Citation:
. Syntheses and Properties of Blue Phosphorescent Host Materials Based on Pyridine Ketone Derivatives[J]. Chemistry,
;2018, 81(6): 531-536.
-
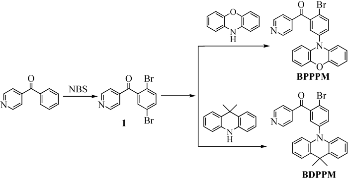
Two blue phosphorescent host materials (2-bromo-5-phenoxazin-10-yl-phenyl)-pyridin-4-yl-methanone (BPPPM), [2-bromo-5-(9, 9-dimethyl-9H-acridin-10-yl)-phenyl]-pyridin-4-yl-methanone (BDPPM) based on 4-benzoylpyridine, phenoxazine and 9, 9-dimethylacridine were synthesized. The structures of BPPPM and BDPPM were characterized by 1H NMR, 13C NMR and elemental analysis. The photophysical, electrochemical and thermal properties were investigated. The results showed that the optical bandgaps (Eg) of BPPPM and BDPPM are 3.31 and 2.64 eV, and their fluorescence emission peaks are deep blue fluorescence at 405nm and blue fluorescence at 435nm, respectively. Both BPPPM and BDPPM had high triplet energy levels (2.70, 2.65eV), which matches the triplet level of the blue phosphorescent guest material FIrpic (2.65eV). Both BPPPM and BDPPM have a very suitable HOMO (-5.45, -5.35eV) and LUMO level (-2.14, -2.82eV) with a small degree of spatial overlap between the HOMO and LUMO, so they have good bipolar properties. In addition, they all have good thermal stability and film-forming properties.
-
-
-
-
[1]
Yonghui ZHOU , Rujun HUANG , Dongchao YAO , Aiwei ZHANG , Yuhang SUN , Zhujun CHEN , Baisong ZHU , Youxuan ZHENG . Synthesis and photoelectric properties of fluorescence materials with electron donor-acceptor structures based on quinoxaline and pyridinopyrazine, carbazole, and diphenylamine derivatives. Chinese Journal of Inorganic Chemistry, 2024, 40(4): 701-712. doi: 10.11862/CJIC.20230373
-
[2]
Hongjie SHEN , Haozhe MIAO , Yuhe YANG , Yinghua LI , Deguang HUANG , Xiaofeng ZHANG . Synthesis, crystal structure, and fluorescence properties of two Cu(Ⅰ) complexes based on pyridyl ligand. Chinese Journal of Inorganic Chemistry, 2025, 41(5): 855-863. doi: 10.11862/CJIC.20250009
-
[3]
Lixing ZHANG , Yaowen WANG , Xu HAN , Junhong ZHOU , Jinghui WANG , Liping LI , Guangshe LI . Research progress in the synthesis of fluorine-containing perovskites and their derivatives. Chinese Journal of Inorganic Chemistry, 2025, 41(9): 1689-1701. doi: 10.11862/CJIC.20250007
-
[4]
Qiang HU , Zhiqi CHEN , Zhong CHEN , Xu WANG , Weina WU . Pyridinium-chalcone-based ClO- fluorescent probe: Preparation and biological imaging applications. Chinese Journal of Inorganic Chemistry, 2025, 41(9): 1789-1795. doi: 10.11862/CJIC.20250086
-
[5]
Qiaowen CHANG , Ke ZHANG , Guangying HUANG , Nuonan LI , Weiping LIU , Fuquan BAI , Caixian YAN , Yangyang FENG , Chuan ZUO . Syntheses, structures, and photo-physical properties of iridium phosphorescent complexes with phenylpyridine derivatives bearing different substituting groups. Chinese Journal of Inorganic Chemistry, 2025, 41(2): 235-244. doi: 10.11862/CJIC.20240311
-
[6]
Jia-He Li , Yu-Ze Liu , Jia-Hui Ma , Qing-Xiao Tong , Jian-Ji Zhong , Jing-Xin Jian . 洛芬碱衍生物的合成、化学发光与重金属离子检测. University Chemistry, 2025, 40(6): 230-237. doi: 10.12461/PKU.DXHX202407080
-
[7]
Liangzhen Hu , Li Ni , Ziyi Liu , Xiaohui Zhang , Bo Qin , Yan Xiong . A Green Chemistry Experiment on Electrochemical Synthesis of Benzophenone. University Chemistry, 2024, 39(6): 350-356. doi: 10.3866/PKU.DXHX202312001
-
[8]
Jianfeng Yan , Yating Xiao , Xin Zuo , Caixia Lin , Yaofeng Yuan . Comprehensive Chemistry Experimental Design of Ferrocenylphenyl Derivatives. University Chemistry, 2024, 39(4): 329-337. doi: 10.3866/PKU.DXHX202310005
-
[9]
Chen LU , Qinlong HONG , Haixia ZHANG , Jian ZHANG . Syntheses, structures, and properties of copper-iodine cluster-based boron imidazolate framework materials. Chinese Journal of Inorganic Chemistry, 2025, 41(1): 149-154. doi: 10.11862/CJIC.20240407
-
[10]
Yurong Tang , Yunren Shi , Yi Xu , Bo Qin , Yanqin Xu , Yunfei Cai . Innovative Experiment and Course Transformation Practice of Visible-Light-Mediated Photocatalytic Synthesis of Isoquinolinone. University Chemistry, 2024, 39(5): 296-306. doi: 10.3866/PKU.DXHX202311087
-
[11]
Yikai Wang , Xiaolin Jiang , Haoming Song , Nan Wei , Yifan Wang , Xinjun Xu , Cuihong Li , Hao Lu , Yahui Liu , Zhishan Bo . Thickness-Insensitive, Cyano-Modified Perylene Diimide Derivative as a Cathode Interlayer Material for High-Efficiency Organic Solar Cells. Acta Physico-Chimica Sinica, 2025, 41(3): 100027-0. doi: 10.3866/PKU.WHXB202406007
-
[12]
Xiao SANG , Qi LIU , Jianping LANG . Synthesis, structure, and fluorescence properties of Zn(Ⅱ) coordination polymers containing tetra-alkenylpyridine ligands. Chinese Journal of Inorganic Chemistry, 2024, 40(11): 2124-2132. doi: 10.11862/CJIC.20240158
-
[13]
Xiaoling LUO , Pintian ZOU , Xiaoyan WANG , Zheng LIU , Xiangfei KONG , Qun TANG , Sheng WANG . Synthesis, crystal structures, and properties of lanthanide metal-organic frameworks based on 2, 5-dibromoterephthalic acid ligand. Chinese Journal of Inorganic Chemistry, 2024, 40(6): 1143-1150. doi: 10.11862/CJIC.20230271
-
[14]
Zhongyan Cao , Shengnan Jin , Yuxia Wang , Yiyi Chen , Xianqiang Kong , Yuanqing Xu . Advances in Highly Selective Reactions Involving Phenol Derivatives as Aryl Radical Precursors. University Chemistry, 2025, 40(4): 245-252. doi: 10.12461/PKU.DXHX202405186
-
[15]
Xiaofei Liu , He Wang , Li Tao , Weimin Ren , Xiaobing Lu , Wenzhen Zhang . Electrocarboxylation of Benzylic Phosphates and Phosphinates with Carbon Dioxide. Acta Physico-Chimica Sinica, 2024, 40(9): 2307008-0. doi: 10.3866/PKU.WHXB202307008
-
[16]
Lifang HE , Wenjie TANG , Yaoze LUO , Mingsheng LIANG , Jianxin TANG , Yuxuan WU , Fuxing ZHANG , Xiaoming ZHU . Synthesis, structure, and anticancer activity of two dialkyltin complexes constructed based on 2, 2′-bipyridin-6, 6′-dicarboxylic acid. Chinese Journal of Inorganic Chemistry, 2025, 41(8): 1601-1609. doi: 10.11862/CJIC.20250012
-
[17]
Ping Song , Nan Zhang , Jie Wang , Rui Yan , Zhiqiang Wang , Yingxue Jin . Experimental Teaching Design on Synthesis and Antitumor Activity Study of Cu-Pyropheophorbide-a Methyl Ester. University Chemistry, 2024, 39(6): 278-286. doi: 10.3866/PKU.DXHX202310087
-
[18]
Feiya Cao , Qixin Wang , Pu Li , Zhirong Xing , Ziyu Song , Heng Zhang , Zhibin Zhou , Wenfang Feng . Magnesium-Ion Conducting Electrolyte Based on Grignard Reaction: Synthesis and Properties. University Chemistry, 2024, 39(3): 359-368. doi: 10.3866/PKU.DXHX202308094
-
[19]
Yi DING , Peiyu LIAO , Jianhua JIA , Mingliang TONG . Structure and photoluminescence modulation of silver(Ⅰ)-tetra(pyridin-4-yl)ethene metal-organic frameworks by substituted benzoates. Chinese Journal of Inorganic Chemistry, 2025, 41(1): 141-148. doi: 10.11862/CJIC.20240393
-
[20]
Guanghui Wang , Chen Qian , Zhiyong Ma . Preparation and Characterization of 7H-Benzo[C]Carbazole Based Ultra-Long Organic Room Temperature Phosphorescence Material. University Chemistry, 2025, 40(11): 289-299. doi: 10.12461/PKU.DXHX202412062
-
[1]
Metrics
- PDF Downloads(10)
- Abstract views(726)
- HTML views(218)
Login In
DownLoad: