Citation: Miao Xiangyang, Yu Huizhen, Wang Yang, Gu Zhun, Wang Zhaoyin, Dai Zhihui. Detection of Dopamine based on Catalytic Activity of Cu-MOF towards H2O2[J]. Chemistry, ;2017, 80(1): 47-52. shu

Detection of Dopamine based on Catalytic Activity of Cu-MOF towards H2O2

  • Corresponding author: Dai Zhihui, daizhihuii@njnu.edu.cn
  • Received Date: 4 July 2016
    Accepted Date: 30 September 2016

Figures(8)

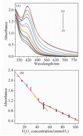
  • In this work, a colorimetric biosensing platform for H2O2 and dopamine (DA) was constructed based on the catalytic activity of one type of Cu-MOF[Cu3(BTC)2(H2O)3, HKUST-1]. The color of o-phenylenediamine (OPD) can be changed significantly because of the oxidation of H2O2 catalyzed by HKUST-1. As a result, H2O2 and DA were detected rapidly and sensitively by our system. Under the optimum conditions, two linear relationships between the intensity of absorption peak at 415nm and the concentration of H2O2 (from 10 to 50 mmol/L and from 50 to 100 mmol/L, R=0.9947 and 0.9995) were obtained with the detection limit of 1.29 mmol/L. Besides, DA can resist the oxidation of OPD from H2O2, this platform was further used for rapid detection of DA with two linear ranges (from 0.25 to 5μmol/L and from 2.5 to 25μmol/L, R=0.9783 and 0.9705), and the detection limit was 0.262 μmol/L. Therefore, this work may broaden the applications of Cu-MOFs in biological molecular catalysis and biosensing fields.
  • 加载中
    1. [1]

      T S P Nam, H L V Phuong, T N Tung. J Catal., 2013, 306:38-46. 

    2. [2]

      S J Wang, L Li, J Y Zhang et al. J. Mater. Chem., 2011, 21:7098-7104. 

    3. [3]

      J M Gu, W S Kim, S Huh. Dalton. Transac., 2011, 40:10826-10829. 

    4. [4]

      S Proch, J Herrmannsdorfer, R Kempe et al. Chem. Eur. J. 2008, 14:8204-8212.

    5. [5]

      O V Zalomaeva, N V Maksimchuk, A M Chibiryaev et al. J. Energy. Chem., 2013, 22:130-135. 

    6. [6]

      D M Jiang, A Urakawa, M Yulikov et al. Chem. Eur. J. 2009, 15:12255-12262.

    7. [7]

      I Luz, F X Xamena, A Corma. J. Catal., 2010, 276:134-140. 

    8. [8]

      T Terencio, F D Renzo, D E Berthomieu et al. J. Phys. Chem. C, 2013, 117:26156-26165. 

    9. [9]

      F Villemot, A Galarneau, B Coasne. Adsorption, 2014, 20:349-357. 

    10. [10]

      R K Bhakta, S Maharrey, V Stavila et al. Phys. Chem. Chem. Phys., 2012, 14:8160-8169. 

    11. [11]

      P Davydovskaya, R Pohle, A Tawil et al. Sens. Actuat. B, 2013, 187:142-146. 

    12. [12]

      S Marx, W Kleist, A Baiker. J. Catal., 2011, 281:76-87. 

    13. [13]

      A Sachse, R Ameloot, B Coq et al. Chem. Commun., 2012, 48:4749-4751. 

    14. [14]

      Y L Liu, X J Zhao, X X Yang et al. Analyst., 2013, 138:4526-4531. 

    15. [15]

      J S Easow, T Selvaraju. Electrochim. Acta, 2013, 112:648-654. 

    16. [16]

      Y J Yang, J F Zi, W K Li. Electrochim. Acta, 2014, 115:126-130. 

    17. [17]

      S N Azizi, P Shakeri, M J Chaichi et al. Spectrochim. Acta, Part A, 2014, 122:482-488. 

    18. [18]

      Y Ling, N Zhang, F Qu et al. Spectrochim. Acta, Part A, 2014, 118:315-320. 

    19. [19]

      H Y Song, Y N Ni, S Kokot. Microchim. Acta, 2013, 180:1263-1270. 

    20. [20]

      F X Qin, S Y Jia, F F Wang et al. Catal. Sci. Technol., 2013, 3:2761-2768. 

    21. [21]

      J W Zhang, H T Zhang, Z Y Du et al. Chem. Commun., 2014, 50:1092-1094. 

    22. [22]

      J M Liu, X X Wang, M L Cui et al. Sens. Actuat. B, 2013, 176:97-102. 

    23. [23]

      Y Tao, Y H Lin, J S Ren et al. Biosens. Bioelectron, 2013, 42:41-46. 

    24. [24]

      J J Feng, H Guo, Y F Li et al. ACS. Appl. Mater. Inter., 2013, 5:1226-1231. 

    25. [25]

      Z Y Wang, Y Y Bai, W C Wei et al. Materials, 2013, 6:5690-5699. 

    26. [26]

      S Liu, L X Sun, F Xu. Energy Environ. Sci., 2013, 6:818-823. 

    27. [27]

      F Ke, L G Qiua, Y P Yuan. J. Hazard. Mater., 2011, 196:36-43. 

    28. [28]

      L Li, X L Liu, H Y Geng. J. Mater. Chem. A, 2013, 1:10292-10299. 

    29. [29]

    30. [30]

      A K Dutta, S K Maji, P Biswas et al. Sens. Actuat., B, 2013, 177:676-683. 

    31. [31]

  • 加载中
    1. [1]

      Liu LinZemin SunHuatian ChenLian ZhaoMingyue SunYitao YangZhensheng LiaoXinyu WuXinxin LiCheng Tang . Recent Advances in Electrocatalytic Two-Electron Water Oxidation for Green H2O2 Production. Acta Physico-Chimica Sinica, 2024, 40(4): 2305019-0. doi: 10.3866/PKU.WHXB202305019

    2. [2]

      Fan FanHao XiuYuting WangYongpeng CuiYajun Wang . Construction of NH2-MIL-125/Na-doped g-C3N4 composite S-scheme heterojunction and its performance in photocatalytic hydrogen peroxide production. Acta Physico-Chimica Sinica, 2026, 42(2): 100143-0. doi: 10.1016/j.actphy.2025.100143

    3. [3]

      Xu HuangKai-Yin WuChao SuLei YangBei-Bei Xiao . Metal-organic framework Cu-BTC for overall water splitting: A density functional theory study. Chinese Chemical Letters, 2025, 36(4): 109720-. doi: 10.1016/j.cclet.2024.109720

    4. [4]

      Zhaoyu WenNa HanYanguang Li . Recent Progress towards the Production of H2O2 by Electrochemical Two-Electron Oxygen Reduction Reaction. Acta Physico-Chimica Sinica, 2024, 40(2): 2304001-0. doi: 10.3866/PKU.WHXB202304001

    5. [5]

      Jiaxi Xu Yuan Ma . Influence of Hyperconjugation on the Stability and Stable Conformation of Ethane, Hydrazine, and Hydrogen Peroxide. University Chemistry, 2024, 39(11): 374-377. doi: 10.3866/PKU.DXHX202402049

    6. [6]

      Peiyu Zhang Aixin Song Jingcheng Hao Jiwei Cui . 高频超声法制备聚多巴胺薄膜综合实验. University Chemistry, 2025, 40(6): 210-214. doi: 10.12461/PKU.DXHX202407081

    7. [7]

      Jing SUBingrong LIYiyan BAIWenjuan JIHaiying YANGZhefeng Fan . Highly sensitive electrochemical dopamine sensor based on a highly stable In-based metal-organic framework with amino-enriched pores. Chinese Journal of Inorganic Chemistry, 2024, 40(7): 1337-1346. doi: 10.11862/CJIC.20230414

    8. [8]

      Mahmoud SayedHan LiChuanbiao Bie . Challenges and prospects of photocatalytic H2O2 production. Acta Physico-Chimica Sinica, 2025, 41(9): 100117-0. doi: 10.1016/j.actphy.2025.100117

    9. [9]

      Yanyan ZhaoZhen WuYong ZhangBicheng ZhuJianjun Zhang . Enhancing photocatalytic H2O2 production via dual optimization of charge separation and O2 adsorption in Au-decorated S-vacancy-rich CdIn2S4. Acta Physico-Chimica Sinica, 2025, 41(11): 100142-0. doi: 10.1016/j.actphy.2025.100142

    10. [10]

      Tiantian MASumei LIChengyu ZHANGLu XUYiyan BAIYunlong FUWenjuan JIHaiying YANG . Methyl-functionalized Cd-based metal-organic framework for highly sensitive electrochemical sensing of dopamine. Chinese Journal of Inorganic Chemistry, 2024, 40(4): 725-735. doi: 10.11862/CJIC.20230351

    11. [11]

      Zhuoya WANGLe HEZhiquan LINYingxi WANGLing LI . Multifunctional nanozyme Prussian blue modified copper peroxide: Synthesis and photothermal enhanced catalytic therapy of self-provided hydrogen peroxide. Chinese Journal of Inorganic Chemistry, 2024, 40(12): 2445-2454. doi: 10.11862/CJIC.20240194

    12. [12]

      Yu Dai Xueting Sun Haoyu Wu Naizhu Li Guoe Cheng Xiaojin Zhang Fan Xia . Determination of the Michaelis Constant for Gold Nanozyme-Catalyzed Decomposition of Hydrogen Peroxide. University Chemistry, 2025, 40(5): 351-356. doi: 10.12461/PKU.DXHX202407052

    13. [13]

      Jingping LiSuding YanJiaxi WuQiang ChengKai Wang . Improving hydrogen peroxide photosynthesis over inorganic/organic S-scheme photocatalyst with LiFePO4. Acta Physico-Chimica Sinica, 2025, 41(9): 100104-0. doi: 10.1016/j.actphy.2025.100104

    14. [14]

      Kangjuan ChengChunxiao LiuYoupeng WangQiu JiangTingting ZhengXu LiChuan Xia . Design of noble metal catalysts and reactors for the electrosynthesis of hydrogen peroxide. Acta Physico-Chimica Sinica, 2025, 41(10): 100112-0. doi: 10.1016/j.actphy.2025.100112

    15. [15]

      Ke LiChuang LiuJingping LiGuohong WangKai Wang . Architecting Inorganic/Organic S-Scheme Heterojunction of Bi4Ti3O12 Coupling with g-C3N4 for Photocatalytic H2O2 Production from Pure Water. Acta Physico-Chimica Sinica, 2024, 40(11): 2403009-0. doi: 10.3866/PKU.WHXB202403009

    16. [16]

      Xiaofeng ZhuBingbing XiaoJiaxin SuShuai WangQingran ZhangJun Wang . Transition Metal Oxides/Chalcogenides for Electrochemical Oxygen Reduction into Hydrogen Peroxides. Acta Physico-Chimica Sinica, 2024, 40(12): 2407005-0. doi: 10.3866/PKU.WHXB202407005

    17. [17]

      Jichao XUMing HUXichang CHENChunhui WANGLeichen WANGLingyi ZHOUXing HEXiamin CHENGSu JING . Construction and hydrogen peroxide-activated chemodynamic activity of ferrocene?benzoselenadiazole conjugate. Chinese Journal of Inorganic Chemistry, 2025, 41(8): 1495-1504. doi: 10.11862/CJIC.20250144

    18. [18]

      Qingqing SHENXiangbowen DUKaicheng QIANZhikang JINZheng FANGTong WEIRenhong LI . Self-supporting Cu/α-FeOOH/foam nickel composite catalyst for efficient hydrogen production by coupling methanol oxidation and water electrolysis. Chinese Journal of Inorganic Chemistry, 2024, 40(10): 1953-1964. doi: 10.11862/CJIC.20240028

    19. [19]

      Yuhang ZhangYi LiYuehan CaoYingjie ShuaiYu ZhouYing Zhou . Regulating the formation type by Ir of intermediates to suppress product overoxidation in photocatalytic methane conversion. Acta Physico-Chimica Sinica, 2026, 42(2): 100173-0. doi: 10.1016/j.actphy.2025.100173

    20. [20]

      Lele FengXueying BaiJifeng PangHongchen CaoXiaoyan LiuWenhao LuoXiaofeng YangPengfei WuMingyuan Zheng . Single-atom Pd boosted Cu catalysts for ethanol dehydrogenation. Acta Physico-Chimica Sinica, 2025, 41(9): 100100-0. doi: 10.1016/j.actphy.2025.100100

Metrics
  • PDF Downloads(37)
  • Abstract views(5517)
  • HTML views(1836)

通讯作者: 陈斌, bchen63@163.com
  • 1. 

    沈阳化工大学材料科学与工程学院 沈阳 110142

  1. 本站搜索
  2. 百度学术搜索
  3. 万方数据库搜索
  4. CNKI搜索
Address:Zhongguancun North First Street 2,100190 Beijing, PR China Tel: +86-010-82449177-888
Powered By info@rhhz.net

/

DownLoad:  Full-Size Img  PowerPoint
Return