Citation: Guo Wei, Cai Zhaosheng, Xu Qi. Progress in Preparation and Application of Hydroxyalkyl Chitosan[J]. Chemistry, ;2019, 82(4): 299-309. shu

Progress in Preparation and Application of Hydroxyalkyl Chitosan

  • Corresponding author: Cai Zhaosheng, jsyc_czs@163.com
  • Received Date: 11 October 2018
    Accepted Date: 11 December 2018

Figures(10)

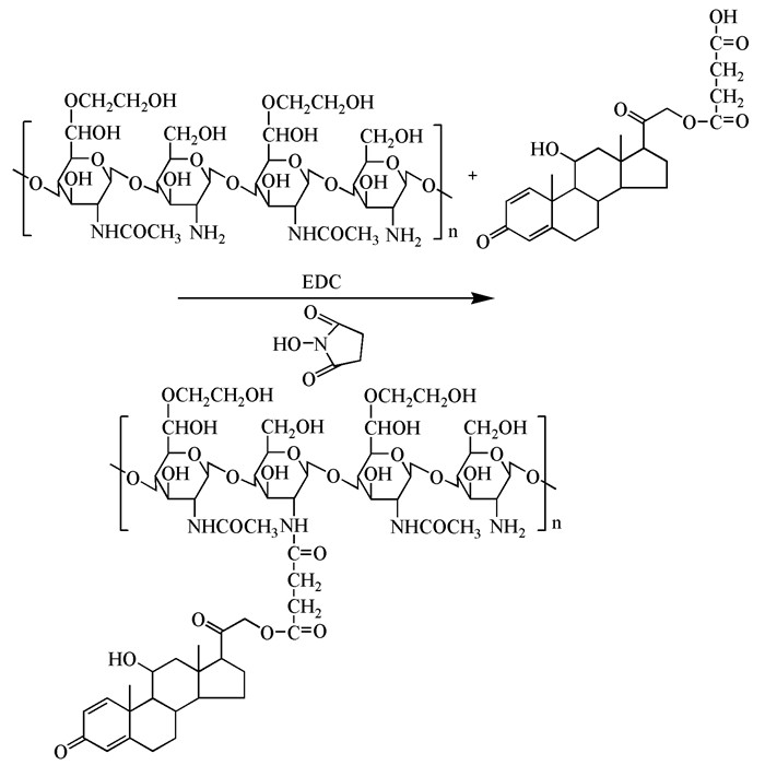
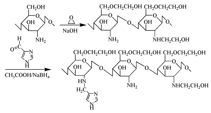
  • Chitosan is a high-molecular polysaccharide obtained by deacetylation of chitin, which has good biocompatibility, antibacterial activity and the advantages of being non-toxic and biodegradable. However, the poor water solubility of chitosan limits its application in many aspects. In order to overcome this shortage, the chemical modification for chitosan to introduce hydrophilic groups into the amino group and hydroxyl group of chitosan have became important methods. In this paper, different chitosan hydroxyalkylation methods are discussed. Meanwhile, the applications about the hydroxyalkyl chitosan and their derivatives in medicine, water treatment and tissue engineering materials are presented, and the future development trend of hydroxyalkyl chitosan is prospected.
  • 加载中
    1. [1]

       

    2. [2]

      Y Wang, J Qian, N Zhao et al. Carbohyd. Polym., 2017, 167(13): 44~51.

    3. [3]

      Y Li, X Liu, X Zhuang et al. Fiber. Polym., 2016, 17(5): 778~788.

    4. [4]

      K Shao, B Q Han, J N Gao et al. J. Ocean Univ. China, 2015, 14(4): 703~709.

    5. [5]

       

    6. [6]

      X F Li, S L Liu, H X Wang et al. Biomed. Res., 2017, 28(2): 911~915.

    7. [7]

      Z H Cheng, J Huang, S Hu et al. Int. J. Biol. Macromol., 2014, 65(3): 246~251.

    8. [8]

      Z H Wang, Y B Yan, Y Y Jiang et al. Int. J. Biol. Macromol., 2014, 64(2): 25~29.

    9. [9]

      L H Fan, M J Li, Y G Gong et al. J. Appl. Polym. Sci., 2012, 125(2): 829~835.

    10. [10]

      T M Liu, J J Xu, Y R Qiu. Mater. Sci. Eng. C, 2017, 79(10): 570~580. 

    11. [11]

       

    12. [12]

      C Z Wei, C L Hou, Q S Gu et al. Biomaterials, 2009, 30(29): 5534~5540.

    13. [13]

      Q Q Wang, M Kong, Y An et al. J. Mater. Sci., 2013, 48(16): 5614~5623.

    14. [14]

      A Kato, K Kan, H Ajiro et al. J. Biomater. Sci., Polym. Ed., 2017, 28(10/11/12): 958~973.

    15. [15]

       

    16. [16]

      X K He, Z X Yuan, X J Wu et al. Theranostics, 2012, 2(11): 1054~1063. 

    17. [17]

      S Veraldi, D D Raia, R Schianchi et al. J. Dermatol. Treat., 2015, 26(2): 191~192. 

    18. [18]

      G Fabbrocini, L Panariello, G Caro et al. Giornale Italiano di Dermatologiae Venereologia, 2017, 152(6): 565~568.

    19. [19]

      M A Ghannoum, L Long, N Isham et al. Antimicrob. Agents Chemother., 2015, 59(4): 1844~1848. 

    20. [20]

      F Cantoresi, M Caserni, A Bidoli et al. Clin. Cosmet. Invest. Dematol., 2014, 7(1): 185~190. 

    21. [21]

      G H Sun, C Feng, C Q Jiang et al. Int. J. Biol. Macromol., 2017, 105(12): 566~574.

    22. [22]

    23. [23]

    24. [24]

       

    25. [25]

       

    26. [26]

      M R Huo, Y Liu, L Wang et al. Mol. Pharm., 2016, 13(6): 1750~1762.

    27. [27]

      H Li, M R Huo, J P Zhou et al. J. Pharm. Sci., 2010, 99(11): 4543~4553.

    28. [28]

      Y F Yu, M R Huo, Y Fu et al. Mol. Pharm., 2017, 14(12): 4539~4550. 

    29. [29]

      T Wang, H Zou, Y X Liu et al. Chin. Med. J., 2018, 131(6): 696~703.

    30. [30]

      M Y Li, B Q Han, W S Liu. J. Mater. Sci.: Mater. Med., 2011, 22(12): 2745~2755.

    31. [31]

      X S Qiao, X T Peng, J Qiao et al. J. Mater. Sci.: Mater. Med., 2017, 28(10): 149~158. 

    32. [32]

      Z H Wang, Y B Yan, W Li et al. Bioact. Carbohyd. Diet. Fibre, 2016, 7(1): 21~25.

    33. [33]

       

    34. [34]

      J Q Wang, X Y Tao, Y F Zhang et al. Biomaterials, 2010, 31(15): 4426~4433. 

    35. [35]

      Z X Bao, P Gao, G X Xia et al. J. Mater. Chem. B, 2016, 4(22): 3936~3944. 

    36. [36]

      Z X Bao, C Q Jiang, Z G Wang et al. Carbohyd. Polym., 2017, 170(16): 80~88.

    37. [37]

    38. [38]

      X L Xu, X P Zhang, B W Chen et al. Carbohyd. Polym., 2010, 81(3): 541~544.

    39. [39]

      M Z Sai, S L Zhong, Y Tang et al. J. Appl. Polym. Sci., 2014, 131(15): 40535. 

    40. [40]

      C Zhu, S Q Zou, Z Q Rao et al. Int. J. Biol. Macromol., 2017, 105(12): 1017~1024.

    41. [41]

      L H Fan, S Q Zou, H Y Ge et al. Int. J. Biol. Macromol., 2016, 93(12): 636~643. 

    42. [42]

      T M Liu, J J Xu, Y R Qiu. Mater. Sci. Eng. C, 2017, 79(10): 570~580. 

    43. [43]

      Y B Yan, Z H Wang, X H Yu et al. J. Biobased Mater. Bio., 2015, 9(5): 463~470.

    44. [44]

      S H Hu, S H Bi, D Yan et al. Carbohyd. Polym., 2018, 184(6): 154~163.

    45. [45]

    46. [46]

       

    47. [47]

       

    48. [48]

    49. [49]

       

    50. [50]

      Y G Wang, L Shi, L Gao et al. J. Colloid Interf. Sci., 2015, 451(15): 7~14.

    51. [51]

    52. [52]

      P R Sivashankari, A Moorthi, K M Abudhahir et al. Int. J. Biol. Macromol., 2018, 110(5): 522~530.

    53. [53]

      S L Wang, W S Liu, B Q Han et al. Appl. Surf. Sci., 2009, 255(20): 8701~8705.

    54. [54]

      K H Zhang, Y F Qian, H S Wang et al. J. Biomater. Sci., Polym. Ed., 2011, 22(8): 1069~1082.

    55. [55]

    56. [56]

      Z L Li, Z L Mo, R B Guo et al. Anal. Methods, 2017, 9(35): 5149~5155.

    57. [57]

      Y Q Zhao, J Chen, E M Zeng et al. Carbohyd. Polym., 2008, 74(4): 828~833.

    58. [58]

      H J Wang, J M Qian, Y P Zhang et al. Cancer Cell Int., 2017, 17(1): 55~69.

    59. [59]

      X T Peng, Y F Peng, B Q Han et al. J. Biomed. Mater. Res. B, 2018, 106(5): 1683~1695.

    60. [60]

       

    61. [61]

       

    62. [62]

       

    63. [63]

      Z H Wang, Y Q Yan, Y Y Jiang et al. Int. J. Biol. Macromol., 2014, 64(2): 25~29.

    64. [64]

  • 加载中
    1. [1]

      Dong-Bing Cheng Junxin Duan Haiyu Gao . Experimental Teaching Design on Chitosan Extraction and Preparation of Antibacterial Gel. University Chemistry, 2024, 39(2): 330-339. doi: 10.3866/PKU.DXHX202308053

    2. [2]

      Gaofeng Zeng Shuyu Liu Manle Jiang Yu Wang Ping Xu Lei Wang . Micro/Nanorobots for Pollution Detection and Toxic Removal. University Chemistry, 2024, 39(9): 229-234. doi: 10.12461/PKU.DXHX202311055

    3. [3]

      Feng Lu Tao Wang Qi Wang . Preparation and Characterization of Water-Soluble Silver Nanoclusters: A New Design and Teaching Practice in Materials Chemistry Experiment. University Chemistry, 2025, 40(4): 375-381. doi: 10.12461/PKU.DXHX202406005

    4. [4]

      Chunai Dai Yongsheng Han Luting Yan Zhen Li Yingze Cao . Preparation of Superhydrophobic Surfaces and Their Application in Oily Wastewater Treatment: Design of a Comprehensive Physical Chemistry Innovation Experiment. University Chemistry, 2024, 39(2): 34-40. doi: 10.3866/PKU.DXHX202307081

    5. [5]

      Jing Wang Pingping Li Yuehui Wang Yifan Xiu Bingqian Zhang Shuwen Wang Hongtao Gao . Treatment and Discharge Evaluation of Phosphorus-Containing Wastewater. University Chemistry, 2024, 39(5): 52-62. doi: 10.3866/PKU.DXHX202309097

    6. [6]

      Rui Xu Wei Li Tianyi Li . Exploration of Teaching Reform in the Course of “Principles of Chemical Engineering” in the Polymer Materials and Engineering Major. University Chemistry, 2025, 40(4): 54-58. doi: 10.12461/PKU.DXHX202404081

    7. [7]

      Zhaohu Li Weidong Wang Yuhao Liu Mingzhe Han Lingling Wei Huan Jiao . Research on the Safety Management and Disposal of Chemical Laboratory Waste. University Chemistry, 2024, 39(10): 128-136. doi: 10.3866/PKU.DXHX202312090

    8. [8]

      Zehua Zhao Xiaoyan An Jinrong Xu Ling Yang Hao Zhao Zhongyun Wu . Independent Development and Application of Calorimetric Experiment Data Acquisition and Processing Software. University Chemistry, 2025, 40(11): 402-408. doi: 10.12461/PKU.DXHX202505045

    9. [9]

      Weifang Liu Jidong Yang Xiaowan Zeng Liqiu Mao Dulin Yin Xiangping Chen Lishan Yang . 新工科背景下的本科生“电池材料”课程思政建设及工程实践育人探索. University Chemistry, 2025, 40(6): 93-100. doi: 10.12461/PKU.DXHX202407036

    10. [10]

      Lisen Sun Yongmei Hao Zhen Huang Yongmei Liu . Experimental Teaching Design for Viscosity Measurement Serves the Optimization of Operating Conditions for Kitchen Waste Treatment Equipment. University Chemistry, 2024, 39(2): 52-56. doi: 10.3866/PKU.DXHX202307063

    11. [11]

      Kun Xu Xinxin Song Zhilei Yin Jian Yang Qisheng Song . Comprehensive Experimental Design of Preferential Orientation of Zinc Metal by Heat Treatment for Enhanced Electrochemical Performance. University Chemistry, 2024, 39(4): 192-197. doi: 10.3866/PKU.DXHX202309050

    12. [12]

      Yan Wang Haolong Li Chengji Zhao Zheng Chen Quan Lin Yupeng Guo Jianxin Mu Kun Liu Zhong-Yuan Lu Junqi Sun . Construction Practice of the National First-Class Undergraduate Major in Polymer Materials and Engineering at Jilin University. University Chemistry, 2025, 40(4): 46-53. doi: 10.12461/PKU.DXHX202403083

    13. [13]

      Xuejun Lai Anqiang Zhang Tao Wang Shuizhu Wu Guangzhao Zhang . Construction and Practice of the First-Class Undergraduate Education Program for Polymer Materials and Engineering Major Students with “Solid Foundation, Strong Capability and High Potential”. University Chemistry, 2025, 40(4): 119-125. doi: 10.12461/PKU.DXHX202407012

    14. [14]

      Zhangshu Wang Xin Zhang Jixin Han Xuebing Fang Xiufeng Zhao Zeyu Gu Jinjun Deng . Exploration and Design of Experimental Teaching on Ultrasonic-Enhanced Synergistic Treatment of Ternary Composite Flooding Produced Water. University Chemistry, 2024, 39(5): 116-124. doi: 10.3866/PKU.DXHX202310056

    15. [15]

      Limin Shao Na Li . A Unified Equation Derived from the Charge Balance Equation for Constructing Acid-Base Titration Curve and Calculating Endpoint Error. University Chemistry, 2024, 39(11): 365-373. doi: 10.3866/PKU.DXHX202401086

    16. [16]

      Xiao Ma Junjie Wang Xin Chen Jingcheng Li Lihong Zhao Xueping Sun Shaojuan Cheng Fang Wang . Exploring Innovative Approaches to Chemistry Instructional Organization Driven by Artificial Intelligence. University Chemistry, 2025, 40(9): 99-106. doi: 10.12461/PKU.DXHX202410085

    17. [17]

      Jiarui Wu Gengxin Wu Yan Wang Yingwei Yang . Crystal Engineering Based on Leaning Towerarenes. University Chemistry, 2024, 39(3): 58-62. doi: 10.3866/PKU.DXHX202304014

    18. [18]

      Jin Tong Shuyan Yu . Crystal Engineering for Supramolecular Chirality. University Chemistry, 2024, 39(3): 86-93. doi: 10.3866/PKU.DXHX202308113

    19. [19]

      Tingting Wang Chufeng Sun Zhenhua Li Hongling Wang Wenfang Wang Xiaoping Su Lujuan Cui Chenjun Wang . Four-Stage Progressive Teaching Innovation in “Chemical Engineering Principles” for Cultivating Practical Engineering Skills. University Chemistry, 2025, 40(7): 112-118. doi: 10.12461/PKU.DXHX202503052

    20. [20]

      Xinyi ZhangKai RenYanning LiuZhenyi GuZhixiong HuangShuohang ZhengXiaotong WangJinzhi GuoIgor V. ZatovskyJunming CaoXinglong Wu . Progress on Entropy Production Engineering for Electrochemical Catalysis. Acta Physico-Chimica Sinica, 2024, 40(7): 2307057-0. doi: 10.3866/PKU.WHXB202307057

Metrics
  • PDF Downloads(10)
  • Abstract views(1299)
  • HTML views(266)

通讯作者: 陈斌, bchen63@163.com
  • 1. 

    沈阳化工大学材料科学与工程学院 沈阳 110142

  1. 本站搜索
  2. 百度学术搜索
  3. 万方数据库搜索
  4. CNKI搜索
Address:Zhongguancun North First Street 2,100190 Beijing, PR China Tel: +86-010-82449177-888
Powered By info@rhhz.net

/

DownLoad:  Full-Size Img  PowerPoint
Return