Citation: WANG Hui, ZHANG Jun-feng, BAI Yun-xing, WANG Wen-feng, TAN Yi-sheng, HAN Yi-zhuo. NiO@SiO2 core-shell catalyst for low-temperature methanation of syngas in slurry reactor[J]. Journal of Fuel Chemistry and Technology, ;2016, 44(5): 548-556. shu

NiO@SiO2 core-shell catalyst for low-temperature methanation of syngas in slurry reactor

  • Corresponding author: ZHANG Jun-feng, zhangjf@sxicc.ac.cn
  • Received Date: 25 December 2015
    Revised Date: 29 February 2016

Figures(6)

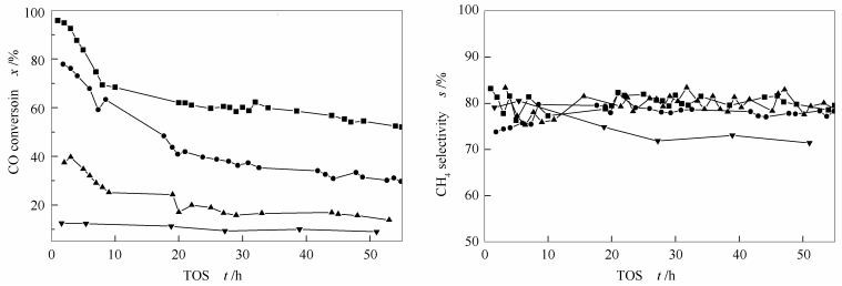
  • A series of NiO@SiO2 core-shell catalysts were prepared using modified Stöber-method. Their catalytic performances in methanation of syngas were investigated in slurry reactor at 320 ℃. The catalysts before and after reaction were characterized by XRD, TEM, XPS, N2-physisorption, etc. It was found that the NiO@SiO2 core-shell samples had well-shape morphologies and relatively uniform scale. The catalyst test revealed that the methanation activity of these catalysts decreased dramatically with increase of core particle size. The three catalysts with distinct size of core and shell showed remarkably rapid deactivation in the initial period of 20 h and then deactivated slowly during the following reaction, while their CH4 selectivity maintained at about 80%. Void-shell was formed during the reaction probably because easy-migrated Ni (CO)x species were generated. Apparently, it was concluded that increase of core particle size, decrease of BET surface area and pore volume, and abatement of mesopores within 3-5 nm in the shell were responsible for the deactivation of these core-shell catalysts based on the characterization of catalysts.
  • 加载中
    1. [1]

      ZHANG Jun-feng, BAI Yun-xing, ZHANG Qing-de, XIE Hong-juan, TAN Yi-sheng, HAN Yi-zhuo. Low temperature methanation of syngas in a slurry reactor over Zr-doped Ni/γ-Al2O3 catalyst[J]. J Fuel Chem Technol, 2013,41(8):966-971.  

    2. [2]

      MENG Fan-hui, CHANG Hui-rong, LI Zhong. Catalytic performance of Ni-Mn/Al2O3 catalyst for CO methanation in slurry-bed reactor[J]. CIESC J, 2014,65(8):2997-3003.

    3. [3]

      MENG Fan-hui, LIU Jun, LI Zhong, ZHONG Peng-zhan, ZHENG Hua-yan. Effect of Ce content of Ni-Ce/Al2O3 catalyst constructure and CO methanation in slurry-bed reactor[J]. J Fuel Chem Technol, 2014,42(2):231-237.  

    4. [4]

      ZHANG J F, BAI Y X, ZHANG Q D, WANG X X, ZHANG T, TAN Y S, HAN Y Z. Low-temperature methanation of syngas in slurry phase over Zr-doped Ni/γ-Al2O3 catalysts prepared using different methods[J]. Fuel, 2014,132:211-218. doi: 10.1016/j.fuel.2014.04.085

    5. [5]

      HUANG Guo-bao, WANG Zhi-qing, LI Qing-feng, HUANG Jie-jie, FANG Yi-tian. Syngas methanation over nickel catalyst in liquid-phase[J]. J Fuel Chem Technol, 2014,42(8):952-957.  

    6. [6]

      HE Long. Research of nickel based catalyst for methanation of synthetic gas in slurry bed reactor[D]. Beijing: China University of Mining and Technology (Beijing), 2012.

    7. [7]

      MA Sheng-li. Study on low temperature methanation for coal-derived syngas over Ni-based catalyst[D]. Taiyuan: Institute of Coal Chemistry, Chinese Academy of Sciences, 2011.

    8. [8]

      GRAF C, VOSSEN D L J, IMHOF A, VAN BLAADEREN A. A general method to coat colloidal particles with silica[J]. Langmuir, 2003,19(17):6693-6700. doi: 10.1021/la0347859

    9. [9]

      YAO L H, LI Y X, ZHAO J, JI W J, AU C T. Core-shell structured nanoparticles (M@SiO2, Al2O3, MgO; M=Fe, Co, Ni, Ru) and their application in COx-free H2 production via NH3 decomposition[J]. Catal Today, 2010,158(3/4):401-408.  

    10. [10]

      LI Z W, MO L Y, KATHIRASER Y, KAWI S. Yolk-Satellite-Shell Structured Ni-Yolk@Ni@SiO2 Nanocomposite: Superb Catalyst toward Methane CO2 Reforming Reaction[J]. ACS Catal, 2015,4(5):1526-1536.  

    11. [11]

      LI Z W, KATHIRASER Y, KAWI S. Facile synthesis of high surface area yolk-shell Ni@Ni embedded SiO2 via Ni phyllosilicate with enhanced performance for CO2 reforming of CH4[J]. ChemCatChem, 2014,7:160-168.  

    12. [12]

      LI L, YAO Y, SUN B, FEI Z Y, XIA H, ZHAO J, JI W J, AU C T. Highly active and stable lanthanum-doped core-shell-structured Ni@SiO2 catalysts for the partial oxidation of methane to syngas[J]. ChemCatChem, 2013,5(12):3781-3787. doi: 10.1002/cctc.201300537

    13. [13]

      LI L, HE S C, SONG Y Y, ZHAO J, JI W J, AU C T. Fine-tunable Ni@porous silica core-shell nanocatalysts: Synthesis, characterization, and catalytic properties in partial oxidation of methane to syngas[J]. J Catal, 2012,288:54-64. doi: 10.1016/j.jcat.2012.01.004

    14. [14]

      LI Lei. Core-shell structured nanocatalysts: design, synthesize and their application in partial oxidation of methane to syngas[D]. Nanjing: Nanjing University, 2012.

    15. [15]

      TAKENAKA S, UMEBAYASHI H, TANABE E, MATSUNE H, KISHIDA M. Specific performance of silica-coated Ni catalysts for the partial oxidation of methane to synthesis gas[J]. J Catal, 2007,245(2):392-400. doi: 10.1016/j.jcat.2006.11.005

    16. [16]

      ZHANG L F, LI M, REN T Z, LIU X Y, YUAN Z Y. Ce-modified Ni nanoparticles encapsulated in SiO2 for COx-free hydrogen production via ammonia decomposition[J]. Int J Hydrogen Energ, 2015,40(6):2648-2656. doi: 10.1016/j.ijhydene.2014.12.079

    17. [17]

      ZHANG Ming-wei. Preparation of core-shell iron-based catalysts and their application for CO hydrogenation[D]. Taiyuan: Institute of Coal Chemistry, Chinese Academy of Sciences, 2011.

    18. [18]

      ZHANG M W, FANG K G, LIN M G, HOU B, ZHONG L S, ZHU Y, WEI W, SUN Y H. Controlled Fabrication of Iron Oxide/Mesoporous Silica Core-Shell Nanostructures[J]. J Phys Chem C, 2013,117:21529-21538. doi: 10.1021/jp4049583

    19. [19]

      XIE R Y, LI D B, HOU B, WANG J G, JIA L T, SUN Y H. Solvothermally derived Co3O4@m-SiO2 nanocomposites for Fischer-Tropschsynthesis[J]. Catal Commun, 2011,12(5):380-383. doi: 10.1016/j.catcom.2010.10.010

    20. [20]

      XIE R Y, WANG H, GAO P, XIA L, ZHANG Z Z, ZHAO T J, SUN Y H. Core@shell Co3O4@C-m-SiO2 catalysts with inert C modified mesoporous channel for desired middle distillate[J]. Appl Catal A: Gen, 2015,492:93-99. doi: 10.1016/j.apcata.2014.12.023

    21. [21]

      LI Y R, LU G X, MA J T. Highly active and stable nano NiO-MgO catalyst encapsulated by silica with a core-shell structurefor CO2 methanation[J]. RSC Adv, 2014,4:17420-17428. doi: 10.1039/c3ra46569a

    22. [22]

      MUNNIK P, VELTHOEN M E Z, DE JONGH P E, DE JONG K P, GOMMES C J. Nanoparticle growth in supported nickel catalysts during methanation reaction-larger is better[J]. Angew Chem, Int Ed, 2014,53(36):9493-9497. doi: 10.1002/anie.201404103

    23. [23]

      ENGBAEK J, LYTKEN O, NIELSEN J H, CHORKENDORFF L. CO dissociation on Ni: The effect of steps and of nickel carbonyl[J]. Surf Sci, 2008,602(3):733-743. doi: 10.1016/j.susc.2007.12.008

    24. [24]

      ZENG Bo. Synthesis of middle distillates via cobalt-based catalysts with core-shell structures[D]. Taiyuan: Institute of Coal Chemistry, Chinese Academy of Sciences, 2014.

    25. [25]

      CHOU K, CHEN C. Fabrication and characterization of silver core and porous silica shell nanocomposite particles[J]. Microporous Mesoporous Mater, 2007,98:208-213. doi: 10.1016/j.micromeso.2006.09.006

  • 加载中
    1. [1]

      Dan Li Hui Xin Xiaofeng Yi . Comprehensive Experimental Design on Ni-based Catalyst for Biofuel Production. University Chemistry, 2024, 39(8): 204-211. doi: 10.3866/PKU.DXHX202312046

    2. [2]

      Yanzhe WANGXiaoming GUOQiangsheng GUOLiang LIBin LUPeihang YE . Effect of Ce introduction on the low-temperature performance of NiAl catalyst for CO2 methanation. Chinese Journal of Inorganic Chemistry, 2025, 41(11): 2218-2228. doi: 10.11862/CJIC.20250202

    3. [3]

      Yu WangHaiyang ShiZihan ChenFeng ChenPing WangXuefei Wang . 具有富电子Ptδ壳层的空心AgPt@Pt核壳催化剂:提升光催化H2O2生成选择性与活性. Acta Physico-Chimica Sinica, 2025, 41(7): 100081-0. doi: 10.1016/j.actphy.2025.100081

    4. [4]

      Lina GuoRuizhe LiChuang SunXiaoli LuoYiqiu ShiHong YuanShuxin OuyangTierui Zhang . Effect of Interlayer Anions in Layered Double Hydroxides on the Photothermocatalytic CO2 Methanation of Derived Ni-Al2O3 Catalysts. Acta Physico-Chimica Sinica, 2025, 41(1): 100002-0. doi: 10.3866/PKU.WHXB202309002

    5. [5]

      Chen PuDaijie DengHenan LiLi Xu . Fe0.64Ni0.36@Fe3NiN Core-Shell Nanostructure Encapsulated in N-Doped Carbon Nanotubes for Rechargeable Zinc-Air Batteries with Ultralong Cycle Stability. Acta Physico-Chimica Sinica, 2024, 40(2): 2304021-0. doi: 10.3866/PKU.WHXB202304021

    6. [6]

      Wen YANGDidi WANGZiyi HUANGYaping ZHOUYanyan FENG . La promoted hydrotalcite derived Ni-based catalysts: In situ preparation and CO2 methanation performance. Chinese Journal of Inorganic Chemistry, 2024, 40(3): 561-570. doi: 10.11862/CJIC.20230276

    7. [7]

      Haiqiang Lin Weizheng Weng Jingdong Lin Mingshu Chen Xueming Fang Lefu Yang . Diverse Variables-Driven Catalytic Optimization: Experimental Enhancement and Instructional Design for Selective Methane Oxidation on Supported Nickel-based Catalysts. University Chemistry, 2025, 40(11): 327-336. doi: 10.12461/PKU.DXHX202505106

    8. [8]

      Siming Bian Sijie Luo Junjie Ou . Application of van Deemter Equation in Instrumental Analysis Teaching: A New Type of Core-Shell Stationary Phase. University Chemistry, 2025, 40(3): 381-386. doi: 10.12461/PKU.DXHX202406087

    9. [9]

      Zhiyang LiHui DengXinqi CaiZhuo Chen . Magnetic Core/Shell-Capsules Locally Neutralize Gastric Acid for Efficient Delivery of Active Probiotics. Acta Physico-Chimica Sinica, 2024, 40(7): 2306051-0. doi: 10.3866/PKU.WHXB202306051

    10. [10]

      Wenlong WangWentao HaoLang HeJia QiaoNing LiChaoqiu ChenYong Qin . Bandgap and adsorption engineering of carbon dots/TiO2 S-scheme heterojunctions for enhanced photocatalytic CO2 methanation. Acta Physico-Chimica Sinica, 2025, 41(9): 100116-0. doi: 10.1016/j.actphy.2025.100116

    11. [11]

      Yiting HuoXin ZhouFeifan ZhaoChenbin AiZhen WuZhidong ChangBicheng Zhu . Boosting photocatalytic CO2 methanation through TiO2/CdS S-scheme heterojunction and fs-TAS mechanism study. Acta Physico-Chimica Sinica, 2025, 41(11): 100148-0. doi: 10.1016/j.actphy.2025.100148

    12. [12]

      Xuejie WangGuoqing CuiCongkai WangYang YangGuiyuan JiangChunming Xu . Research Progress on Carbon-based Catalysts for Catalytic Dehydrogenation of Liquid Organic Hydrogen Carriers. Acta Physico-Chimica Sinica, 2025, 41(5): 100044-0. doi: 10.1016/j.actphy.2024.100044

    13. [13]

      Endong YANGHaoze TIANKe ZHANGYongbing LOU . Efficient oxygen evolution reaction of CuCo2O4/NiFe-layered bimetallic hydroxide core-shell nanoflower sphere arrays. Chinese Journal of Inorganic Chemistry, 2024, 40(5): 930-940. doi: 10.11862/CJIC.20230369

    14. [14]

      Fan Wu Wenchang Tian Jin Liu Qiuting Zhang YanHui Zhong Zian Lin . Core-Shell Structured Covalent Organic Framework-Coated Silica Microspheres as Mixed-Mode Stationary Phase for High Performance Liquid Chromatography. University Chemistry, 2024, 39(11): 319-326. doi: 10.12461/PKU.DXHX202403031

    15. [15]

      Jiaxuan ZuoKun ZhangJing WangXifei Li . Nucleation Regulation and Mechanism of Precursors for Nickel Cobalt Manganese-based Cathode Materials in Lithium-Ion Batteries. Acta Physico-Chimica Sinica, 2025, 41(1): 100009-0. doi: 10.3866/PKU.WHXB202404042

    16. [16]

      Huiwei DingBo PengZhihao WangQiaofeng Han . Advances in Metal or Nonmetal Modification of Bismuth-Based Photocatalysts. Acta Physico-Chimica Sinica, 2024, 40(4): 2305048-0. doi: 10.3866/PKU.WHXB202305048

    17. [17]

      Yushan CaiFang-Xing Xiao . Revisiting MXenes-based Photocatalysis Landscape: Progress, Challenges, and Future Perspectives. Acta Physico-Chimica Sinica, 2024, 40(8): 2306048-0. doi: 10.3866/PKU.WHXB202306048

    18. [18]

      Yuanyin CuiJinfeng ZhangHailiang ChuLixian SunKai Dai . Rational Design of Bismuth Based Photocatalysts for Solar Energy Conversion. Acta Physico-Chimica Sinica, 2024, 40(12): 2405016-0. doi: 10.3866/PKU.WHXB202405016

    19. [19]

      Xue LiuLipeng WangLuling LiKai WangWenju LiuBiao HuDaofan CaoFenghao JiangJunguo LiKe Liu . Research on Cu-Based and Pt-Based Catalysts for Hydrogen Production through Methanol Steam Reforming. Acta Physico-Chimica Sinica, 2025, 41(5): 100049-0. doi: 10.1016/j.actphy.2025.100049

    20. [20]

      Qing LiGuangxun ZhangYuxia XuYangyang SunHuan Pang . P-Regulated Hierarchical Structure Ni2P Assemblies toward Efficient Electrochemical Urea Oxidation. Acta Physico-Chimica Sinica, 2024, 40(9): 2308045-0. doi: 10.3866/PKU.WHXB202308045

Metrics
  • PDF Downloads(0)
  • Abstract views(1852)
  • HTML views(169)

通讯作者: 陈斌, bchen63@163.com
  • 1. 

    沈阳化工大学材料科学与工程学院 沈阳 110142

  1. 本站搜索
  2. 百度学术搜索
  3. 万方数据库搜索
  4. CNKI搜索
Address:Zhongguancun North First Street 2,100190 Beijing, PR China Tel: +86-010-82449177-888
Powered By info@rhhz.net

/

DownLoad:  Full-Size Img  PowerPoint
Return