiyuan ChenQiaoyun LiuGuoyi BaiBotao QiaoLiu Fei . Stabilized Rh/hydroxyapatite Catalyst for Furfuryl Alcohol Hydrogenation: Application of Oxidative Strong Metal-Support Interactions in Reducing Conditions. Acta Physico-Chimica Sinica, 2025, 41(4): 100036-0. doi: 10.3866/PKU.WHXB202408004

    17. [17]

      Yinuo Wang Ziyu Liu Hongxia Tan Jun Tong Dazhen Xu . Synthesis of Bromobenzoxazine: Introduce a Comprehensive Organic Chemistry Experiment Transformed from Undergraduate Research Innovation. University Chemistry, 2025, 40(10): 208-216. doi: 10.12461/PKU.DXHX202411077

    18. [18]

      Guanghui Wang Chen Qian Zhiyong Ma . Preparation and Characterization of 7H-Benzo[C]Carbazole Based Ultra-Long Organic Room Temperature Phosphorescence Material. University Chemistry, 2025, 40(11): 289-299. doi: 10.12461/PKU.DXHX202412062

    19. [19]

      Xiyuan Zhang Rui Dong Yang Yang Jiapeng Ding Zhiwei Miao . Palladium-Catalyzed Tandem Cyclization of 4-Vinylbenzoxazinone and Indene-2-carbaldehyde: A Comprehensive Organic Chemistry Experiment. University Chemistry, 2025, 40(9): 361-367. doi: 10.12461/PKU.DXHX202410062

    20. [20]

      Liangzhen Hu Li Ni Ziyi Liu Xiaohui Zhang Bo Qin Yan Xiong . A Green Chemistry Experiment on Electrochemical Synthesis of Benzophenone. University Chemistry, 2024, 39(6): 350-356. doi: 10.3866/PKU.DXHX202312001

Metrics
  • PDF Downloads(16)
  • Abstract views(1432)
  • HTML views(212)

通讯作者: 陈斌, bchen63@163.com
  • 1. 

    沈阳化工大学材料科学与工程学院 沈阳 110142

  1. 本站搜索
  2. 百度学术搜索
  3. 万方数据库搜索
  4. CNKI搜索
Address:Zhongguancun North First Street 2,100190 Beijing, PR China Tel: +86-010-82449177-888
Powered By info@rhhz.net

/

DownLoad:  Full-Size Img  PowerPoint
Return